Sign in to use this feature.

Years

Between: -

Subjects

remove_circle_outline
remove_circle_outline
remove_circle_outline
remove_circle_outline
remove_circle_outline

Journals

Article Types

Countries / Regions

Search Results (3)

Search Parameters:
Keywords = anionic bis-pyrazolyl-s-triazine

Order results
Result details
Results per page
Select all
Export citation of selected articles as:
11 pages, 1761 KB  
Article
A Novel Centrosymmetric Fe(III) Complex with Anionic Bis-pyrazolyl-s-triazine Ligand; Synthesis, Structural Investigations and Antimicrobial Evaluations
by Saied M. Soliman, Hessa H. Al-Rasheed, Sobhy E. Elsilk and Ayman El-Faham
Symmetry 2021, 13(7), 1247; https://doi.org/10.3390/sym13071247 - 12 Jul 2021
Cited by 7 | Viewed by 2130
Abstract
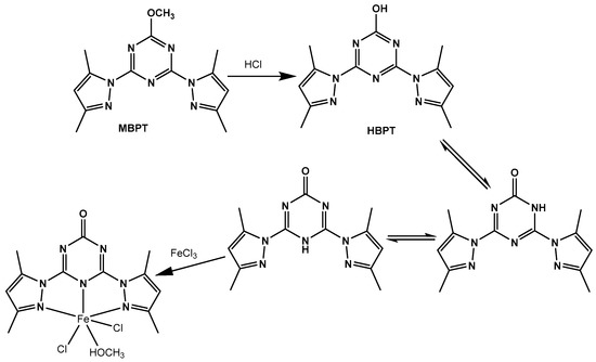
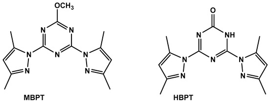
Reaction of 2,4-bis(3,5-dimethyl-1H-pyrazol-1-yl)-6-methoxy-1,3,5-triazine (MBPT) pincer ligand with FeCl3 in acidic medium (1:1 v/v) afforded the [Fe(BPT)Cl2(CH3OH)] complex of the hydrolyzed monobasic ligand: 4,6-bis(3,5-dimethyl-1H-pyrazol-1-yl)-1,3,5-triazin-2(1H)-one (HBPT). In [...] Read more.
Reaction of 2,4-bis(3,5-dimethyl-1H-pyrazol-1-yl)-6-methoxy-1,3,5-triazine (MBPT) pincer ligand with FeCl3 in acidic medium (1:1 v/v) afforded the [Fe(BPT)Cl2(CH3OH)] complex of the hydrolyzed monobasic ligand: 4,6-bis(3,5-dimethyl-1H-pyrazol-1-yl)-1,3,5-triazin-2(1H)-one (HBPT). In this complex, the Fe(III) ion is hexacoordinated with one anionic pincer ligand unit (BPT−1), two chloride ions, and one coordinated methanol molecule. It crystallized in the monoclinic crystal system and centrosymmetric P21/c space group with Z = 2 and unit cell parameters of a = 7.309(2) Å, b = 25.461(8) Å, c = 9.918(3) Å and β = 102.646(7)°. The structure of this complex is stabilized by C–H…Cl intramolecular hydrogen bonding interactions with donor acceptor distances ranging from 3.577(3)–3.609(3) Å while its supramolecular structure is controlled by intermolecular O–H…O, O–H…N, and C–H…Cl hydrogen bonding interactions. Hirshfeld analysis of molecular packing indicates that the percentages of the Cl…H, C…O, O…H, C…C, H…C, and N…H contacts are 21.1, 1.7, 10.2, 2.1, 8.6, and 10.4%, respectively. The nature and relative strength of the different coordination interactions in the [Fe(BPT)Cl2(CH3OH)] complex are discussed based on atoms in molecules theory. Antimicrobial evaluations indicated that the [Fe(BPT)Cl2(CH3OH)] complex showed moderate antibacterial and antifungal activities compared to amoxicillin and ampicillin antibiotics as standard drugs. Full article
Show Figures

Graphical abstract

17 pages, 3523 KB  
Article
Syntheses and Structural Investigations of Penta-Coordinated Co(II) Complexes with Bis-Pyrazolo-S-Triazine Pincer Ligands, and Evaluation of Their Antimicrobial and Antioxidant Activities
by Saied M. Soliman, Raghdaa A. Massoud, Hessa H. Al-Rasheed and Ayman El-Faham
Molecules 2021, 26(12), 3633; https://doi.org/10.3390/molecules26123633 - 14 Jun 2021
Cited by 10 | Viewed by 2742
Abstract
Two penta-coordinated [Co(MorphBPT)Cl2]; 1 and [Co(PipBPT)Cl2]; 2 complexes with the bis-pyrazolyl-s-triazine pincer ligands MorphBPT and PipBPT were synthesized and characterized. Both MorphBPT and PipBPT act as [...] Read more.
Two penta-coordinated [Co(MorphBPT)Cl2]; 1 and [Co(PipBPT)Cl2]; 2 complexes with the bis-pyrazolyl-s-triazine pincer ligands MorphBPT and PipBPT were synthesized and characterized. Both MorphBPT and PipBPT act as NNN-tridentate pincer chelates coordinating the Co(II) center with one short Co-N(s-triazine) and two longer Co-N(pyrazole) bonds. The coordination number of Co(II) is five in both complexes, and the geometry around Co(II) ion is a distorted square pyramidal in 1, while 2 shows more distortion. In both complexes, the packing is dominated by Cl…H, C-H…π, and Cl…C (anion-π stacking) interactions in addition to O…H interactions, which are found only in 1. The UV-Vis spectral band at 564 nm was assigned to metal–ligand charge transfer transitions based on TD-DFT calculations. Complexes 1 and 2 showed higher antimicrobial activity compared to the respective free ligand MorphBPT and PipBPT, which were not active. MIC values indicated that 2 had better activity against S. aureus, B. subtilis, and P. vulgaris than 1. DPPH free radical scavenging assay revealed that all the studied compounds showed weak to moderate antioxidant activity where the nature of the substituent at the s-triazine core has a significant impact on the antioxidant activity. Full article
Show Figures

Figure 1

13 pages, 2958 KB  
Article
Fe(III) Complexes Based on Mono- and Bis-pyrazolyl-s-triazine Ligands: Synthesis, Molecular Structure, Hirshfeld, and Antimicrobial Evaluations
by Saied M. Soliman, Hessa H. Al-Rasheed, Jörg H. Albering and Ayman El-Faham
Molecules 2020, 25(23), 5750; https://doi.org/10.3390/molecules25235750 - 5 Dec 2020
Cited by 16 | Viewed by 2843
Abstract
The self-assembly of iron(III) chloride with three pyrazolyl-s-triazine ligands, namely 2,4-bis(3,5-dimethyl-1H-pyrazol-1-yl)-6-(piperidin-1-yl)-1,3,5-triazine (PipBPT), 4-(4,6-bis(3,5-dimethyl-1H-pyrazol-1-yl)-1,3,5-triazin-2-yl)morpholine (MorphBPT), and 4,4’-(6-(3,5-dimethyl-1H-pyrazol-1-yl)-1,3,5-triazine-2,4-diyl)dimorpholine (bisMorphPT) afforded [Fe(PipBPT)Cl2][FeCl4] ( [...] Read more.
The self-assembly of iron(III) chloride with three pyrazolyl-s-triazine ligands, namely 2,4-bis(3,5-dimethyl-1H-pyrazol-1-yl)-6-(piperidin-1-yl)-1,3,5-triazine (PipBPT), 4-(4,6-bis(3,5-dimethyl-1H-pyrazol-1-yl)-1,3,5-triazin-2-yl)morpholine (MorphBPT), and 4,4’-(6-(3,5-dimethyl-1H-pyrazol-1-yl)-1,3,5-triazine-2,4-diyl)dimorpholine (bisMorphPT) afforded [Fe(PipBPT)Cl2][FeCl4] (1), [Fe(MorphBPT)Cl2][FeCl4] (2), and [H(bisMorphPT)][FeCl4]. bisMorphPT.2H2O (3), respectively, in good yield. In complexes 1 and 2, the Fe(III) is pentacoordinated with three Fe-N interactions from the pincer ligand and two coordinated chloride anions in the inner sphere, and FeCl4¯ in the outer sphere. Complex 3 is comprised of one protonated ligand as cationic part, one FeCl4¯ anion, and one neutral bisMorphPT molecule in addition to two crystallized water molecules. Analysis of molecular packing using Hirshfeld calculations indicated that H…H and Cl…H are the most important in the molecular packing. They comprised 40.1% and 37.4%, respectively in 1 and 32.4% and 37.8%, respectively in 2. Complex 1 exhibited the most bioactivity against the tested microbes while 3 had the lowest bioactivity. The bisMorphPT and MorphBPT were inactive towards the tested microbes while PipBPT was active. As a whole, the Fe(III) complexes have enhanced antibacterial and antifungal activities as compared to the free ligands. Full article
Show Figures

Figure 1

Back to TopTop