Sign in to use this feature.

Years

Between: -

Subjects

remove_circle_outline
remove_circle_outline
remove_circle_outline
remove_circle_outline
remove_circle_outline

Journals

remove_circle_outline

Article Types

Countries / Regions

remove_circle_outline

Search Results (1)

Search Parameters:
Keywords = patch antenna RF heating hyperthermia

Order results
Result details
Results per page
Select all
Export citation of selected articles as:
12 pages, 4250 KB  
Article
Design of a Dual-Purpose Patch Antenna for Magnetic Resonance Imaging and Induced RF Heating for Small Animal Hyperthermia
by Donghyuk Kim, Daniel Hernandez and Kyoung-Nam Kim
Appl. Sci. 2021, 11(16), 7290; https://doi.org/10.3390/app11167290 - 8 Aug 2021
Cited by 9 | Viewed by 3349
Abstract
The popularity of patch antennas in magnetic resonance imaging (MRI) has reduced because of the large size required for patch antennae to resonate. Since the size of the patch antenna is associated with the wavelength and the wavelengths that are used in MRI [...] Read more.
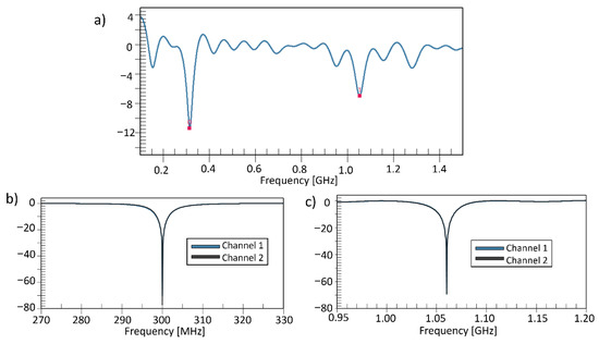
The popularity of patch antennas in magnetic resonance imaging (MRI) has reduced because of the large size required for patch antennae to resonate. Since the size of the patch antenna is associated with the wavelength and the wavelengths that are used in MRI are substantially large, large antennas are used. Methods of reducing patch antenna sizes have been proposed; however, these methods reduce the penetration depth and uniformity. In this study, we reduced the area of the patch antenna by 30% by folding the ground and patch planes in a zigzag pattern. The patch antenna produced two main resonant modes. The first mode produced a uniform magnetic field that was used for MRI. The second mode produced a strong and focused electric (|E|)-field, which was used for radiofrequency (RF) heating. Furthermore, we explored the use of a combination of two patch antennas aligned along the z-axis to provide a circular uniform magnetic flux density (|B1|) field at 300 MHz, which corresponds to the Larmor frequency in the 7T MRI system. In addition, the patch antenna configuration will be used for RF heating hyperthermia operating at 1.06 GHz. The target object was a small rat with insertion of colon cancer. Using the proposed configuration, we achieved |B1|-field uniformity with a standard deviation of 3% and a temperature increment of 1 °C in the mimic cancer tissue. Full article
Show Figures

Figure 1

Back to TopTop