Sign in to use this feature.

Years

Between: -

Subjects

remove_circle_outline
remove_circle_outline
remove_circle_outline
remove_circle_outline

Journals

Article Types

Countries / Regions

Search Results (4)

Search Parameters:
Keywords = bacterial reaction center (RC)

Order results
Result details
Results per page
Select all
Export citation of selected articles as:
16 pages, 4128 KB  
Article
Plasticity of Plantago lanceolata L. in Adaptation to Extreme Environmental Conditions
by Zbigniew Miszalski, Paweł Kaszycki, Marta Śliwa-Cebula, Adriana Kaczmarczyk, Miron Gieniec, Paulina Supel and Andrzej Kornaś
Int. J. Mol. Sci. 2023, 24(17), 13605; https://doi.org/10.3390/ijms241713605 - 2 Sep 2023
Cited by 9 | Viewed by 2789
Abstract
This study aimed at characterizing some adaptive changes in Plantago lanceolata L. exposed to harsh conditions of a desert-like environment generating physiological stress of limited water availability and exposure to strong light. It was clearly shown that the plants were capable of adapting [...] Read more.
This study aimed at characterizing some adaptive changes in Plantago lanceolata L. exposed to harsh conditions of a desert-like environment generating physiological stress of limited water availability and exposure to strong light. It was clearly shown that the plants were capable of adapting their root system and vascular tissues to enable efficient vegetative performance. Soil analyses, as well as nitrogen isotope discrimination data show that P. lanceolata leaves in a desert-like environment had better access to nitrogen (nitrite/nitrate) and were able to fix it efficiently, as compared to the plants growing in the surrounding forest. The arbuscular mycorrhiza was also shown to be well-developed, and this was accompanied by higher bacterial frequency in the root zone, which might further stimulate plant growth. A closer look at the nitrogen content and leaf veins with a higher number of vessels and a greater vessel diameter made it possible to define the changes developed by the plants populating sandy habitats as compared with the vegetation sites located in the nearby forest. A determination of the photosynthesis parameters indicates that the photochemical apparatus in P. lanceolata inhabiting the desert areas adapted slightly to the desert-like environment and the time of day, with some changes of the reaction center (RC) size (photosystem II, PSII), while the plants’ photochemical activity was at a similar level. No differences between the two groups of plants were observed in the dissipation of light energy. The exposure of plants to harsh conditions of a desert-like environment increased the water use efficiency (WUE) value in parallel with possible stimulation of the β-carboxylation pathway. Full article
(This article belongs to the Special Issue Drought Stress Tolerance in Plants in 2022)
Show Figures

Figure 1

14 pages, 3150 KB  
Article
Identification of a Ubiquinone–Ubiquinol Quinhydrone Complex in Bacterial Photosynthetic Membranes and Isolated Reaction Centers by Time-Resolved Infrared Spectroscopy
by Alberto Mezzetti, Jean-François Paul and Winfried Leibl
Int. J. Mol. Sci. 2023, 24(6), 5233; https://doi.org/10.3390/ijms24065233 - 9 Mar 2023
Cited by 3 | Viewed by 2368
Abstract
Ubiquinone redox chemistry is of fundamental importance in biochemistry, notably in bioenergetics. The bi-electronic reduction of ubiquinone to ubiquinol has been widely studied, including by Fourier transform infrared (FTIR) difference spectroscopy, in several systems. In this paper, we have recorded static and time-resolved [...] Read more.
Ubiquinone redox chemistry is of fundamental importance in biochemistry, notably in bioenergetics. The bi-electronic reduction of ubiquinone to ubiquinol has been widely studied, including by Fourier transform infrared (FTIR) difference spectroscopy, in several systems. In this paper, we have recorded static and time-resolved FTIR difference spectra reflecting light-induced ubiquinone reduction to ubiquinol in bacterial photosynthetic membranes and in detergent-isolated photosynthetic bacterial reaction centers. We found compelling evidence that in both systems under strong light illumination—and also in detergent-isolated reaction centers after two saturating flashes—a ubiquinone–ubiquinol charge-transfer quinhydrone complex, characterized by a characteristic band at ~1565 cm−1, can be formed. Quantum chemistry calculations confirmed that such a band is due to formation of a quinhydrone complex. We propose that the formation of such a complex takes place when Q and QH2 are forced, by spatial constraints, to share a common limited space as, for instance, in detergent micelles, or when an incoming quinone from the pool meets, in the channel for quinone/quinol exchange at the QB site, a quinol coming out. This latter situation can take place both in isolated and membrane bound reaction centers Possible consequences of the formation of this charge-transfer complex under physiological conditions are discussed. Full article
(This article belongs to the Special Issue Molecular Mechanisms of Natural and Artificial Photosynthesis 2.0)
Show Figures

Figure 1

23 pages, 3878 KB  
Article
Biocontrol Potential of Sclerotinia sclerotiorum and Physiological Changes in Soybean in Response to Butia archeri Palm Rhizobacteria
by Luciana Cristina Vitorino, Fellipe Oliveira da Silva, Bárbara Gonçalves Cruvinel, Layara Alexandre Bessa, Márcio Rosa, Edson Luiz Souchie and Fabiano Guimarães Silva
Plants 2020, 9(1), 64; https://doi.org/10.3390/plants9010064 - 3 Jan 2020
Cited by 19 | Viewed by 6090
Abstract
Sclerotinia sclerotiorum is a necrotrophic parasitic fungus that causes Sclerotinia stem rot (SSR), which is currently one of the most difficult agronomic crop diseases to control. A number of plants of the Brazilian Cerrado biome have been shown to be important sources of [...] Read more.
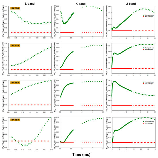
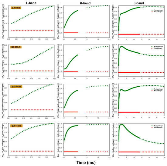
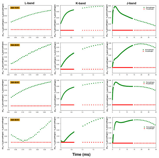
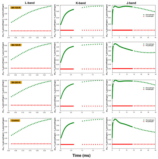
Sclerotinia sclerotiorum is a necrotrophic parasitic fungus that causes Sclerotinia stem rot (SSR), which is currently one of the most difficult agronomic crop diseases to control. A number of plants of the Brazilian Cerrado biome have been shown to be important sources of symbiotic microorganisms with biotechnological potential, so we decided to test the potential of bacteria isolated from the dwarf jelly palm, Butia archeri (Arecaceae) for the control of the pathogenic effects provoked by S. sclerotiorum. For this, we bioprimed seeds and evaluated the effects of this biopriming on the OJIP transient patterns prior to and following infection by the phytopathogen. Plants treated with the BA48R strain of Enterobacter sp., and in particular, those treated with the BA88R strain of Bacillus cereus presented the best results in terms of the loss/gain of the physiological and symptomatological variables evaluated. The plants bioprimed with BA88R presented high post-infection levels of total chlorophyll (33.35 FCIs) and chlorophyll a (26.39 FCIs), maintained a high Nitrogen Balance Index (NBI = 18.87), and synthesized low concentrations of flavonoids (1.39). These plants also maintained high levels of PIABS (1.111) and PITOTAL (1.300) following infection, and low levels of Di0/RC (0.602), which indicates that, in the presence S. sclerotiorum, the efficiency of the photosynthesis in the plants treated with these bacteria was less affected in the reaction centers, as confirmed by the negative amplitude recorded in the L band. The present study reconfirms the importance of the use of chlorophyll fluorescence for the diagnosis of disease and conditions of stress in crop plants, in addition to demonstrating the effectivenesss of the BA48R bacterial strain and, in particular, the BA88R strain on systemic resistance induction and suppression of S. sclerotiorum in Glycine max plants, with enormous potential for the development of more sustainable agricultural processes. Full article
Show Figures

Graphical abstract

8 pages, 218 KB  
Article
Bio-nanocomposite Photoelectrode Composed of the BacteriaPhotosynthetic Reaction Center Entrapped on a NanocrystallineTiO2 Matrix
by Yidong Lu, Yuan Liu, Jingjing Xu, Chunhe Xu, Baohong Liu and Jilie Kong
Sensors 2005, 5(4), 258-265; https://doi.org/10.3390/s5040258 - 4 May 2005
Cited by 18 | Viewed by 11417
Abstract
A new kind of bio-nanocomposite photoelectrode was fabricated through directimmobilization of the bacterial photosynthetic reaction center (RC) proteins on ananocrystalline TiO2 matrix prepared by anodic electrodeposition. The near-infrared (NIR)-visible absorption and fluorescence emission spectra displayed that structure and activity ofthe RC remained [...] Read more.
A new kind of bio-nanocomposite photoelectrode was fabricated through directimmobilization of the bacterial photosynthetic reaction center (RC) proteins on ananocrystalline TiO2 matrix prepared by anodic electrodeposition. The near-infrared (NIR)-visible absorption and fluorescence emission spectra displayed that structure and activity ofthe RC remained unaltered on the nano-TiO2 film surface. High efficient light-harvesting ofthe NIR light energy by RC contributed to the distinct enhancement of the photoelectricconversion on such nanoporous matrix, which would provide a new strategy to developversatile biomimic energy convertors or photoelectric sensors. Full article
(This article belongs to the Special Issue Papers presented at I3S2004, Nanjing)
Show Figures

Back to TopTop