Sign in to use this feature.

Years

Between: -

Subjects

remove_circle_outline
remove_circle_outline
remove_circle_outline
remove_circle_outline
remove_circle_outline

Journals

Article Types

Countries / Regions

Search Results (3)

Search Parameters:
Keywords = seed cotton yield (SCY)

Order results
Result details
Results per page
Select all
Export citation of selected articles as:
26 pages, 4926 KB  
Article
Synergistic Optimization of Root–Shoot Characteristics, Nitrogen Use Efficiency and Yield by Combining Planting Density with Nitrogen Level in Cotton (Gossypium hirsutum L.)
by Junwu Liu, Yuanqi Ma, Shulin Wang, Shuo Wang, Lingxiao Zhu, Ke Zhang, Yongjiang Zhang, Cundong Li, Liantao Liu and Hongchun Sun
Agronomy 2025, 15(10), 2383; https://doi.org/10.3390/agronomy15102383 - 13 Oct 2025
Viewed by 919
Abstract
To address low nitrogen use efficiency (NUE) derived from excessive fertilization in cotton production in the Yellow River Basin, a field study was conducted to evaluate the effects of two planting densities and six nitrogen (N) rate levels. Key results show that a [...] Read more.
To address low nitrogen use efficiency (NUE) derived from excessive fertilization in cotton production in the Yellow River Basin, a field study was conducted to evaluate the effects of two planting densities and six nitrogen (N) rate levels. Key results show that a N rate of 225 kg ha−1 optimized root length density and root biomass density. High planting density (105,000 plants ha−1) improved the population-level root traits, photosynthetic radiation interception, and boll number per unit area, though it reduced individual plant root development. Total dry matter peaked at 225 kg ha−1 N, and density increased reproductive dry matter by 7.5–11.9%. Higher N rates reduced reproductive partitioning and root–shoot ratio. While the maximum seed cotton yield (SCY) was 225 kg ha−1, near-maximum yield was achieved at 150 kg ha−1. NUE declined with increasing N, but densification improved agronomic NUE and partial factor productivity by 1.5–6.6% and 3.3–39.3%, respectively. Under the “densification with N reduction” mode, combining a planting density of 105,000 plants·ha−1 with an N rate of 150 kg·ha−1 achieved conventional yield. At the same density, an N rate of 225 kg·ha−1 not only enabled high yield and maintained relatively high NUE but also showed better adaptability to the simplified cultivation mode in Yellow River Basin cotton-growing regions. Full article
(This article belongs to the Section Soil and Plant Nutrition)
Show Figures

Figure 1

14 pages, 2540 KB  
Article
qPCR Assay as a Tool for Examining Cotton Resistance to the Virus Complex Causing CLCuD: Yield Loss Inversely Correlates with Betasatellite, Not Virus, DNA Titer
by Zafar Iqbal, Muhammad Shafiq, Sajed Ali, Muhammad Arslan Mahmood, Hamid Anees Siddiqui, Imran Amin and Rob W. Briddon
Plants 2023, 12(14), 2645; https://doi.org/10.3390/plants12142645 - 14 Jul 2023
Cited by 7 | Viewed by 2348
Abstract
Cotton leaf curl disease (CLCuD) is a significant constraint to the economies of Pakistan and India. The disease is caused by different begomoviruses (genus Begomovirus, family Geminiviridae) in association with a disease-specific betasatellite. However, another satellite-like molecule, alphasatellite, is occasionally found [...] Read more.
Cotton leaf curl disease (CLCuD) is a significant constraint to the economies of Pakistan and India. The disease is caused by different begomoviruses (genus Begomovirus, family Geminiviridae) in association with a disease-specific betasatellite. However, another satellite-like molecule, alphasatellite, is occasionally found associated with this disease complex. A quantitative real-time PCR assay for the virus/satellite components causing CLCuD was used to investigate the performance of selected cotton varieties in the 2014–2015 National Coordinated Varietal Trials (NCVT) in Pakistan. The DNA levels of virus and satellites in cotton plants were determined for five cotton varieties across three geographic locations and compared with seed cotton yield (SCY) as a measure of the plant performance. The highest virus titer was detected in B-10 (0.972 ng·µg−1) from Vehari and the lowest in B-3 (0.006 ng·µg−1) from Faisalabad. Likewise, the highest alphasatellite titer was found in B-1 (0.055 ng·µg−1) from Vehari and the lowest in B-1 and B-2 (0.001 ng·µg−1) from Faisalabad. The highest betasatellite titer was found in B-23 (1.156 ng·µg−1) from Faisalabad and the lowest in B-12 (0.072 ng·µg−1) from Multan. Virus/satellite DNA levels, symptoms, and SCY were found to be highly variable between the varieties and between the locations. Nevertheless, statistical analysis of the results suggested that betasatellite DNA levels, rather than virus or alphasatellite DNA levels, were the important variable in plant performance, having an inverse relationship with SCY (−0.447). This quantitative assay will be useful in breeding programs for development of virus resistant plants and varietal trials, such as the NCVT, to select suitable varieties of cotton with mild (preferably no) symptoms and low (preferably no) virus/satellite. At present, no such molecular techniques are used in resistance breeding programs or varietal trials in Pakistan. Full article
(This article belongs to the Special Issue Virus Detection and Quantification in Plants)
Show Figures

Figure 1

26 pages, 7728 KB  
Article
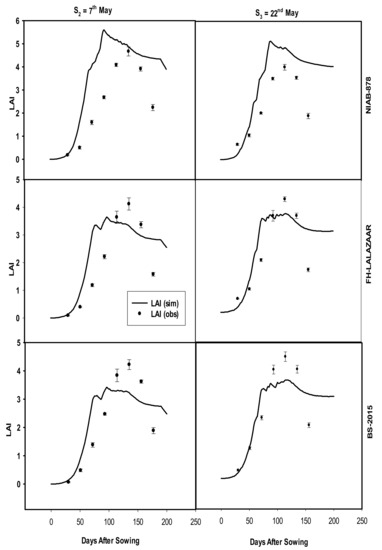
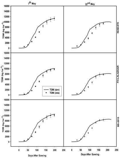
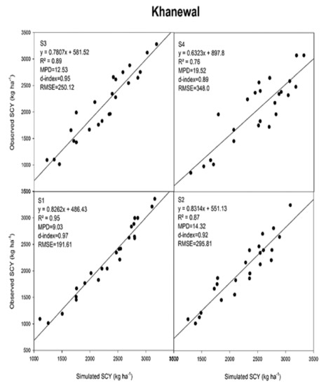
Building Climate-Resilient Cotton Production System for Changing Climate Scenarios Using the DSSAT Model
by Zoia Arshad Awan, Tasneem Khaliq, Muhammad Masood Akhtar, Asad Imran, Muhammad Irfan, Muhammad Jarrar Ahmed and Ashfaq Ahmad
Sustainability 2021, 13(19), 10495; https://doi.org/10.3390/su131910495 - 22 Sep 2021
Cited by 13 | Viewed by 4535
Abstract
Cotton production is highly vulnerable to climate change, and heat stress is a major constraint in the cotton zone of Punjab, Pakistan. Adaptation is perceived as a critical step to deal with forecasted and unexpected climatic conditions. The objective of this study was [...] Read more.
Cotton production is highly vulnerable to climate change, and heat stress is a major constraint in the cotton zone of Punjab, Pakistan. Adaptation is perceived as a critical step to deal with forecasted and unexpected climatic conditions. The objective of this study was to standardize and authenticate a cotton crop model based on climate and crop husbandry data in order to develop an adaptation package for cotton crop production in the wake of climate change. For the study, the data were collected from the cotton-growing areas of Punjab, viz. Bahawalpur and Khanewal. After the calibration and validation against field data, the Cropping System Model CSM–CROPGRO–Cotton in the shell of the decision support system for agro-technology transfer (DSSAT) was run with a future climate generated under two representative concentrations pathways (RCPs), viz. RCPs 4.5 and 8.5 with five global circulation models (GCMs). The whole study showed that a model is an artistic tool for examining the temporal variation in cotton and determining the potential impact of planting dates on crop growth, phenology, and yield. The results showed that the future climate would have drastic effects on cotton production in the project area. Reduction in seed cotton yield (SCY) was 25.7% and 32.2% under RCPs 4.5 and 8.5, respectively. The comparison of five GCMs showed that a hot/wet climate would be more damaging than other scenarios. The simulations with different production options showed that a 10% and 5% increase in nitrogen and plant population, respectively, compared to the present would be the best strategy in the future. The model further suggested that planting conducted 15 days earlier, combined with the use of water and nitrogen (fertigation), would help to improve yield with 10% less water under the future climate. Overall, the proposed adaptation package would help to recover 33% and 37% of damages in SCY due to the climate change scenarios of RCP 4.5 and 8.5, respectively. Furthermore, the proposed package would also help the farmers increase crop yield by 7.5% over baseline (current) yield. Full article
Show Figures

Figure 1

Back to TopTop