Sign in to use this feature.

Years

Between: -

Subjects

remove_circle_outline

Journals

Article Types

Countries / Regions

Search Results (1)

Search Parameters:
Keywords = electrification of PET sample

Order results
Result details
Results per page
Select all
Export citation of selected articles as:
20 pages, 2704 KB  
Article
Insight into What Is inside Swift Heavy Ion Latent Tracks in PET Film
by Adil Z. Tuleushev, Fiona E. Harrison, Artem L. Kozlovskiy and Maxim V. Zdorovets
Polymers 2023, 15(20), 4050; https://doi.org/10.3390/polym15204050 - 11 Oct 2023
Cited by 4 | Viewed by 1890
Abstract
We present here a novel experimental study of changes after contact electrification in the optical transmission spectra of samples of both pristine and irradiated PET film treated with Kr+15 ions of energy of 1.75 MeV and a fluence of 3 × 10 [...] Read more.
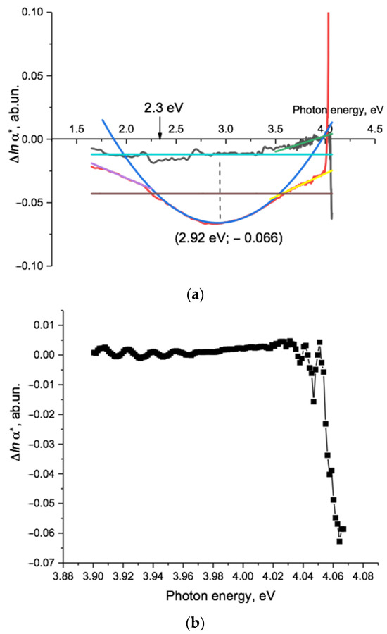
We present here a novel experimental study of changes after contact electrification in the optical transmission spectra of samples of both pristine and irradiated PET film treated with Kr+15 ions of energy of 1.75 MeV and a fluence of 3 × 1010 cm2. We used a non-standard electrification scheme for injecting electrons into the film by applying negative electrodes to both its surfaces and using the positively charged inner regions of the film itself as the positive electrode. Electrification led to a decrease in the intensity of the internal electric fields for both samples and a hypsochromic (blue) shift in their spectra. For the irradiated PET sample, electrification resulted in a Gaussian modulation of its optical properties in the photon energy range 2.3–3.6 eV. We associate this Gaussian modulation with the partial decay of non-covalent extended conjugated systems that were formed under the influence of the residual radial electric field of the SHI latent tracks. Our studies lead us to suggest the latent track in the PET film can be considered as a variband material in the radial direction. Consideration of our results along with other published experimental results leads us to conclude that these can all be consistently understood by taking into account both the swift and slow electrons produced by SHI irradiation, and that it appears that the core of a latent track is negatively charged, and the periphery is positively charged. Full article
(This article belongs to the Section Polymer Membranes and Films)
Show Figures

Figure 1

Back to TopTop