Sign in to use this feature.

Years

Between: -

Subjects

remove_circle_outline
remove_circle_outline
remove_circle_outline
remove_circle_outline
remove_circle_outline

Journals

Article Types

Countries / Regions

Search Results (3)

Search Parameters:
Keywords = high initial columbic efficiency

Order results
Result details
Results per page
Select all
Export citation of selected articles as:
10 pages, 2750 KB  
Article
Novel Q-Carbon Anodes for Sodium-Ion Batteries
by Saurabh Prakash Pethe, Siba Sundar Sahoo, Arvind Ganesan, Harry M. Meyer, Xiao-Guang Sun, Jagdish Narayan and Mariappan Parans Paranthaman
Appl. Sci. 2024, 14(22), 10679; https://doi.org/10.3390/app142210679 - 19 Nov 2024
Cited by 1 | Viewed by 1515
Abstract
The lack of a standard anode for sodium-ion batteries (SIBs) has greatly hindered their applications. Herein, we show that a novel phase of carbon, namely Q-carbon, is an effective anode material for sodium-ion batteries. The Q-carbon, which is a metastable phase of carbon [...] Read more.
The lack of a standard anode for sodium-ion batteries (SIBs) has greatly hindered their applications. Herein, we show that a novel phase of carbon, namely Q-carbon, is an effective anode material for sodium-ion batteries. The Q-carbon, which is a metastable phase of carbon consisting of about 80% sp3- and 20% sp2-bonded carbon, is synthesized by nonequilibrium pulsed laser annealing and arc-discharge methods. Two types of Q-carbons, Q1 and Q2, were evaluated as anode material for SIBs. Q1 had a slow quench and was used as the control, whereas Q2 was Q-carbon with a rapid quenching. Q1 exhibits a high initial columbic efficiency of 81% and a low-capacity retention of less than 60%, whereas Q2 has a low initial columbic efficiency of 58% and a high-capacity retention of 81%. Q2 exhibits a stable capacity of 168 mAh·g−1 at a cycling rate of C/3 (124 mA·g−1), which is comparable to other hard carbon anodes reported in the literature. This unique synthesis method opens a pathway for the further tuning of Q-carbon with higher trapping/charging of Na+ ions in improved SIBs. Full article
(This article belongs to the Topic Energy Storage and Conversion Systems, 2nd Edition)
Show Figures

Figure 1

12 pages, 4227 KB  
Article
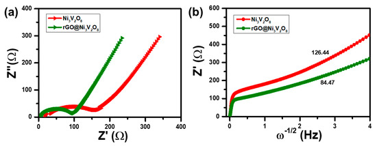
Facile One-Step Hydrothermal Synthesis of the rGO@Ni3V2O8 Interconnected Hollow Microspheres Composite for Lithium-Ion Batteries
by Faizan Ghani, In Wook Nah, Hyung-Seok Kim, JongChoo Lim, Afifa Marium, Muhammad Fazal Ijaz and Abu ul Hassan S. Rana
Nanomaterials 2020, 10(12), 2389; https://doi.org/10.3390/nano10122389 - 30 Nov 2020
Cited by 13 | Viewed by 3032
Abstract
Low-cost, vanadium-based mixed metal oxides mostly have a layered crystal structure with excellent kinetics for lithium-ion batteries, providing high energy density. The existence of multiple oxidation states and the coordination chemistry of vanadium require cost-effective, robust techniques to synthesize the scaling up of [...] Read more.
Low-cost, vanadium-based mixed metal oxides mostly have a layered crystal structure with excellent kinetics for lithium-ion batteries, providing high energy density. The existence of multiple oxidation states and the coordination chemistry of vanadium require cost-effective, robust techniques to synthesize the scaling up of their morphology and surface properties. Hydrothermal synthesis is one of the most suitable techniques to achieve pure phase and multiple morphologies under various conditions of temperature and pressure. We attained a simple one-step hydrothermal approach to synthesize the reduced graphene oxide coated Nickel Vanadate (rGO@Ni3V2O8) composite with interconnected hollow microspheres. The self-assembly route produced microspheres, which were interconnected under hydrothermal treatment. Cyclic performance determined the initial discharge/charge capacities of 1209.76/839.85 mAh g−1 at the current density of 200 mA g−1 with a columbic efficiency of 69.42%, which improved to 99.64% after 100 cycles. High electrochemical performance was observed due to high surface area, the porous nature of the interconnected hollow microspheres, and rGO induction. These properties increased the contact area between electrode and electrolyte, the active surface of the electrodes, and enhanced electrolyte penetration, which improved Li-ion diffusivity and electronic conductivity. Full article
Show Figures

Figure 1

11 pages, 3136 KB  
Article
Superior Ionic Transferring Polymer with Silicon Dioxide Composite Membrane via Phase Inversion Method Designed for High Performance Sodium-Ion Battery
by Ponnaiah Arjunan, Mathiyalagan Kouthaman, Rengapillai Subadevi, Karuppiah Diwakar, Wei-Ren Liu, Chia-Hung Huang and Marimuthu Sivakumar
Polymers 2020, 12(2), 405; https://doi.org/10.3390/polym12020405 - 11 Feb 2020
Cited by 17 | Viewed by 4497
Abstract
Superior sodium-ion-conducting polymer poly(vinyledene fluoride)–silicon dioxide (PVdF-SiO2) composite separator membrane was prepared via simple phase inversion method, which is a suitable alternative conventional polypropylene membrane. Basically, PVdF is the promising for use as high porous polymer electrolyte membrane due to its [...] Read more.
Superior sodium-ion-conducting polymer poly(vinyledene fluoride)–silicon dioxide (PVdF-SiO2) composite separator membrane was prepared via simple phase inversion method, which is a suitable alternative conventional polypropylene membrane. Basically, PVdF is the promising for use as high porous polymer electrolyte membrane due to its high dielectric constant (ε = 8.4). In this work, we prepared a composite membrane using PVdF-SiO2 via phase inversion method. This work was systematically studied towards the morphology, porosity, and electrochemical properties of as prepared membrane. The electrolyte uptake capability of separator membrane tested with 1 M NaPF6 electrolyte solution and temperature-dependent ionic conduction test were performed at various temperatures. This membrane exhibits higher ionic conductivity of 4.7 × 10−2 S cm−1 at room temperature. The physical properties were analyzed by X-ray diffraction, FT-IR, and FE-SEM micrographs analyses. The electrochemical performances with impedance analysis carried for prepared membrane with the as-prepared sodium P2-type cathode material. The material showed an initial discharge capacity of 178 mAh g−1 at 0.1 C between 2 and 4 V with 98% columbic efficiency and 81% capacity retention after 50 cycles upon using the as-prepared PVdF-SiO2 composite separator membrane. Full article
Show Figures

Graphical abstract

Back to TopTop