Sign in to use this feature.

Years

Between: -

Subjects

remove_circle_outline
remove_circle_outline
remove_circle_outline

Journals

Article Types

Countries / Regions

Search Results (1)

Search Parameters:
Keywords = relative labeling and absolute quantification of isotope (iTRAQ)

Order results
Result details
Results per page
Select all
Export citation of selected articles as:
20 pages, 3142 KB  
Article
iTRAQ-Based Comparative Proteomic Analysis Provides Insights into Molecular Mechanisms of Salt Tolerance in Sugar Beet (Beta vulgaris L.)
by Guo-Qiang Wu, Jin-Long Wang, Rui-Jun Feng, Shan-Jia Li and Chun-Mei Wang
Int. J. Mol. Sci. 2018, 19(12), 3866; https://doi.org/10.3390/ijms19123866 - 4 Dec 2018
Cited by 21 | Viewed by 3637
Abstract
Salinity is one of the major abiotic stress factors that limit plant growth and crop yield worldwide. To understand the molecular mechanisms and screen the key proteins in response of sugar beet (Beta vulgaris L.) to salt, in the present study, the [...] Read more.
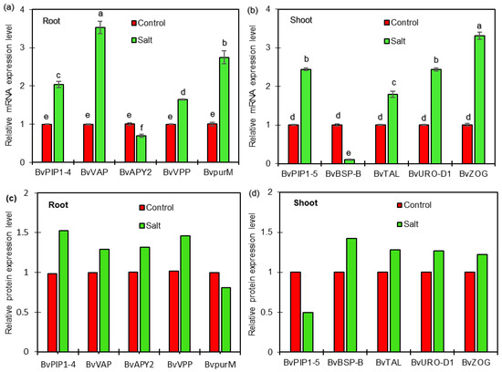
Salinity is one of the major abiotic stress factors that limit plant growth and crop yield worldwide. To understand the molecular mechanisms and screen the key proteins in response of sugar beet (Beta vulgaris L.) to salt, in the present study, the proteomics of roots and shoots in three-week-old sugar beet plants exposed to 50 mM NaCl for 72 h was investigated by isobaric Tags for Relative and Absolute Quantitation (iTRAQ) technology. The results showed that 105 and 30 differentially expressed proteins (DEPs) were identified in roots and shoots of salt-treated plants compared with untreated plants, respectively. There were 46 proteins up-regulated and 59 proteins down-regulated in roots; and 13 up-regulated proteins and 17 down-regulated proteins found in shoots, respectively. These DEPs were mainly involved in carbohydrate metabolism, energy metabolism, lipid metabolism, biosynthesis of secondary metabolites, transcription, translation, protein folding, sorting, and degradation as well as transport. It is worth emphasizing that some novel salt-responsive proteins were identified, such as PFK5, MDH, KAT2, ACAD10, CYP51, F3H, TAL, SRPR, ZOG, V-H+-ATPase, V-H+-PPase, PIPs, TIPs, and tubulin α-2/β-1 chain. qRT-PCR analysis showed that six of the selected proteins, including BvPIP1-4, BvVP and BvVAP in root and BvTAL, BvURO-D1, and BvZOG in shoot, displayed good correlation between the expression levels of protein and mRNA. These novel proteins provide a good starting point for further research into their functions using genetic or other approaches. These findings should significantly improve the understanding of the molecular mechanisms involved in salt tolerance of sugar beet plants. Full article
(This article belongs to the Section Molecular Plant Sciences)
Show Figures

Graphical abstract

Back to TopTop