Sign in to use this feature.

Years

Between: -

Subjects

remove_circle_outline
remove_circle_outline
remove_circle_outline

Journals

Article Types

Countries / Regions

Search Results (2)

Search Parameters:
Keywords = international patent classification (IPC) code co-occurrence

Order results
Result details
Results per page
Select all
Export citation of selected articles as:
19 pages, 4808 KB  
Article
Technology Fusion Characteristics in the Solar Photovoltaic Industry of South Korea: A Patent Network Analysis Using IPC Co-Occurrence
by Sungho Son and Nam-Wook Cho
Sustainability 2020, 12(21), 9084; https://doi.org/10.3390/su12219084 - 31 Oct 2020
Cited by 23 | Viewed by 6223
Abstract
This study analyzes the technology fusion phenomena and its characteristics, focusing on the solar photovoltaic (PV) industry in South Korea. Co-occurrence networks of international patent classification (IPC) codes have been analyzed based on the photovoltaic patents in South Korea during a 15-year period [...] Read more.
This study analyzes the technology fusion phenomena and its characteristics, focusing on the solar photovoltaic (PV) industry in South Korea. Co-occurrence networks of international patent classification (IPC) codes have been analyzed based on the photovoltaic patents in South Korea during a 15-year period (2002–2016). The results reveal that, while the strength of technology fusion has greatly increased during the period, the structural pattern of fusion has been diversified or decentralized. In the early stage, widespread emergence of new technologies has been observed but, in the later stage, the focus of fusion shifted to the utilization of existing technologies. The characteristics of key technologies also changed as the technology fusion progressed. In the early stage, product technologies such as materials and components played a central role, while operation technologies such as monitor, structure, and arrangement were the drivers of fusion during the later stage. Full article
(This article belongs to the Section Economic and Business Aspects of Sustainability)
Show Figures

Figure 1

26 pages, 17174 KB  
Article
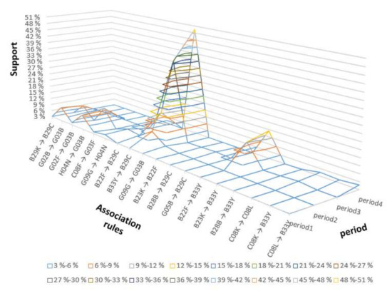
A Study on Dynamic Patterns of Technology Convergence with IPC Co-Occurrence-Based Analysis: The Case of 3D Printing
by Ying Tang, Xuming Lou, Zifeng Chen and Chengjin Zhang
Sustainability 2020, 12(7), 2655; https://doi.org/10.3390/su12072655 - 27 Mar 2020
Cited by 47 | Viewed by 7732
Abstract
Technology convergence has become a typical characteristic of innovation, which affects the evolution of industrial structures and the core competitiveness of organizations. However, the existing research has mainly focused on the development of core areas of convergence, ignoring the potential breakthroughs that emerging [...] Read more.
Technology convergence has become a typical characteristic of innovation, which affects the evolution of industrial structures and the core competitiveness of organizations. However, the existing research has mainly focused on the development of core areas of convergence, ignoring the potential breakthroughs that emerging peripheral convergence may bring. Therefore, this research put forward a comprehensive methodology based on IPC (International Patent Classification) co-occurrence analysis to study the dynamic patterns of technology convergence from the perspectives of reinforcing convergence and novel convergence. For the former, convergence trends in each period were explored by using association rules, and the convergence degree was measured based on the number of patents containing different IPC codes. Then, the corresponding core technical fields were identified by using information entropy. For the latter, a community detection algorithm based on IPC co-occurrence network was adopted to investigate the convergence trend by period, and important technology fields were identified by the centrality indicators. The methodology proposed in this study is beneficial for firms to seize technological opportunities in technology convergence. Full article
Show Figures

Figure 1

Back to TopTop