Sign in to use this feature.

Years

Between: -

Subjects

remove_circle_outline
remove_circle_outline
remove_circle_outline
remove_circle_outline
remove_circle_outline

Journals

Article Types

Countries / Regions

Search Results (3)

Search Parameters:
Keywords = tree crop enumeration

Order results
Result details
Results per page
Select all
Export citation of selected articles as:
21 pages, 5831 KB  
Article
The Classification Performance and Mechanism of Machine Learning Algorithms in Winter Wheat Mapping Using Sentinel-2 10 m Resolution Imagery
by Peng Fang, Xiwang Zhang, Panpan Wei, Yuanzheng Wang, Huiyi Zhang, Feng Liu and Jun Zhao
Appl. Sci. 2020, 10(15), 5075; https://doi.org/10.3390/app10155075 - 23 Jul 2020
Cited by 62 | Viewed by 4589
Abstract
Machine learning algorithms are crucial for crop identification and mapping. However, many works only focus on the identification results of these algorithms, but pay less attention to their classification performance and mechanism. In this paper, based on Google Earth Engine (GEE), Sentinel-2 10 [...] Read more.
Machine learning algorithms are crucial for crop identification and mapping. However, many works only focus on the identification results of these algorithms, but pay less attention to their classification performance and mechanism. In this paper, based on Google Earth Engine (GEE), Sentinel-2 10 m resolution images during a specific phenological period of winter wheat were obtained. Then, support vector machine (SVM), random forest (RF), and classification and regression tree (CART) machine learning algorithms were employed to identify and map winter wheat in a large-scale area. The hyperparameters of the three machine learning algorithms were tuned by grid search and the 5-fold cross-validation method. The classification performance of the three machine learning algorithms were compared, the results of which demonstrate that SVM achieves best performance in identifying winter wheat, and its overall accuracy (OA), user’s accuracy (UA), producer’s accuracy (PA), and kappa coefficient (Kappa) are 0.94, 0.95, 0.95, and 0.92, respectively. Moreover, 50 various combinations of training and validation sets were used to analyze the generalization ability of the algorithms, and the results show that the average OA of SVM, RF, and CART are 0.93, 0.92, and 0.88, respectively, thus indicating that SVM and RF are more robust than CART. To further explore the sensitivity of SVM, RF, and CART to variations of the algorithm parameters—namely, (C and gamma), (tree and split), and (maxD and minSP)—we employed the grid search method to iterate these parameters, respectively, and to analyze the effect of these parameters on the accuracy scores and classification residuals. It was found that with the change of (C and gamma) in (0.01~1000), SVM’s maximum variation of accuracy score is up to 0.63, and the maximum variation of residuals is 76,215 km2. We concluded that SVM is sensitive to the parameters (C and gamma) and presents a positive correlation. When the parameters (tree and split) change between (100~600) and (1~6), respectively, the RF’s maximum variation of accuracy score is 0.08, and the maximum variation of residuals is 1157 km2, indicating that RF is low in sensitivity toward the parameters (tree and split). When the parameters (maxD and minSP) are between (10~60), the maximum accuracy change value is 0.06, and the maximum variation of residuals is 6943 km2. Therefore, compared to RF, CART is sensitive to the parameters (maxD and minSP) and has poor robustness. In general, under the conditions of the hyperparameters, SVM and RF exhibit optimal classification performance, while CART has relatively inferior performance. Meanwhile, SVM, RF, and CART have different sensitivities toward the algorithm parameters; that is, SVM and CART are more sensitive to the algorithm parameters, while RF has low sensitivity toward changes in the algorithm parameters. The different parameters cause great changes in the accuracy scores and residuals, so it is necessary to determine the algorithm hyperparameters. Generally, default parameters can be used to achieve crop classification, but we recommend the enumeration method, similar to grid search, as a practical way to improve the classification performance of the algorithm if the best classification effect is expected. Full article
(This article belongs to the Special Issue Applications of Remote Image Capture System in Agriculture)
Show Figures

Graphical abstract

16 pages, 7329 KB  
Article
Automatic Detection System of Olive Trees Using Improved K-Means Algorithm
by Muhammad Waleed, Tai-Won Um, Aftab Khan and Umair Khan
Remote Sens. 2020, 12(5), 760; https://doi.org/10.3390/rs12050760 - 26 Feb 2020
Cited by 34 | Viewed by 5457
Abstract
Olive cultivation over the past few years has spread across Mediterranean countries with Spain being the world’s largest olive producer among them. Because olives are a major part of the economy for such countries keeping records of their tree count and crop yield [...] Read more.
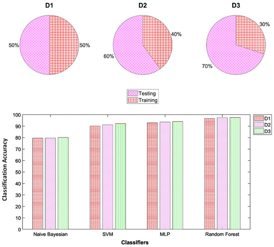
Olive cultivation over the past few years has spread across Mediterranean countries with Spain being the world’s largest olive producer among them. Because olives are a major part of the economy for such countries keeping records of their tree count and crop yield is of high significance. Manual counting of trees over such large areas is humanly infeasible. To address this problem, we propose an automatic method for the detection and enumeration of olive trees. The algorithm is a multi-step classification system comprising pre-processing, image segmentation, feature extraction, and classification. RGB satellite images were acquired from the Spanish territory and pre-processed to suppress the additive noise. The region of interest was then segmented from the pre-processed images using K-Means segmentation, through which statistical features were extracted and classified. Promising results were achieved for all classifiers, namely Naive Bayesian, Support Vector Machines (SVMs), Random Forest and Multi-Layer Perceptrons (MLPs), at various division ratios of data samples. In a comparison of all the classification algorithms, Random Forest outperformed the rest by an overall accuracy of 97.5% at the division ratio of 70 to 30 for training to testing. Full article
(This article belongs to the Section Remote Sensing in Agriculture and Vegetation)
Show Figures

Graphical abstract

16 pages, 3407 KB  
Article
Automated Mobile System for Accurate Outdoor Tree Crop Enumeration Using an Uncalibrated Camera
by Thuy Tuong Nguyen, David C. Slaughter, Bradley D. Hanson, Andrew Barber, Amy Freitas, Daniel Robles and Erin Whelan
Sensors 2015, 15(8), 18427-18442; https://doi.org/10.3390/s150818427 - 28 Jul 2015
Cited by 4 | Viewed by 6375
Abstract
This paper demonstrates an automated computer vision system for outdoor tree crop enumeration in a seedling nursery. The complete system incorporates both hardware components (including an embedded microcontroller, an odometry encoder, and an uncalibrated digital color camera) and software algorithms (including microcontroller algorithms [...] Read more.
This paper demonstrates an automated computer vision system for outdoor tree crop enumeration in a seedling nursery. The complete system incorporates both hardware components (including an embedded microcontroller, an odometry encoder, and an uncalibrated digital color camera) and software algorithms (including microcontroller algorithms and the proposed algorithm for tree crop enumeration) required to obtain robust performance in a natural outdoor environment. The enumeration system uses a three-step image analysis process based upon: (1) an orthographic plant projection method integrating a perspective transform with automatic parameter estimation; (2) a plant counting method based on projection histograms; and (3) a double-counting avoidance method based on a homography transform. Experimental results demonstrate the ability to count large numbers of plants automatically with no human effort. Results show that, for tree seedlings having a height up to 40 cm and a within-row tree spacing of approximately 10 cm, the algorithms successfully estimated the number of plants with an average accuracy of 95.2% for trees within a single image and 98% for counting of the whole plant population in a large sequence of images. Full article
(This article belongs to the Special Issue Agriculture and Forestry: Sensors, Technologies and Procedures)
Show Figures

Figure 1

Back to TopTop