Sign in to use this feature.

Years

Between: -

Subjects

remove_circle_outline

Journals

Article Types

Countries / Regions

Search Results (1)

Search Parameters:
Keywords = rail vehicle anti-climbing device

Order results
Result details
Results per page
Select all
Export citation of selected articles as:
13 pages, 1403 KB  
Article
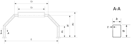
The Offset Crashworthiness and Parameter Optimization of C-Shaped Frame for Rail Vehicle Anti-Climbing Device
by Wei Wei, Fengqiang Zhang, Youdong Xing, Hongxiang Wang and Rongqiang Liu
Metals 2023, 13(3), 501; https://doi.org/10.3390/met13030501 - 1 Mar 2023
Cited by 3 | Viewed by 2091
Abstract
Thin-walled structures are widely used in anti-collision devices for various vehicles due to their light weight and high energy absorption. Offset collision is a common scene in various traffic accidents. Because the commonly used thin-walled structures do not consider this complex collision method, [...] Read more.
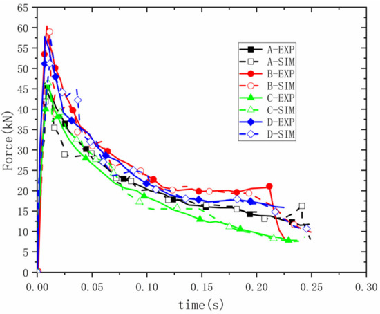
Thin-walled structures are widely used in anti-collision devices for various vehicles due to their light weight and high energy absorption. Offset collision is a common scene in various traffic accidents. Because the commonly used thin-walled structures do not consider this complex collision method, the energy absorption effect of the structure cannot meet the requirements. In this paper, a C-shaped frame structure composed of thin-walled steel tubes is proposed. The configuration of the structure is studied through theoretical analysis and numerical simulation, and it is found that the structure can absorb energy stably in the offset collision. The offset experiment and simulation were carried out, and the crashworthiness of the structure was investigated to verify the accuracy and feasibility of the numerical analysis method. A large-scale parameter simulation analysis was carried out, and the influence characteristics of the structure configuration, different materials and different sections were investigated. Based on the above test and numerical analysis results, an optimal design method for improving the crashworthiness of structures considering offset collisions is proposed. This paper can provide theoretical and technical support for the related research on the integrated anti-climbing energy-absorbing parts of rail trains under offset collision. Full article
Show Figures

Figure 1

Back to TopTop