Sign in to use this feature.

Years

Between: -

Subjects

remove_circle_outline
remove_circle_outline
remove_circle_outline
remove_circle_outline
remove_circle_outline

Journals

Article Types

Countries / Regions

Search Results (9)

Search Parameters:
Keywords = instrumental insemination

Order results
Result details
Results per page
Select all
Export citation of selected articles as:
11 pages, 562 KB  
Article
Variability and Number of Circulating csd Alleles in a Honey Bee Breeding Population After Four Years of Single-Drone Insemination
by Maria Grazia De Iorio, Barbara Lazzari, Maria Cristina Silvia Cozzi, Michele Polli and Giulietta Minozzi
Genes 2026, 17(1), 86; https://doi.org/10.3390/genes17010086 - 14 Jan 2026
Viewed by 106
Abstract
Background: Varroa destructor is the major threat to honey bee health, and selective breeding for resistance traits such as Varroa-sensitive hygiene represents a promising long-term strategy for controlling mite populations. However, breeding programs that rely on highly controlled mating schemes, including single-drone [...] Read more.
Background: Varroa destructor is the major threat to honey bee health, and selective breeding for resistance traits such as Varroa-sensitive hygiene represents a promising long-term strategy for controlling mite populations. However, breeding programs that rely on highly controlled mating schemes, including single-drone instrumental insemination, may reduce allelic diversity at the complementary sex determiner (csd) locus, potentially increasing the production of non-viable diploid males and compromising colony fitness. Methods: To evaluate whether csd diversity can be maintained under these conditions, we characterized the hypervariable region of csd in a selectively bred Apis mellifera population subjected to four years of selection. Using a validated de novo assembly pipeline, we reconstructed 43 amino-acid sequences from 33 diploid worker pupae sampled across 13 colonies. Results: Seven distinct alleles were identified, five of which were shared among multiple colonies and corresponded to variants already described in the literature, while two were private to individual colonies and novel in the literature. Colony-level frequency data revealed a moderate diversity: the most common allele was detected in nine colonies, with an allelic frequency of 31%. Moreover, the expected heterozygosity of the population was estimated at 0.79. Conclusions: Overall, these findings show that csd diversity can be partially maintained even under strong selective pressure when multiple maternal lines are retained, and they underscore the importance of incorporating genetic information into breeding decisions to support the long-term sustainability of selective breeding programs. Full article
(This article belongs to the Section Animal Genetics and Genomics)
Show Figures

Figure 1

10 pages, 918 KB  
Article
Evaluation of a Simple Antibiotic-Free Cryopreservation Protocol for Drone Semen
by Sophie Egyptien, Jérôme Ponthier, Fabien Ectors, Brice Thibaut and Stéfan Deleuze
Insects 2025, 16(1), 50; https://doi.org/10.3390/insects16010050 - 7 Jan 2025
Cited by 1 | Viewed by 2390
Abstract
The increasing reliance of modern agriculture on honey bee (Apis mellifera) pollination has driven efforts to preserve and enhance bee populations. The cryopreservation of drone semen presents a promising solution for preserving genetic diversity and supporting breeding programs without live animal [...] Read more.
The increasing reliance of modern agriculture on honey bee (Apis mellifera) pollination has driven efforts to preserve and enhance bee populations. The cryopreservation of drone semen presents a promising solution for preserving genetic diversity and supporting breeding programs without live animal transport risks. This study aimed to evaluate a one-step dilution antibiotic-free drone semen slow-freezing protocol under field conditions with in vitro and in vivo parameters. Semen viability was tested by two different mixes of dyes, and both techniques gave similar results, showing a post-thaw viability drop of 37%. Virgin queens were inseminated either with fresh or frozen–thawed semen. Survival rates until egg-laying onset and female brood production were similar for both groups; however, colonies with queens inseminated with fresh semen were more likely to go into wintering. Results suggest that frozen–thawed semen can support viable queen insemination, with potential for female brood production even without antibiotics in the diluent. This study highlights the need for further refinement of cryopreservation protocols, particularly regarding semen quality and queen longevity, to improve the feasibility of cryobanking for Apis mellifera conservation and breeding. Full article
Show Figures

Graphical abstract

11 pages, 1896 KB  
Article
Microbiota Analysis of Ejaculated Honey Bee Drone Semen and the Effect of Semen Collection Method on Bacterial Loads
by Jesús Yániz, Marion Toquet, Pilar Santolaria, Miguel Angel Silvestre, Raquel Toledo-Perona and Ángel Gómez-Martín
Insects 2024, 15(6), 377; https://doi.org/10.3390/insects15060377 - 22 May 2024
Cited by 2 | Viewed by 2624
Abstract
Artificial insemination in queen honey bees is the only tool that provides complete control over mating for research and breeding purposes, making it essential in genetic improvement and conservation programs in this species. The aims of this study were to characterize drone semen [...] Read more.
Artificial insemination in queen honey bees is the only tool that provides complete control over mating for research and breeding purposes, making it essential in genetic improvement and conservation programs in this species. The aims of this study were to characterize drone semen bacterial loads by culture-dependent and independent methods and to describe their variation depending on the method of semen collection, the colony and the apiary. In the first experiment, the bacterial loads of semen collected from the seminal vesicles or from ejaculates was studied using culture-dependent methods. The collection method had a significant influence on the overall bacterial count in semen. Out of the 42 semen samples analyzed, 26 (61.9%) tested positive for bacterial isolation. This encompassed the entirety of samples obtained from the seminal vesicles (21 of 21), whereas only 23.8% of those derived from ejaculates (5 out of 21) showed bacterial isolation. In the second experiment, next-generation sequencing techniques were used to describe the microbiome of ejaculated drone semen for the first time. The most abundant phyla were Proteobacteria, Firmicutes, Bacteroidota and Actinobacteriota, while the most abundant genera were Lactobacillus, Staphylococcus, Prevotella, Alloprevotella and Streptococcus. The results showed that the apiary had a significant effect on the community structure composition and abundance of the seminal microbiota, and significative differences in abundance were observed for the genera Sphingomonas, Methylobacterium-Methylorubrum, Bifidobacterium and Alloprevotella. Significant differences were also observed in the richness of the microbiota between apiaries and colonies. Full article
(This article belongs to the Section Insect Physiology, Reproduction and Development)
Show Figures

Figure 1

19 pages, 517 KB  
Article
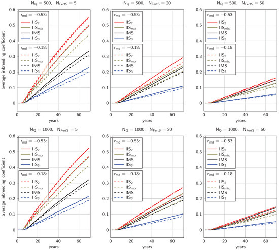
The Potential of Instrumental Insemination for Sustainable Honeybee Breeding
by Manuel Du, Richard Bernstein and Andreas Hoppe
Genes 2023, 14(9), 1799; https://doi.org/10.3390/genes14091799 - 14 Sep 2023
Cited by 6 | Viewed by 2545
Abstract
Mating control is crucial in honeybee breeding and commonly guaranteed by bringing virgin queens to isolated mating stations (IMS) for their nuptial flights. However, most breeding programs struggle to provide sufficiently many IMS. Research institutions routinely perform instrumental insemination of honeybees, but its [...] Read more.
Mating control is crucial in honeybee breeding and commonly guaranteed by bringing virgin queens to isolated mating stations (IMS) for their nuptial flights. However, most breeding programs struggle to provide sufficiently many IMS. Research institutions routinely perform instrumental insemination of honeybees, but its potential to substitute IMS in breeding programs has not been sufficiently studied. We performed stochastic simulations to compare instrumental insemination strategies and mating on IMS in terms of genetic progress and inbreeding development. We focused on the role of paternal generation intervals, which can be shortened to two years with instrumental insemination in comparison to three years when using IMS. After 70 years, instrumental insemination yielded up to 42% higher genetic gain than IMS strategies—particularly with few available mating sites. Inbreeding rates with instrumental insemination and IMS were comparable. When the paternal generation interval in instrumental insemination was stretched to three years, the number of drone producers required for sustainable breeding was reduced substantially. In contrast, when shortening the interval to two years, it yielded the highest generational inbreeding rates (up to 2.28%). Overall, instrumental insemination with drones from a single colony appears as a viable strategy for honeybee breeding and a promising alternative to IMS. Full article
(This article belongs to the Section Population and Evolutionary Genetics and Genomics)
Show Figures

Figure 1

13 pages, 1953 KB  
Article
Observation of Genetic Gain with Instrumental Insemination of Honeybee Queens
by Ségolène Maucourt, Andrée Rousseau, Frédéric Fortin, Claude Robert and Pierre Giovenazzo
Insects 2023, 14(3), 301; https://doi.org/10.3390/insects14030301 - 21 Mar 2023
Cited by 8 | Viewed by 4653
Abstract
Controlling mating in the honeybee (Apis mellifera) is part of one of the greatest challenges for the beekeeping industry’s genetic selection programs due to specific characteristics of their reproduction. Several techniques for supervising honeybee mating with relative effective control have been [...] Read more.
Controlling mating in the honeybee (Apis mellifera) is part of one of the greatest challenges for the beekeeping industry’s genetic selection programs due to specific characteristics of their reproduction. Several techniques for supervising honeybee mating with relative effective control have been developed over the years to allow honeybee selection. As part of this project, we compared the genetic gains for several colony performance traits, obtained using the BLUP-animal method, according to the selection pressure applied in controlled reproduction (directed fertilization versus instrumental insemination). Our results show similar genetic gains for hygienic behavior and honey production between colonies whether queens were fertilized naturally or via instrumental insemination, as well as similar or lower genetic gains for colonies with queens inseminated for spring development. In addition, we noticed greater fragility in queens following insemination. These findings show that instrumental insemination is an effective tool for reproductive control in genetic selection and for estimating breeding values more precisely. However, this technique does not result in queens of superior genetic quality for commercial purposes. Full article
Show Figures

Figure 1

16 pages, 3137 KB  
Article
The Influence of Body Weight on Semen Parameters in Apis mellifera Drones
by Ioan Cristian Bratu, Violeta Igna, Eliza Simiz, Ioan Bănățean Dunea and Silvia Pătruică
Insects 2022, 13(12), 1141; https://doi.org/10.3390/insects13121141 - 11 Dec 2022
Cited by 9 | Viewed by 4417
Abstract
The quantity and quality of the honey bee drone semen have a significant determination on the performance of bee colonies. The existence of a smaller number of mature drones to participate in the mating of queens, as well as a sufficient number of [...] Read more.
The quantity and quality of the honey bee drone semen have a significant determination on the performance of bee colonies. The existence of a smaller number of mature drones to participate in the mating of queens, as well as a sufficient number of drones but with poor quality semen can have serious implications for the productivity of bee colonies. Our study aimed to investigate the correlation between two body weight ranges of drones and semen parameters in the Buckfast honey bee, data that could be integrated into the optimization of instrumental insemination in been queens. Semen was collected from two groups of drones with different body weights (200–240 mg and 240–280 mg). Semen volume, semen concentration, motility, morphology and membrane integrity of spermatozoa were analyzed. The phenotype indicator related to body weight in correlation with the main semen parameters studied gives a weak influence or causality ratio. In drones with 240–280 mg body weight, a higher percentage of spermatozoa with abnormal morphology (>9.60%) was recorded, compared to drones with 200–240 mg body weight. The study reveals that a higher weight of honey bee drones is correlated with higher sperm concentration and total number of spermatozoa/ejaculate, with an increase in the percentage of spermatozoa with abnormal morphology. Full article
(This article belongs to the Section Insect Physiology, Reproduction and Development)
Show Figures

Figure 1

12 pages, 549 KB  
Article
An Alternative, High Throughput Method to Identify Csd Alleles of the Honey Bee
by Éva Kolics, Tamás Parrag, Ferenc Házi, Kinga Szepesi, Botond Heltai, Kinga Mátyás, Barbara Kutasy, Eszter Virág, János Taller, László Orbán and Balázs Kolics
Insects 2020, 11(8), 483; https://doi.org/10.3390/insects11080483 - 30 Jul 2020
Cited by 7 | Viewed by 4268
Abstract
Applying instrumental insemination in closely related honey bee colonies often leads to frequent lethality of offspring causing colony collapse. This is due to the peculiarities of honey bee reproductive biology, where the complementary sex determination (csd) gene drives sex determination within [...] Read more.
Applying instrumental insemination in closely related honey bee colonies often leads to frequent lethality of offspring causing colony collapse. This is due to the peculiarities of honey bee reproductive biology, where the complementary sex determination (csd) gene drives sex determination within a haplodiploid system. Diploid drones containing homozygous genotypes are lethal. Tracking of csd alleles using molecular markers prevents this unwanted event in closed breeding programs. Our approach described here is based on high throughput sequencing (HTS) that provides more data than traditional molecular techniques and is capable of analysing sources containing multiple alleles, including diploid individuals as the bee queen. The approach combines HTS technique and clipping wings as a minimally invasive method to detect the complementary sex determiner (csd) alleles directly from honey bee queens. Furthermore, it might also be suitable for screening alleles of honey harvested from hives of a closed breeding facility. Data on alleles of the csd gene from different honey bee subspecies are provided. It might contribute to future databases that could potentially be used to track the origin of honey. With the help of tracking csd alleles, more focused crossings will be possible, which could in turn accelerate honey bee breeding programmes targeting increase tolerance against varroosis as well. Full article
(This article belongs to the Special Issue Honeybee Breeding)
Show Figures

Figure 1

16 pages, 2524 KB  
Article
Seminal Plasma, Sperm Concentration, and Sperm-PMN Interaction in the Donkey: An In Vitro Model to Study Endometrial Inflammation at Post-Insemination
by Jordi Miró, Henar Marín, Jaime Catalán, Marion Papas, Sabrina Gacem and Marc Yeste
Int. J. Mol. Sci. 2020, 21(10), 3478; https://doi.org/10.3390/ijms21103478 - 14 May 2020
Cited by 23 | Viewed by 4259
Abstract
In the donkey, artificial insemination (AI) with frozen-thawed semen is associated with low fertility rates, which could be partially augmented through adding seminal plasma (SP) and increasing sperm concentration. On the other hand, post-AI endometrial inflammation in the jenny is significantly higher than [...] Read more.
In the donkey, artificial insemination (AI) with frozen-thawed semen is associated with low fertility rates, which could be partially augmented through adding seminal plasma (SP) and increasing sperm concentration. On the other hand, post-AI endometrial inflammation in the jenny is significantly higher than in the mare. While previous studies analyzed this response through recovering Polymorphonuclear Neutrophils (PMN) from uterine washings, successive lavages can detrimentally impact the endometrium, leading to fertility issues. For this reason, the first set of experiments in this work intended to set an in vitro model through harvesting PMN from the peripheral blood of jennies. Thereafter, how PMN, which require a triggering agent like formyl-methionyl-leucyl-phenylalanine (FMLP) to be activated, are affected by donkey semen was interrogated. Finally, we tested how four concentrations of spermatozoa (100 × 106, 200 × 106, 500 × 106 and 1000 × 106 spermatozoa/mL) affected their interaction with PMN. We observed that semen, which consists of sperm and SP, is able to activate PMN. Whereas there was a reduced percentage of spermatozoa phagocytosed by PMN, most remained attached on the PMN surface or into a surrounding halo. Spermatozoa not attached to PMN were viable, and most of those bound to PMN were also viable and showed high tail beating. Finally, only sperm concentrations higher than 500 × 106 spermatozoa/mL showed free sperm cells after 3 h of incubation, and percentages of spermatozoa not attached to PMN were higher at 3 h than at 1 h, exhibiting high motility. We can thus conclude that semen activates PMN in the donkey, and that the percentage of spermatozoa phagocytosed by PMN is low. Furthermore, because percentages of spermatozoa not attached to PMN were higher after 3 h than after 1 h of incubation, we suggest that PMN-sperm interaction plays an instrumental role in the reproductive strategy of the donkey. Full article
Show Figures

Figure 1

8 pages, 612 KB  
Article
Multiple Virus Infections in Western Honeybee (Apis mellifera L.) Ejaculate Used for Instrumental Insemination
by Jana Prodělalová, Romana Moutelíková and Dalibor Titěra
Viruses 2019, 11(4), 306; https://doi.org/10.3390/v11040306 - 29 Mar 2019
Cited by 21 | Viewed by 4059
Abstract
Instrumental insemination of Apis mellifera L. queens is a widely employed technique used in honeybee breeding that enables the effective control of mating. However, drone semen represents a potential source of honeybee viruses. In this study, 43 semen doses collected from apparently healthy [...] Read more.
Instrumental insemination of Apis mellifera L. queens is a widely employed technique used in honeybee breeding that enables the effective control of mating. However, drone semen represents a potential source of honeybee viruses. In this study, 43 semen doses collected from apparently healthy drones, and consequently used in instrumental insemination, were analysed using PCR or RT-PCR to detect the presence of viral genome of 11 honeybee viruses. In 91% of samples, viral infection was detected. The survey revealed genomes of five viruses, namely Deformed wing virus (DWV), Acute bee paralysis virus (ABPV), Black queen cell virus (BQCV), Sacbrood virus (SBV), and A. mellifera filamentous virus (AmFV) in 84%, 19%, 14%, 2%, and 67% of samples, respectively. Single infection (30% of samples) as well as multiple infection (61% of samples) of two, three or four pathogens were also evaluated. To the best of our knowledge, this is the first study describing the presence of the BQCV and SBV genome sequence in drone ejaculate. Phylogenetic analysis of BQCV partial helicase gene sequence revealed the high similarity of nucleotide sequence of described Czech strains, which varied from 91.4% to 99.6%. The findings of our study indicate the possibility of venereal transmission of BQCV and SBV. Full article
(This article belongs to the Special Issue Insect Viruses and Pest Management)
Show Figures

Figure 1

Back to TopTop