Sign in to use this feature.

Years

Between: -

Subjects

remove_circle_outline
remove_circle_outline
remove_circle_outline

Journals

Article Types

Countries / Regions

Search Results (3)

Search Parameters:
Keywords = rice straw nanofiber (RSNF)

Order results
Result details
Results per page
Select all
Export citation of selected articles as:
15 pages, 4982 KB  
Article
Unveiling the Potential of Rice Straw Nanofiber-Reinforced HDPE for Biomedical Applications: Investigating Mechanical and Tribological Characteristics
by Mohamed Taha, Ahmed Fouly, Hany S. Abdo, Ibrahim A. Alnaser, Ragab Abouzeid and Ahmed Nabhan
J. Funct. Biomater. 2023, 14(7), 366; https://doi.org/10.3390/jfb14070366 - 12 Jul 2023
Cited by 15 | Viewed by 2263
Abstract
The efficient utilization of rice waste has the potential to significantly contribute to environmental sustainability by minimizing the waste impact on the environment. Through repurposing such waste, novel materials can be developed for various biomedical applications. This approach not only mitigates waste, but [...] Read more.
The efficient utilization of rice waste has the potential to significantly contribute to environmental sustainability by minimizing the waste impact on the environment. Through repurposing such waste, novel materials can be developed for various biomedical applications. This approach not only mitigates waste, but it also promotes the adoption of sustainable materials within the industry. In this research, rice-straw-derived nanofibers (RSNFs) were utilized as a reinforcement material for high-density polyethylene (HDPE). The rice-straw-derived nanofibers were incorporated at different concentrations (1, 2, 3, and 4 wt.%) into the HDPE. The composites were fabricated using twin-screw extrusion (to ensure homogenous distribution) and the injection-molding process (to crease the test samples). Then, the mechanical strengths and frictional performances of the bio-composites were assessed. Different characterization techniques were utilized to investigate the morphology of the RSNFs. Thermal analyses (TGA/DTG/DSC), the contact angle, and XRD were utilized to study the performances of the HDPE/RSNF composites. The study findings demonstrated that the addition of RSNFs as a reinforcement to the HDPE improved the hydrophilicity, strength, hardness, and wear resistance of the proposed bio-composites. Full article
(This article belongs to the Special Issue Nanoparticles: Fabrication, Properties and Biomedical Application)
Show Figures

Figure 1

14 pages, 4080 KB  
Article
Effect of Unbleached Rice Straw Cellulose Nanofibers on the Properties of Polysulfone Membranes
by Mohammad Hassan, Ragab E. Abou Zeid, Wafaa S. Abou-Elseoud, Enas Hassan, Linn Berglund and Kristiina Oksman
Polymers 2019, 11(6), 938; https://doi.org/10.3390/polym11060938 - 29 May 2019
Cited by 25 | Viewed by 4446
Abstract
In addition to their lower cost and more environmentally friendly nature, cellulose nanofibers isolated from unbleached pulps offer different surface properties and functionality than those isolated from bleached pulps. At the same time, nanofibers isolated from unbleached pulps keep interesting properties such as [...] Read more.
In addition to their lower cost and more environmentally friendly nature, cellulose nanofibers isolated from unbleached pulps offer different surface properties and functionality than those isolated from bleached pulps. At the same time, nanofibers isolated from unbleached pulps keep interesting properties such as hydrophilicity and mechanical strength, close to those isolated from bleached pulps. In the current work, rice straw nanofibers (RSNF) isolated from unbleached neutral sulfite pulp (lignin content 14%) were used with polysulfone (PSF) polymer to make membrane via phase inversion. The effect of RSNF on microstructure, porosity, hydrophilicity, mechanical properties, water flux, and fouling of PSF membranes was studied. In addition, the prepared membranes were tested to remove lime nanoparticles, an example of medium-size nanoparticles. The results showed that using RSNF at loadings from 0.5 to 2 wt.% can significantly increase hydrophilicity, porosity, water flux, and antifouling properties of PSF. RSNF also brought about an increase in rejection of lime nanoparticles (up to 98% rejection) from their aqueous suspension, and at the same time, with increasing flux across the membranes. Tensile strength of the membranes improved by ~29% with addition of RSNF and the maximum improvement was obtained on using 0.5% of RSNF, while Young’s modulus improved by ~40% at the same RSNF loading. As compared to previous published results on using cellulose nanofibers isolated from bleached pulps, the obtained results in the current work showed potential application of nanofibers isolated from unbleached pulps for improving important properties of PSF membranes, such as hydrophilicity, water flux, rejection, and antifouling properties. Full article
(This article belongs to the Special Issue Cellulose (Nano)Composites)
Show Figures

Graphical abstract

17 pages, 5513 KB  
Article
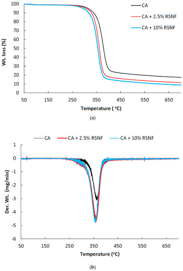
Nanocomposite Film Based on Cellulose Acetate and Lignin-Rich Rice Straw Nanofibers
by Mohammad Hassan, Linn Berglund, Ragab Abou-Zeid, Enas Hassan, Wafaa Abou-Elseoud and Kristiina Oksman
Materials 2019, 12(4), 595; https://doi.org/10.3390/ma12040595 - 16 Feb 2019
Cited by 42 | Viewed by 5787
Abstract
Nanofibers isolated from unbleached neutral sulfite rice straw pulp were used to prepare transparent films without the need to modify the isolated rice straw nanofibers (RSNF). RSNF with loading from 1.25 to 10 wt.% were mixed with cellulose acetate (CA) solution in acetone [...] Read more.
Nanofibers isolated from unbleached neutral sulfite rice straw pulp were used to prepare transparent films without the need to modify the isolated rice straw nanofibers (RSNF). RSNF with loading from 1.25 to 10 wt.% were mixed with cellulose acetate (CA) solution in acetone and films were formed by casting. The films were characterized regarding their transparency and light transmittance, microstructure, mechanical properties, crystallinity, water contact angle, porosity, water vapor permeability, and thermal properties. The results showed good dispersion of RSNF in CA matrix and films with good transparency and homogeneity could be prepared at RSNF loadings of less than 5%. As shown from contact angle and atomic force microscopy (AFM) measurements, the RSNF resulted in increased hydrophilic nature and roughness of the films. No significant improvement in tensile strength and Young’s modulus was recorded as a result of adding RSNF to CA. Addition of the RSNF did not significantly affect the porosity, crystallinity and melting temperature of CA, but slightly increased its glass transition temperature. Full article
Show Figures

Graphical abstract

Back to TopTop