Sign in to use this feature.

Years

Between: -

Subjects

remove_circle_outline
remove_circle_outline
remove_circle_outline
remove_circle_outline
remove_circle_outline
remove_circle_outline

Journals

Article Types

Countries / Regions

Search Results (2)

Search Parameters:
Keywords = point cloud local curvature extrema

Order results
Result details
Results per page
Select all
Export citation of selected articles as:
18 pages, 3956 KB  
Article
Identification of Gully-Type Debris Flow Shapes Based on Point Cloud Local Curvature Extrema
by Ruoyu Tan and Bohan Zhang
Water 2025, 17(9), 1243; https://doi.org/10.3390/w17091243 - 22 Apr 2025
Cited by 1 | Viewed by 831
Abstract
The identification of gully-type debris flow remains a challenging task due to the irregularity of terrain, which causes significant fluctuations in local curvature and hinders accurate feature extraction using traditional methods. To address this issue, this study proposes a novel identification approach based [...] Read more.
The identification of gully-type debris flow remains a challenging task due to the irregularity of terrain, which causes significant fluctuations in local curvature and hinders accurate feature extraction using traditional methods. To address this issue, this study proposes a novel identification approach based on point cloud local curvature extrema. The methodology involves collecting image data of debris flow and landslide areas using DJI Matrice 300 RTK (M300RTK), planning control points and flight routes, and generating three-dimensional point cloud data through image matching and point cloud reconstruction techniques. A quadratic surface fitting method was employed to calculate the curvature of each point in the point cloud, while a topological k-neighborhood algorithm was introduced to establish spatial relationships and extract extreme curvature features. These features were subsequently used as inputs to a convolutional neural network (CNN) for landslide identification. Experimental results demonstrated that the CNN architecture used in this method achieved rapid convergence, with the loss value decreasing to 0.0032 (cross-entropy loss) during training, verifying the model’s effectiveness. The introduction of early stopping and learning rate decay strategies effectively prevented overfitting. Receiver-operating characteristic (ROC) curve analysis revealed that the proposed method achieved an area under the ROC curve (AUC) of 0.92, significantly outperforming comparative methods (0.78–0.85). Full article
Show Figures

Figure 1

17 pages, 6322 KB  
Article
Three-Dimensional Surface Reconstruction from Point Clouds Using Euler’s Elastica Regularization
by Jintao Song, Huizhu Pan, Yuting Zhang, Wenqi Lu, Jieyu Ding, Weibo Wei, Wanquan Liu, Zhenkuan Pan and Jinming Duan
Appl. Sci. 2023, 13(23), 12695; https://doi.org/10.3390/app132312695 - 27 Nov 2023
Cited by 2 | Viewed by 2309
Abstract
Euler’s elastica energy regularizer, initially employed in mathematical and physical systems, has recently garnered much attention in image processing and computer vision tasks. Due to the non-convexity, non-smoothness, and high order of its derivative, however, the term has yet to be effectively applied [...] Read more.
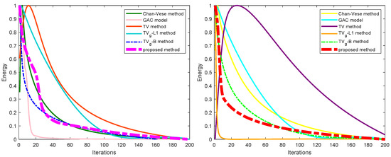
Euler’s elastica energy regularizer, initially employed in mathematical and physical systems, has recently garnered much attention in image processing and computer vision tasks. Due to the non-convexity, non-smoothness, and high order of its derivative, however, the term has yet to be effectively applied in 3D reconstruction. To this day, the industry is still searching for 3D reconstruction systems that are robust, accurate, efficient, and easy to use. While implicit surface reconstruction methods generally demonstrate superior robustness and flexibility, the traditional methods rely on initialization and can easily become trapped in local minima. Some low-order variational models are able to overcome these issues, but they still struggle with the reconstruction of object details. Euler’s elastica term, on the other hand, has been found to share the advantages of both the TV regularization term and the curvature regularization term. In this paper, we aim to address the problems of missing details and complex computation in implicit 3D reconstruction by efficiently using Euler’s elastica term. The main contributions of this article can be outlined in three aspects. Firstly, Euler’s elastica is introduced as a regularization term in 3D point cloud reconstruction. Secondly, a new dual algorithm is devised for the proposed model, significantly improving solution efficiency compared to the commonly used TV model. Lastly, numerical experiments conducted in 2D and 3D demonstrate the remarkable performance of Euler’s elastica in enhancing features of curved surfaces during point cloud reconstruction. The reconstructed point cloud surface adheres more closely to the initial point cloud surface when compared to the classical TV model. However, it is worth noting that Euler’s elastica exhibits a lesser capability in handling local extrema compared to the TV model. Full article
Show Figures

Figure 1

Back to TopTop