Sign in to use this feature.

Years

Between: -

Subjects

remove_circle_outline
remove_circle_outline
remove_circle_outline

Journals

Article Types

Countries / Regions

Search Results (2)

Search Parameters:
Keywords = gloxinia

Order results
Result details
Results per page
Select all
Export citation of selected articles as:
11 pages, 1469 KB  
Article
Evaluation of Factors Affecting Direct Organogenesis in a Somatic Tissue Culture of Sinningia speciosa (Lodd.) Hiern
by Aušra Blinstrubienė, Natalija Burbulis, Vaida Jonytienė and Ramunė Masienė
Agronomy 2020, 10(11), 1783; https://doi.org/10.3390/agronomy10111783 - 13 Nov 2020
Cited by 4 | Viewed by 3633
Abstract
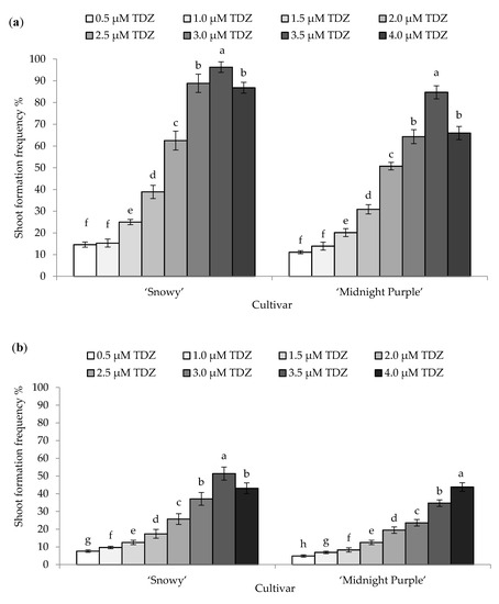
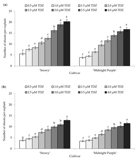
In this study, the influence of genotype, concentration of thidiazuron (TDZ), and explant position on the culture medium in organogenesis in a somatic tissue culture of two gloxinia cultivars was investigated. Isolated explants cultured on the medium containing TDZ formed adventitious shoots directly [...] Read more.
In this study, the influence of genotype, concentration of thidiazuron (TDZ), and explant position on the culture medium in organogenesis in a somatic tissue culture of two gloxinia cultivars was investigated. Isolated explants cultured on the medium containing TDZ formed adventitious shoots directly without an intervening callus phase. Explant regeneration frequency varied depending on the genotype, TDZ concentration, and explant position on the medium. The analysis of variance revealed that cultivar (C), TDZ concentration (T), position of explant on culture medium (P), and the interaction of C × T, C × P, T × P, and C × T × P significantly influenced the frequency of shoot formation. However, the effect of interface C × P and C × T × P on the number of shoots per explant was not significant. “Snowy” leaf explants manifested a significantly higher mean shoot formation frequency (p ˂ 0.01) in comparison with the cultivar “Midnight Purple”. The medium enriched with 3.5 μM TDZ resulted in the highest organogenesis frequency, while the highest shoot number per explant was acquired on medium supplemented with 4.0 μM TDZ. The explants of the tested cultivars cultured on the medium with the adaxial side down showed a significantly higher (p ˂ 0.01) shoot formation frequency in comparison with explants cultured on the medium with the abaxial side, and they showed a higher mean number of shoots per explant. An effective method for in vitro organogenesis of Sinningia speciosa (Lodd.) Hiern without an intervening callus phase was established. Full article
(This article belongs to the Section Horticultural and Floricultural Crops)
Show Figures

Figure 1

20 pages, 3798 KB  
Article
Gloxinia—An Open-Source Sensing Platform to Monitor the Dynamic Responses of Plants
by Olivier Pieters, Tom De Swaef, Peter Lootens, Michiel Stock, Isabel Roldán-Ruiz and Francis wyffels
Sensors 2020, 20(11), 3055; https://doi.org/10.3390/s20113055 - 28 May 2020
Cited by 5 | Viewed by 4881
Abstract
The study of the dynamic responses of plants to short-term environmental changes is becoming increasingly important in basic plant science, phenotyping, breeding, crop management, and modelling. These short-term variations are crucial in plant adaptation to new environments and, consequently, in plant fitness and [...] Read more.
The study of the dynamic responses of plants to short-term environmental changes is becoming increasingly important in basic plant science, phenotyping, breeding, crop management, and modelling. These short-term variations are crucial in plant adaptation to new environments and, consequently, in plant fitness and productivity. Scalable, versatile, accurate, and low-cost data-logging solutions are necessary to advance these fields and complement existing sensing platforms such as high-throughput phenotyping. However, current data logging and sensing platforms do not meet the requirements to monitor these responses. Therefore, a new modular data logging platform was designed, named Gloxinia. Different sensor boards are interconnected depending upon the needs, with the potential to scale to hundreds of sensors in a distributed sensor system. To demonstrate the architecture, two sensor boards were designed—one for single-ended measurements and one for lock-in amplifier based measurements, named Sylvatica and Planalta, respectively. To evaluate the performance of the system in small setups, a small-scale trial was conducted in a growth chamber. Expected plant dynamics were successfully captured, indicating proper operation of the system. Though a large scale trial was not performed, we expect the system to scale very well to larger setups. Additionally, the platform is open-source, enabling other users to easily build upon our work and perform application-specific optimisations. Full article
(This article belongs to the Special Issue Low-Cost Sensors and Vectors for Plant Phenotyping)
Show Figures

Figure 1

Back to TopTop