Sign in to use this feature.

Years

Between: -

Subjects

remove_circle_outline
remove_circle_outline
remove_circle_outline

Journals

Article Types

Countries / Regions

Search Results (3)

Search Parameters:
Keywords = partial transmit sequence (PTS) technique

Order results
Result details
Results per page
Select all
Export citation of selected articles as:
16 pages, 2398 KB  
Article
A Novel PTS Technique with Side Information Blind Detector Based on Minimized Error Accumulation for PAPR Reduction in Coded Underwater Acoustic OFDM Systems
by Siyu Xing, Bo Wei, Yanting Yu, Yiqi Bai and Jiawei Yin
Sensors 2025, 25(18), 5763; https://doi.org/10.3390/s25185763 - 16 Sep 2025
Viewed by 509
Abstract
In this paper, a partial transmit sequence (PTS) technique with a side information (SI) blind detector based on minimized error accumulation for PAPR reduction in the coded underwater acoustic (UWA) orthogonal frequency division multiplexing (OFDM) communication system is proposed. Due to the complexity [...] Read more.
In this paper, a partial transmit sequence (PTS) technique with a side information (SI) blind detector based on minimized error accumulation for PAPR reduction in the coded underwater acoustic (UWA) orthogonal frequency division multiplexing (OFDM) communication system is proposed. Due to the complexity of UWA channels, channel coding is inevitably employed to ensure accurate information transmission. However, the error correction capability of channel coding usually has a certain margin; the decoder will fail to provide the expected coding gain for the system when the number of error bits exceeds the error correction capability. Therefore, by utilizing the accumulation impact of bit errors inherent in channel coding, it can be regarded as an indicator vector for the SI blind detector, enabling autonomous identification of the weighted phase factor vector sequence index without prior information. Thus, there is no need to reserve the SI transmission symbols, as required by the conventional PTS (C-PTS) scheme, effectively reducing the probability of large-scale bit error caused by the wrong SI. The experimental results show that the BER performance of the system has seen an improvement of about one order of magnitude compared to C-PTS. Consequently, the proposed technique enhances system bandwidth utilization and communication efficiency, ensuring the real-time performance of the underwater acoustic communication (UAC) OFDM system. Full article
(This article belongs to the Special Issue Underwater Vision Sensing System: 2nd Edition)
Show Figures

Figure 1

21 pages, 2096 KB  
Article
Hybrid-Domain Evaluation PTS with Adaptive Selection Methods for PAPR Reduction
by Feng Hu, Yuan Lu, Libiao Jin, Jianbo Liu, Zhiping Xia, Guoting Zhang and Jingting Xiao
Energies 2022, 15(8), 2738; https://doi.org/10.3390/en15082738 - 8 Apr 2022
Cited by 5 | Viewed by 2004
Abstract
The partial transmit sequence (PTS) technique is a fairly suitable scheme to mitigate the high peak-to-average power ratio (PAPR) problem inherent in 5G multicarrier systems, especially considering a high-order QAM modulation design. However, the high computational complexity level and the speed of the [...] Read more.
The partial transmit sequence (PTS) technique is a fairly suitable scheme to mitigate the high peak-to-average power ratio (PAPR) problem inherent in 5G multicarrier systems, especially considering a high-order QAM modulation design. However, the high computational complexity level and the speed of the convergence for optimizing the phases of the transmitting signal restrict this technique in practical applications. In this paper, a low-complexity frequency-domain-evaluated PTS (F-PTS) based on a spacing multiobjective (SMO) processing algorithm is proposed to reduce the PAPR values. The PAPR performance are accurately predicted in terms of modifying relative dispersion in the frequency domain. As a result, the complexity of searching the optimal phase factors and IFFT computing is simplified. Moreover, a frequency-domain- and time-domain-evaluating PTS (FTD-PTS) is employed to search the optimal solution with a reasonable complexity. Simulation results verify that the operation rate of F-PTS is significantly improved after transferring the exhaustive search strategy of PTS into the SMO algorithm, and the F-PTS PAPR reduction performance is just 0.3 dB away from theoretical optimal performance. The FTD-PTS spends an acceptable operation rate to obtain optimal PAPR reduction performance, which subtracts 0.5 and 0.6 dB more than PSO-PTS and conventional PTS at CCDF=103, respectively. Full article
Show Figures

Figure 1

21 pages, 23913 KB  
Article
A Novel Hybrid Precoding-Companding Technique for Peak-to-Average Power Ratio Reduction in 5G and beyond
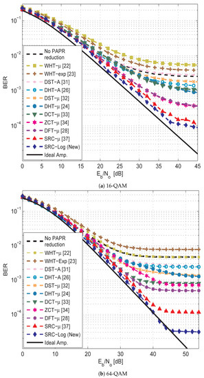
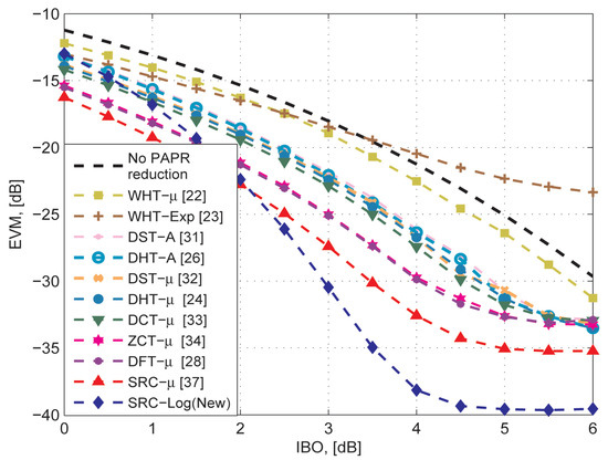
by Mohamed Mounir, Mohamed B. El_Mashade, Salah Berra, Gurjot Singh Gaba and Mehedi Masud
Sensors 2021, 21(4), 1410; https://doi.org/10.3390/s21041410 - 18 Feb 2021
Cited by 28 | Viewed by 4960
Abstract
Several high-speed wireless systems use Orthogonal Frequency Division Multiplexing (OFDM) due to its advantages. 5G has adopted OFDM and is expected to be considered beyond 5G (B5G). Meanwhile, OFDM has a high Peak-to-Average Power Ratio (PAPR) problem. Hybridization between two PAPR reduction techniques [...] Read more.
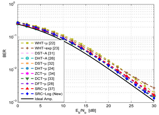
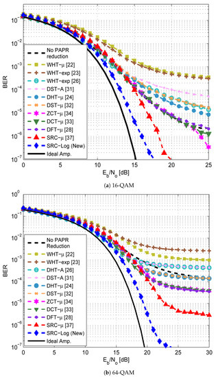
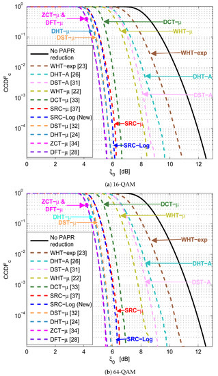
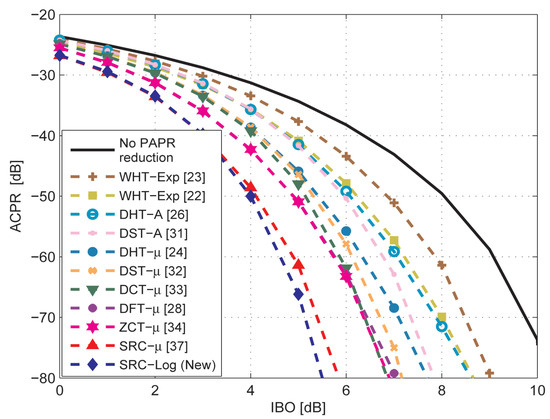
Several high-speed wireless systems use Orthogonal Frequency Division Multiplexing (OFDM) due to its advantages. 5G has adopted OFDM and is expected to be considered beyond 5G (B5G). Meanwhile, OFDM has a high Peak-to-Average Power Ratio (PAPR) problem. Hybridization between two PAPR reduction techniques gains the two techniques’ advantages. Hybrid precoding-companding techniques are attractive as they require small computational complexity to achieve high PAPR reduction gain. Many precoding-companding techniques were introduced to increasing the PAPR reduction gain. However, reducing Bit Error Rate (BER) and out-of-band (OOB) radiation are more significant than increasing PAPR reduction gain. This paper proposes a new precoding-companding technique to better reduce the BER and OOB radiation than previous precoding-companding techniques. Results showed that the proposed technique outperforms all previous precoding-companding techniques in BER enhancement and OOB radiation reduction. The proposed technique reduces the Error Vector Magnitude (EVM) by 15 dB compared with 10 dB for the best previous technique. Additionally, the proposed technique increases high power amplifier efficiency (HPA) by 11.4%, while the best previous technique increased HPA efficiency by 9.8%. Moreover, our proposal achieves PAPR reduction gain better than the most known powerful PAPR reduction technique with a 99% reduction in required computational complexity. Full article
(This article belongs to the Section Communications)
Show Figures

Figure 1

Back to TopTop