Sign in to use this feature.

Years

Between: -

Subjects

remove_circle_outline
remove_circle_outline

Journals

Article Types

Countries / Regions

Search Results (2)

Search Parameters:
Keywords = sect. Codonoprasum

Order results
Result details
Results per page
Select all
Export citation of selected articles as:
19 pages, 9217 KB  
Article
Allium sphaeronixum (Amaryllidaceae), A New Species from Turkey
by Mine Koçyiğit, Cristina Salmeri, Neriman Özhatay, Erdal Kaya and Salvatore Brullo
Plants 2023, 12(11), 2074; https://doi.org/10.3390/plants12112074 - 23 May 2023
Cited by 10 | Viewed by 3020
Abstract
In this paper, Allium sphaeronixum, a new species of the sect. Codonoprasum from Turkey, is described and illustrated. The new species is endemic to Central Anatolia, limited to the area of Nevşehir, where it grows on sandy or rocky soil at an [...] Read more.
In this paper, Allium sphaeronixum, a new species of the sect. Codonoprasum from Turkey, is described and illustrated. The new species is endemic to Central Anatolia, limited to the area of Nevşehir, where it grows on sandy or rocky soil at an elevation of 1000–1300 m a.s.l. Its morphology, phenology, karyology, leaf anatomy, seed testa micromorphology, chorology, and conservation status are examined in detail. The taxonomic relationships with the closest allied species, A. staticiforme and A. myrianthum, are also highlighted and discussed. Full article
(This article belongs to the Special Issue Eco-Geography and Taxonomy of Plants in the Mediterranean Area)
Show Figures

Figure 1

21 pages, 3271 KB  
Article
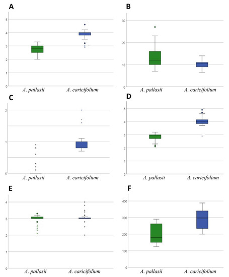
Allium pallasii and A. caricifolium—Surprisingly Diverse Old Steppe Species, Showing a Clear Geographical Barrier in the Area of Lake Zaysan
by Nikolai Friesen, Lisa Grützmacher, Mikhail Skaptsov, Polina Vesselova, Vladimir Dorofeyev, Alexander N. Luferov, Nazgul Turdumatova, Georgii Lazkov, Sergei V. Smirnov, Alexander I. Shmakov and Herbert Hurka
Plants 2022, 11(11), 1465; https://doi.org/10.3390/plants11111465 - 30 May 2022
Cited by 14 | Viewed by 3136
Abstract
Polymorph Allium pallasii s.l. from monotypic A. sect. Pallasia was studied using a wide spectrum of methods and divided into two clearly morphologically, geographically, cytologically and genetically isolated species: A. pallasii s. str.—North-East Kazakhstan, Western Siberia, and the Altai Mountains; A. caricifolium—Kyrgyzstan, [...] Read more.
Polymorph Allium pallasii s.l. from monotypic A. sect. Pallasia was studied using a wide spectrum of methods and divided into two clearly morphologically, geographically, cytologically and genetically isolated species: A. pallasii s. str.—North-East Kazakhstan, Western Siberia, and the Altai Mountains; A. caricifolium—Kyrgyzstan, Northwest China, South-East Kazakhstan until Zaysan Lake in the east. Despite serious genetic differences, both species are sisters and are related to species of the A. sect. Codonoprasum (Subg. Allium). Allium caricifolium differs from A. pallasii s. str. by taller stems, dense inflorescence, and with filaments longer than perianth. The possible phylogenetic reasons for the separation of these species are discussed. A nomenclature analysis of synonyms was carried out. Full article
(This article belongs to the Section Plant Systematics, Taxonomy, Nomenclature and Classification)
Show Figures

Figure 1

Back to TopTop