Sign in to use this feature.

Years

Between: -

Subjects

remove_circle_outline
remove_circle_outline
remove_circle_outline
remove_circle_outline
remove_circle_outline
remove_circle_outline
remove_circle_outline
remove_circle_outline
remove_circle_outline

Journals

Article Types

Countries / Regions

Search Results (7)

Search Parameters:
Keywords = benthic microbial fuel cell

Order results
Result details
Results per page
Select all
Export citation of selected articles as:
15 pages, 4786 KB  
Article
Experimental Proof of Principle of 3D-Printed Microfluidic Benthic Microbial Fuel Cells (MBMFCs) with Inbuilt Biocompatible Carbon-Fiber Electrodes
by Terak Hornik, Maxwell Terry, Michael Krause, Jeffrey K. Catterlin, Kevin L. Joiner, Samuel Aragon, Angelica Sarmiento, Yolanda Meriah Arias-Thode and Emil P. Kartalov
Micromachines 2024, 15(7), 870; https://doi.org/10.3390/mi15070870 - 30 Jun 2024
Cited by 2 | Viewed by 2725
Abstract
Microbial fuel cells (MFCs) represent a promising avenue for sustainable energy production by harnessing the metabolic activity of microorganisms. In this study, a novel design of MFC—a Microfluidic Benthic Microbial Fuel Cell (MBMFC)—was developed, fabricated, and tested to evaluate its electrical energy generation. [...] Read more.
Microbial fuel cells (MFCs) represent a promising avenue for sustainable energy production by harnessing the metabolic activity of microorganisms. In this study, a novel design of MFC—a Microfluidic Benthic Microbial Fuel Cell (MBMFC)—was developed, fabricated, and tested to evaluate its electrical energy generation. The design focused on balancing microfluidic architecture and wiring procedures with microbial community dynamics to maximize power output and allow for upscaling and thus practical implementation. The testing phase involved experimentation to evaluate the performance of the MBMFC. Microbial feedstock was varied to assess its impact on power generation. The designed MBMFC represents a promising advancement in the field of bioenergy generation. By integrating innovative design principles with advanced fabrication techniques, this study demonstrates a systematic approach to optimizing MFC performance for sustainable and clean energy production. Full article
(This article belongs to the Special Issue Energy Conversion and Storage Devices: Materials and Applications)
Show Figures

Figure 1

12 pages, 3156 KB  
Article
Utilization of Spent Coffee Grounds for Bioelectricity Generation in Sediment Microbial Fuel Cells
by Nurfarhana Nabila Mohd Noor, Ilwon Jeong, Seokjin Yoon and Kyunghoi Kim
Microorganisms 2024, 12(3), 618; https://doi.org/10.3390/microorganisms12030618 - 19 Mar 2024
Cited by 8 | Viewed by 2923
Abstract
This study examined the utilization of spent coffee grounds with different aqueous extraction methods for the bioelectricity generation from coastal benthic sediment through a sediment microbial fuel cell (SMFC) system. Different methods for the aqueous extraction of SCGs were evaluated, including rinsing and [...] Read more.
This study examined the utilization of spent coffee grounds with different aqueous extraction methods for the bioelectricity generation from coastal benthic sediment through a sediment microbial fuel cell (SMFC) system. Different methods for the aqueous extraction of SCGs were evaluated, including rinsing and drying of the SCG (SMFC-CRD), immersion, rinsing and drying (SMFC-CRID), drying alone (SMFC-CD), and untreated SCG (SMFC-C). The caffeine concentration in the SCG was significantly reduced using pretreatments, with SMFC-CRID achieving the lowest concentration of 0.021 ± 0.001 mg/g. SMFC-CRD contributed to the generation of the highest current density of 213.7 mA/m2 during closed-circuit operation and exhibited the highest power density of 96.9 mW/m2 in the polarization test, due to the suitable caffeine content of 0.275 ± 0.001 mg/g in the SCG. This study could provide a cost-effective method for reusing SCGs (i.e., 128 g) while generating bioelectricity as an alternative energy source. These results suggest that pretreatment with SCGs is essential for achieving optimal power density and reducing the caffeine concentration in the SMFC system. Full article
(This article belongs to the Special Issue Biotechnology for Environmental Remediation)
Show Figures

Graphical abstract

15 pages, 15167 KB  
Article
Dual Role of Sugarcane Waste in Benthic Microbial Fuel to Produce Energy with Degradation of Metals and Chemical Oxygen Demand
by Ghada Mohamed Aleid, Anoud Saud Alshammari, Asma D. Alomari, Hanadi A. Almukhlifi, Akil Ahmad and Asim Ali Yaqoob
Processes 2023, 11(4), 1060; https://doi.org/10.3390/pr11041060 - 31 Mar 2023
Cited by 21 | Viewed by 2681
Abstract
One of the most advanced systems of microbial fuel cells is the benthic microbial fuel cell (BMFC). Despite several developments, this strategy still has a number of significant flaws, such as instable organic substrate. Waste material (sugarcane) is used as a substrate in [...] Read more.
One of the most advanced systems of microbial fuel cells is the benthic microbial fuel cell (BMFC). Despite several developments, this strategy still has a number of significant flaws, such as instable organic substrate. Waste material (sugarcane) is used as a substrate in this work to address the organic substrate instability. The process was operated continuously for 70 days. A level of 300 mV was achieved after 33 days of operation, while the degradation efficiencies of Pb (II), Cd (II), and Cr (III) were more than 90%. More than 90% of the removed chemical oxygen demand (COD) was also recorded. The measured power density was 3.571 mW/m2 at 1000 external resistance with 458 internal resistance. This demonstrates that electrons are effectively transported throughout the operation. The Bacillus strains are the most dominant bacterial community on the surface of the anode. This research’s mechanism, which involves metal ion degradation, is also explained. Finally, parameter optimization indicated that pH 7 works efficiently. In addition to that, there are some future perspectives and concluding remarks enclosed. Full article
Show Figures

Figure 1

20 pages, 2210 KB  
Review
Advancement in Benthic Microbial Fuel Cells toward Sustainable Bioremediation and Renewable Energy Production
by Mohammad Faisal Umar, Mohd Rafatullah, Syed Zaghum Abbas, Mohamad Nasir Mohamad Ibrahim and Norli Ismail
Int. J. Environ. Res. Public Health 2021, 18(7), 3811; https://doi.org/10.3390/ijerph18073811 - 6 Apr 2021
Cited by 33 | Viewed by 6099
Abstract
Anthropogenic activities are largely responsible for the vast amounts of pollutants such as polycyclic aromatic hydrocarbons, cyanides, phenols, metal derivatives, sulphides, and other chemicals in wastewater. The excess benzene, toluene and xylene (BTX) can cause severe toxicity to living organisms in wastewater. A [...] Read more.
Anthropogenic activities are largely responsible for the vast amounts of pollutants such as polycyclic aromatic hydrocarbons, cyanides, phenols, metal derivatives, sulphides, and other chemicals in wastewater. The excess benzene, toluene and xylene (BTX) can cause severe toxicity to living organisms in wastewater. A novel approach to mitigate this problem is the benthic microbial fuel cell (BMFC) setup to produce renewable energy and bio-remediate wastewater aromatic hydrocarbons. Several mechanisms of electrogens have been utilized for the bioremediation of BTX through BMFCs. In the future, BMFCs may be significant for chemical and petrochemical industry wastewater treatment. The distinct factors are considered to evaluate the performance of BMFCs, such as pollutant removal efficiency, power density, and current density, which are discussed by using operating parameters such as, pH, temperature and internal resistance. To further upgrade the BMFC technology, this review summarizes prototype electrode materials, the bioremediation of BTX, and their applications. Full article
Show Figures

Figure 1

26 pages, 8523 KB  
Article
Cellulose Derived Graphene/Polyaniline Nanocomposite Anode for Energy Generation and Bioremediation of Toxic Metals via Benthic Microbial Fuel Cells
by Asim Ali Yaqoob, Mohamad Nasir Mohamad Ibrahim, Khalid Umar, Showkat Ahmad Bhawani, Anish Khan, Abdullah M Asiri, Mohammad Rizwan Khan, Mohammad Azam and Ahmad Moid AlAmmari
Polymers 2021, 13(1), 135; https://doi.org/10.3390/polym13010135 - 30 Dec 2020
Cited by 98 | Viewed by 5416
Abstract
Benthic microbial fuel cells (BMFCs) are considered to be one of the eco-friendly bioelectrochemical cell approaches nowadays. The utilization of waste materials in BMFCs is to generate energy and concurrently bioremediate the toxic metals from synthetic wastewater, which is an ideal approach. The [...] Read more.
Benthic microbial fuel cells (BMFCs) are considered to be one of the eco-friendly bioelectrochemical cell approaches nowadays. The utilization of waste materials in BMFCs is to generate energy and concurrently bioremediate the toxic metals from synthetic wastewater, which is an ideal approach. The use of novel electrode material and natural organic waste material as substrates can minimize the present challenges of the BMFCs. The present study is focused on cellulosic derived graphene-polyaniline (GO-PANI) composite anode fabrication in order to improve the electron transfer rate. Several electrochemical and physicochemical techniques are used to characterize the performance of anodes in BMFCs. The maximum current density during polarization behavior was found to be 87.71 mA/m2 in the presence of the GO-PANI anode with sweet potato as an organic substrate in BMFCs, while the GO-PANI offered 15.13 mA/m2 current density under the close circuit conditions in the presence of 1000 Ω external resistance. The modified graphene anode showed four times higher performance than the unmodified anode. Similarly, the remediation efficiency of GO-PANI was 65.51% for Cd (II) and 60.33% for Pb (II), which is also higher than the unmodified graphene anode. Furthermore, multiple parameters (pH, temperature, organic substrate) were optimized to validate the efficiency of the fabricated anode in different environmental atmospheres via BMFCs. In order to ensure the practice of BMFCs at industrial level, some present challenges and future perspectives are also considered briefly. Full article
(This article belongs to the Special Issue Polymer Materials for Electrochemical Applications)
Show Figures

Graphical abstract

18 pages, 1411 KB  
Review
Insights into Advancements and Electrons Transfer Mechanisms of Electrogens in Benthic Microbial Fuel Cells
by Mohammad Faisal Umar, Syed Zaghum Abbas, Mohamad Nasir Mohamad Ibrahim, Norli Ismail and Mohd Rafatullah
Membranes 2020, 10(9), 205; https://doi.org/10.3390/membranes10090205 - 28 Aug 2020
Cited by 53 | Viewed by 7338
Abstract
Benthic microbial fuel cells (BMFCs) are a kind of microbial fuel cell (MFC), distinguished by the absence of a membrane. BMFCs are an ecofriendly technology with a prominent role in renewable energy harvesting and the bioremediation of organic pollutants through electrogens. Electrogens act [...] Read more.
Benthic microbial fuel cells (BMFCs) are a kind of microbial fuel cell (MFC), distinguished by the absence of a membrane. BMFCs are an ecofriendly technology with a prominent role in renewable energy harvesting and the bioremediation of organic pollutants through electrogens. Electrogens act as catalysts to increase the rate of reaction in the anodic chamber, acting in electrons transfer to the cathode. This electron transfer towards the anode can either be direct or indirect using exoelectrogens by oxidizing organic matter. The performance of a BMFC also varies with the types of substrates used, which may be sugar molasses, sucrose, rice paddy, etc. This review presents insights into the use of BMFCs for the bioremediation of pollutants and for renewable energy production via different electron pathways. Full article
(This article belongs to the Special Issue Ionic Conductive Membranes for Fuel Cells)
Show Figures

Graphical abstract

15 pages, 2508 KB  
Article
Effect of Operating Parameters on the Performance Evaluation of Benthic Microbial Fuel Cells Using Sediments from the Bay of Campeche, Mexico
by Nancy González-Gamboa, Xochitl Domínguez-Benetton, Daniella Pacheco-Catalán, Sathish Kumar-Kamaraj, David Valdés-Lozano, Jorge Domínguez-Maldonado and Liliana Alzate-Gaviria
Sustainability 2018, 10(7), 2446; https://doi.org/10.3390/su10072446 - 13 Jul 2018
Cited by 14 | Viewed by 3533
Abstract
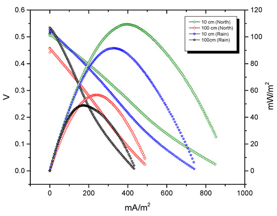
Benthic microbial fuel cells (BMFC) are devices that remove organic matter (OM) and generate energy from sediments rich in organic nutrients. They are composed of electrodes with adequate different distances and floating air cathodes in an aqueous medium with saturated oxygen. In this [...] Read more.
Benthic microbial fuel cells (BMFC) are devices that remove organic matter (OM) and generate energy from sediments rich in organic nutrients. They are composed of electrodes with adequate different distances and floating air cathodes in an aqueous medium with saturated oxygen. In this study we proposed to design, build, analyze and evaluate a set of BMFCs with floating air cathodes to test the optimal distance between the electrodes, using sediment from the Bay of Campeche as a substrate. For the analysis of OM removal, COD tests, volatile solids (VS), E4/E6 study and FTIR analysis were performed. Power generation was evaluated through polarization curves, cyclic voltammetry and electrochemical impedance spectroscopy (EIS). We achieved a current density and power density at 10 cm depth of 929.7 ± 9.5 mA/m2 and 109.6 ± 7.5 mW/m2 respectively, with 54% removal of OM from the sediment, obtaining formation of aliphatic structures. BMFCs are proposed as adequate systems for bioremediation and power generation. The system at 10 cm depth and 100 cm distance between sediment and the floating air cathode had a good performance and therefore the potential for possible scaling. Full article
Show Figures

Figure 1

Back to TopTop