Sign in to use this feature.

Years

Between: -

Subjects

remove_circle_outline
remove_circle_outline
remove_circle_outline
remove_circle_outline
remove_circle_outline
remove_circle_outline
remove_circle_outline
remove_circle_outline
remove_circle_outline

Journals

Article Types

Countries / Regions

Search Results (33)

Search Parameters:
Keywords = TG/FTIR-GC/MS analysis

Order results
Result details
Results per page
Select all
Export citation of selected articles as:
19 pages, 3827 KB  
Article
Pyrolysis Kinetics and Gas Evolution of Flame-Retardant PVC and PE: A TG-FTIR-GC/MS Study
by Wen-Wei Su, Yang Li, Peng-Rui Man, Ya-Wen Sheng and Jian Wang
Fire 2025, 8(7), 262; https://doi.org/10.3390/fire8070262 - 30 Jun 2025
Cited by 3 | Viewed by 1924
Abstract
The insulation layer of flame-retardant cables plays a critical role in mitigating fire hazards by influencing toxic gas emissions and the accuracy of fire modeling. This study systematically explores the pyrolysis kinetics and volatile gas evolution of flame-retardant polyvinyl chloride (PVC) and polyethylene [...] Read more.
The insulation layer of flame-retardant cables plays a critical role in mitigating fire hazards by influencing toxic gas emissions and the accuracy of fire modeling. This study systematically explores the pyrolysis kinetics and volatile gas evolution of flame-retardant polyvinyl chloride (PVC) and polyethylene (PE) insulation materials using advanced TG-FTIR-GC/MS techniques. Distinct pyrolysis stages were identified through thermogravimetric analysis (TGA) at heating rates of 10–40 K/min, while the KAS model-free method and Málek fitting function quantified activation energies and reaction mechanisms. Results revealed that flame-retardant PVC undergoes two major stages: (1) dehydrochlorination, characterized by the rapid release of HCl and low activation energy, and (2) main-chain scission, producing aromatic compounds that contribute to fire toxicity. In contrast, flame-retardant PE demonstrates a more stable pyrolysis process dominated by random chain scission and the formation of a dense char layer, significantly enhancing its flame-retardant performance. FTIR and GC/MS analyses further highlighted distinct gas evolution behaviors: PVC primarily generates HCl and aromatic hydrocarbons, whereas PE releases olefins and alkanes with significantly lower toxicity. Additionally, the application of a classification and regression tree (CART) model accurately predicted mass loss behavior under various heating rates, achieving exceptional fitting accuracy (R2 > 0.98). This study provides critical insights into the pyrolysis mechanisms of flame-retardant cable insulation and offers a robust data framework for optimizing fire modeling and improving material design. Full article
Show Figures

Figure 1

21 pages, 3732 KB  
Article
Pyrolysis Characterization of Simulated Radioactive Solid Waste: Pyrolysis Behavior, Kinetics, and Product Distribution
by Zhigang Wei, Lulu Dong, Wei Wang, Pan Ding, Wenqian Jiang, Chi Zuo, Lei Li and Minghui Tang
Energies 2025, 18(9), 2341; https://doi.org/10.3390/en18092341 - 3 May 2025
Viewed by 979
Abstract
The disposal of low-level and intermediate-level radioactive solid waste has aroused widespread concern. In this work, the pyrolysis characterizations of simulated radioactive solid waste, cotton gloves (CG), stain removal cloths (SRC), plastic bags (PB), shoe covers (SC), and ion exchange resins (IER), were [...] Read more.
The disposal of low-level and intermediate-level radioactive solid waste has aroused widespread concern. In this work, the pyrolysis characterizations of simulated radioactive solid waste, cotton gloves (CG), stain removal cloths (SRC), plastic bags (PB), shoe covers (SC), and ion exchange resins (IER), were analyzed using thermogravimetric analysis, Thermogravimetric–Fourier Transform Infrared Spectrometry–Mass Spectrometry (TG-FTIR-MS) and Pyrolysis-Gas Chromatography/Mass Spectrometry (Py-GC/MS). The main mass loss stages of CG, SRC, PB, SC, and IER were 240–500 °C, 210–500 °C, 400–550 °C, 180–610 °C, and 25–700 °C, respectively. The average activation energies calculated by three iso-conversional methods were 184.09–211.46 kJ/mol, 172.33–180.85 kJ/mol, 264.63–268.01 kJ/mol, 150.49–184.36 kJ/mol, and 150.72–151.66 kJ/mol, respectively. Pyrolysis of CG and SRC mainly produced CO2 and oxygenated compounds. SC generated large amounts of HCl during pyrolysis. Combined with rapid pyrolysis analysis, it was shown that CG and SRC mainly produced carbohydrates, aliphatic hydrocarbons, and aromatics. The pyrolysis products of SC mainly consisted of aliphatic hydrocarbons, aromatics, and acids. The pyrolysis products of PB were mainly olefins and alcohols. IER produced large amounts of aromatics during rapid pyrolysis. Specifically, the pyrolysis of IER generated some SO2. This work provides a theoretical basis and data support for the treatment of mixed combustible radioactive waste. Full article
Show Figures

Figure 1

19 pages, 8934 KB  
Article
Chemical Recycling of Bio-Based Epoxy Matrices Based on Precursors Derived from Waste Flour: Recycled Polymers Characterization
by Lorena Saitta, Sandro Dattilo, Giuliana Rizzo, Claudio Tosto, Ignazio Blanco, Francesca Ferrari, Gloria Anna Carallo, Fabrizio Cafaro, Antonio Greco and Gianluca Cicala
Polymers 2025, 17(3), 335; https://doi.org/10.3390/polym17030335 - 26 Jan 2025
Cited by 4 | Viewed by 1864
Abstract
This study aims to investigate the chemical recycling of two different fully recyclable bio-based epoxy matrices based on epoxidized precursors derived from waste flour. The key for their recyclability relies on the use of a cleavable hardener. In fact, the latter contains a [...] Read more.
This study aims to investigate the chemical recycling of two different fully recyclable bio-based epoxy matrices based on epoxidized precursors derived from waste flour. The key for their recyclability relies on the use of a cleavable hardener. In fact, the latter contains a ketal group in its chemical structure, which is cleavable in mild acetic conditions, so allowing for the breakage of the cured network. The recyclability was successfully assessed for both the two investigated formulations, with a recycling process yield ranging from 80 up to 85%. The recycled polymers presented a Tg up to 69.0 ± 0.4 °C, determined by mean of DMA and DSC analysis. Next, the TGA revealed that the thermal decomposition of the specimens primarily occurred around 320 °C and attributed to the breaking of C–O and C–N bonds in cross-linked networks. In the end, the chemical characterizations were carried out by mean of Py-GC/MS, MALDI-TOF-MS and FT-IR ATR. In fact, these analyses allowed for investigating how the recycled polymer’s structure changed, starting from the initial epoxy systems. These insights on their chemical structure could further allow for identifying re-use strategies in accordance with a circular economy approach. Full article
Show Figures

Figure 1

19 pages, 4968 KB  
Article
Co-Pyrolysis of Plastic Waste and Lignin: A Pathway for Enhanced Hydrocarbon Recovery
by Vilmantė Kudelytė, Justas Eimontas, Rolandas Paulauskas and Nerijus Striūgas
Energies 2025, 18(2), 275; https://doi.org/10.3390/en18020275 - 9 Jan 2025
Cited by 5 | Viewed by 2364
Abstract
Various plastics and biomass wastes, such as polypropylene (PP), low- or high-density polyethylene (LDPE/HDPE), and lignin, have become some of the most concerning wastes nowadays. In this context, this study aimed to investigate the possibility of applying thermochemical processes for the valorization of [...] Read more.
Various plastics and biomass wastes, such as polypropylene (PP), low- or high-density polyethylene (LDPE/HDPE), and lignin, have become some of the most concerning wastes nowadays. In this context, this study aimed to investigate the possibility of applying thermochemical processes for the valorization of these materials. The experiments were carried out using a thermogravimetric analyzer on individual plastic and lignin samples and their mixtures at different mass ratios of 1:1, 1:2, 1:3, and 1:4. The gaseous products evolved during the pyrolysis process were analyzed by combined thermogravimetric and Fourier-transform infrared spectroscopy (TG-FTIR) and chromatography-mass spectrometry (Py-GC/MS) to analyze the functional groups and chemical composition of the obtained pyrolysis products. The results showed that the main functional groups of lignin monitored by TG-FTIR were aromatic and aliphatic hydrocarbons, while all plastics showed the same results for hydrocarbons. The investigation confirmed that mixing these types of plastics with lignin at different mass ratios led to increased recovery of higher-value-added products. Py-GC/MS analysis showed that the greatest results of compound recovery were achieved with lignin and LDPE/HDPE mixtures at 600 °C. At this temperature and with a mass ratio of 1:3, the plastic’s radicals enhanced the depolymerization of lignin, encouraging its wider decomposition to hydrocarbons that can be applied for the production of value-added chemicals and bio-based energy. Full article
Show Figures

Figure 1

21 pages, 11240 KB  
Article
Analysis of the Pyrolysis Kinetics, Reaction Mechanisms, and By-Products of Rice Husk and Rice Straw via TG-FTIR and Py-GC/MS
by Li Lin, Yang E, Qiang Sun, Yixuan Chen, Wanning Dai, Zhengrong Bao, Weisheng Niu and Jun Meng
Molecules 2025, 30(1), 10; https://doi.org/10.3390/molecules30010010 - 24 Dec 2024
Cited by 9 | Viewed by 3153
Abstract
This study employed thermogravimetric analysis (TGA), Fourier transform infrared spectroscopy (FTIR), and pyrolysis gas chromatography/mass spectrometry (Py-GC/MS) to characterize and provide insights into the pyrolysis behaviors and by-products of rice husk (RH) and rice straw (RS). The primary pyrolysis range is partitioned into [...] Read more.
This study employed thermogravimetric analysis (TGA), Fourier transform infrared spectroscopy (FTIR), and pyrolysis gas chromatography/mass spectrometry (Py-GC/MS) to characterize and provide insights into the pyrolysis behaviors and by-products of rice husk (RH) and rice straw (RS). The primary pyrolysis range is partitioned into three stages, designated as pseudo-hemicellulose, pseudo-cellulose, and pseudo-lignin pyrolysis, by an asymmetric bi-Gaussian function. The average activation energies of the three pseudo-components of RH were estimated by the Flynn–Wall–Ozawa and Starink methods to be 179.1 kJ/mol, 187.4 kJ/mol, and 239.3 kJ/mol, respectively. The corresponding values for RS were 171.8 kJ/mol, 185.8 kJ/mol, and 203.2 kJ/mol. The results of the model-fitting method indicated that the diffusion model is the most appropriate for describing the pseudo-hemicellulose reaction. The reaction of pseudo-cellulose and pseudo-lignin is most accurately described by a nucleation mechanism. An accelerated heating rate resulted in enhanced pyrolysis performance, with RS exhibiting superior performance to that of RH. RH produces 107 condensable pyrolysis by-products, with ketones, acids, and phenols representing the largest proportion; RS produces 135 species, with ketones, phenols, and alcohols as the main condensable by-products. These high-value added by-products have the potential to be utilized in a variety of applications within the agricultural, bioenergy, and chemical industries. Full article
(This article belongs to the Special Issue Chemistry of Lignin-Based Materials)
Show Figures

Figure 1

14 pages, 3652 KB  
Article
Composition Distribution of the Thermal Soluble Organics from Naomaohu Lignite and Structural Characteristics of the Corresponding Insoluble Portions
by Meixia Zhu, Yaya Ma, Wenlong Mo, Shihao Hao, Xianyong Wei, Xing Fan, Tiezhen Ren, Kongjun Ma and Jia Guo
Molecules 2024, 29(12), 2776; https://doi.org/10.3390/molecules29122776 - 11 Jun 2024
Viewed by 1357
Abstract
With cyclohexane (CH), benzene (BE), and ethyl acetate (EA) as solvents, Naomaohu lignite (NL, a typical oil-rich, low-rank coal) from Hami, Xinjiang, was thermally dissolved (TD) to obtain three types of soluble organics (NLCH, NLBE, and NLEA) [...] Read more.
With cyclohexane (CH), benzene (BE), and ethyl acetate (EA) as solvents, Naomaohu lignite (NL, a typical oil-rich, low-rank coal) from Hami, Xinjiang, was thermally dissolved (TD) to obtain three types of soluble organics (NLCH, NLBE, and NLEA) and the corresponding insoluble portions (NLCH-R, NLBE-R, and NLEA-R). Ultimate analysis, X-ray photoelectron spectroscopy (XPS), Fourier transform infrared spectroscopy (FTIR), thermogravimetric analysis (TG-DTG), and gas chromatography–mass spectrometry (GC/MS) were used to characterize NL and its soluble and insoluble portions. Results showed that, compared with NL, the C element in NLCH-R, NLBE-R, and NLEA-R increased, while the O element decreased significantly, indicating that thermal dissolution is a carbon enrichment process and an effective deoxidation method. The GC/MS results showed that oxygen-containing organic compounds (OCOCs) are dominant in NLCH, NLBE, and NLEA. NLCH is mainly composed of ketones (11.90%) and esters (19.04%), while NLBE and NLEA are composed of alcohols (12.18% and 2.42%, respectively) and esters (66.09% and 84.08%, respectively), with alkyl and aromatic acid esters as the main components. Among them, EA exhibits significant selective destruction for oxygen-containing functional groups in NL. XPS, FTIR, and TG-DTG results showed that thermal dissolution can not only affect the macromolecular network structure of NL, but also improve its pyrolysis reactivity. In short, thermal dissolution can effectively obtain oxygen-containing organic compounds from NL. Full article
Show Figures

Figure 1

12 pages, 3050 KB  
Article
Analytical Pyrolysis of Soluble Bio-Tar from Steam Pretreatment of Bamboo by Using TG–FTIR and Py–GC/MS
by Yongshun Feng, Xin Pan, Hui Qiao and Xiaowei Zhuang
Materials 2024, 17(9), 1985; https://doi.org/10.3390/ma17091985 - 25 Apr 2024
Cited by 2 | Viewed by 2326
Abstract
Steam pretreatment at high temperatures enables fresh bamboo to possess antifungal and antiseptic properties. The process produces a large amount of wastewater that urgently needs to be recycled. Soluble bio-tars derived from wastewater under low-temperature (LTS-tar) and high-temperature (HTS-tar) steam pretreatments of moso [...] Read more.
Steam pretreatment at high temperatures enables fresh bamboo to possess antifungal and antiseptic properties. The process produces a large amount of wastewater that urgently needs to be recycled. Soluble bio-tars derived from wastewater under low-temperature (LTS-tar) and high-temperature (HTS-tar) steam pretreatments of moso bamboo were studied with a thermogravimetric analyzer coupled with Fourier transform infrared spectroscopy (TG–FTIR) and pyrolysis–gas-chromatography/mass spectrometry (Py–GC/MS). Thermogravimetric analysis showed that in the three stages of the thermal decomposition process, the final residue of the bamboo and HTS-tar had two main peaks of 0.88 wt% and 6.85 wt%. The LTS-tar had much more complicated thermal decomposition behavior, with six steps and a high residue yield of 23.86 wt%. A large quantity of CH4 was observed at the maximum mass loss rates of the bamboo and bio-tars. Acids, aldehydes, ketones, esters, and phenolic compounds were found in the pyrolysis products of the bamboo and soluble bio-tars. Both bio-tars contained carbohydrates and lignin fragments, but the LTS-tar under mild steam conditions had more saccharides and was much more sensitive to temperature. The lignin in the bamboo degraded under harsh steam conditions, resulting in high aromatic and polymeric features for the HTS-tar. The significant differences between LTS-tar and HTS-tar require different techniques to achieve the resource utilization of wastewater in the bamboo industry. Full article
(This article belongs to the Section Biomaterials)
Show Figures

Graphical abstract

27 pages, 6252 KB  
Article
Characterization of Pyrolytic Tars Derived from Different Biomasses
by Paula Saires, Cindy Ariza Barraza, Melisa Bertero, Richard Pujro, Marisa Falco and Ulises Sedran
Processes 2024, 12(4), 817; https://doi.org/10.3390/pr12040817 - 18 Apr 2024
Cited by 5 | Viewed by 2887
Abstract
The pyrolysis of three different biomasses, rice husk (RH), zoita wood sawdust (ZW) and pine wood sawdust (PW), was studied at 500 °C in a multipurpose unit at the bench scale to determine the yields of the different products and the compositions and [...] Read more.
The pyrolysis of three different biomasses, rice husk (RH), zoita wood sawdust (ZW) and pine wood sawdust (PW), was studied at 500 °C in a multipurpose unit at the bench scale to determine the yields of the different products and the compositions and properties of the liquid products, with particular emphasis given to the alquitranous fractions (tars). It was possible to link the characteristics of the tars with the compositions of the raw biomasses and verify their potential in various applications. The analytical techniques employed in the characterization of biomasses included lignin, celulose and hemicellulose analysis, ultimate and proximate analysis and thermogravimetry–mass spectrometry analysis (TG-MS). Elemental analysis, gas chromatography–mass spectrometry (GC-MS), nuclear magnetic resonance spectroscopy (1H NMR), Fourier transform infrared spectroscopy (FTIR) and size exclusion chromatography (SEC) were used to characterize the tars. The tar yields were 1.8, 7.4 and 4.0 %wt. in the cases of RH, ZW and PW, respectively. The tars showed higher carbon content, between 60.3 and 62.2 %wt., and lower oxygen content, between 28.8 and 31.6 %wt., than the corresponding raw biomasses. The main components of the tars had aromatic bases, with phenols representing more than 50%. Tar RH included more guaiacols, while Tars ZW and PW included more phenols and alkylated phenols. Full article
Show Figures

Figure 1

20 pages, 4334 KB  
Article
Isobornyl and Isocamphyl Photostabilizers in Poly(lactic acid)-Based Electrospun Fibers
by Vladimir Belyi, Ivan M. Kuzivanov, Irina Fedorova, Olga A. Shumova, Nikita Paderin, Pavel A. Markov, Ilya I. Pikovskoi, Irina Yu. Chukicheva and Alexander V. Kutchin
Polymers 2024, 16(6), 855; https://doi.org/10.3390/polym16060855 - 20 Mar 2024
Viewed by 1588
Abstract
In this work, electrospun polylactide fibers with new photostabilizing additives, 4-methyl-2,6-diisobornylphenol (DIBP) and N-isocamphylaniline (NICA), have been tested under the influence of UV-C radiation (254 nm). The changes in the polymers’ chemical structure under UV-C radiation were revealed through the increase in absorption [...] Read more.
In this work, electrospun polylactide fibers with new photostabilizing additives, 4-methyl-2,6-diisobornylphenol (DIBP) and N-isocamphylaniline (NICA), have been tested under the influence of UV-C radiation (254 nm). The changes in the polymers’ chemical structure under UV-C radiation were revealed through the increase in absorption in the 3600–3100 cm−1 region in regard to the FTIR spectra. In the samples that were irradiated for 1 h, the stabilizing effect of the photoprotectors became most noticeable as the difference in the content of the hydroxyl groups in stabilized and the pure PLA reached a maximum. The TG–DSC method revealed that the most sensitive indicator of the irradiation effect was the glass transition temperature (Tg), which persisted after 2 h of irradiation when using photostabilizers and their combinations. The PLA/DIBP(1) and PLA/NICA(1) samples showed the best results in protecting PLA from UV-C radiation based on the Tg values; although, the mixture of DIBP and NICA was not as effective. The chemical structure of the photostabilized PLA samples was studied using NMR, GPC, and Py–GC/MS analysis. The electrospun polylactide fibers were mechanically tested and the effects of the electrospun samples on cell viability were studied. Full article
(This article belongs to the Special Issue Preparation and Properties of Polymer Materials from Biomass)
Show Figures

Figure 1

18 pages, 15834 KB  
Article
Utilization of Waste Straw Biomass in Suspension Magnetization Roasting of Refractory Iron Ore: Iron Recovery, Gas Analysis and Roasted Product Characterization
by Yue Cao, Yongsheng Sun, Peng Gao and Wenbo Li
Sustainability 2023, 15(22), 15730; https://doi.org/10.3390/su152215730 - 8 Nov 2023
Cited by 7 | Viewed by 1976
Abstract
The straw-type biomass, as a green and alternative reductant for the suspension magnetization roasting (SMR) of iron ores, is proposed. The roasted products are investigated at a roasting temperature of 750 °C, the roasting time of 7.5 min and the biomass dose of [...] Read more.
The straw-type biomass, as a green and alternative reductant for the suspension magnetization roasting (SMR) of iron ores, is proposed. The roasted products are investigated at a roasting temperature of 750 °C, the roasting time of 7.5 min and the biomass dose of 25%. The iron phase results indicate that hematite ores were reduced to magnetite by the biomass, and the magnetization transformation increased from 0.64 A·m2·g−1 to 36.93 A·m2·g−1. The iron ore microstructure evolutions of holes and fissures are detected by SEM-EDS. The biomass pyrolyzed to form CO2, CO, CH4, H2O, H2, C=O, benzene skeleton, C-Hand C-O compounds at 200–450 °C, while the mass loss of the magnetization roasting process occurred at 450–750 °C by using TG-FTIR. The GC/MS results showed that the organic gases preferred to produce the O-heterocycles at 329 °C while the hydrocarbons were dominant at the high temperature of 820 °C for the hematite ore and biomass mixture. The gas composition analysis explained that the reducing gaseous products (CO, CH4 and H2) were used as a reductant and consumed obviously by hematite ore in the SMR process. The innovative utilization of biomass waste was effective for iron recovery of hematite ore and contributes to the reduction of greenhouse gases and the protection of the environment. Full article
(This article belongs to the Section Waste and Recycling)
Show Figures

Figure 1

17 pages, 3532 KB  
Article
Pyrolysis Kinetic Behavior and Thermodynamic Analysis of PET Nonwoven Fabric
by Samy Yousef, Justas Eimontas, Nerijus Striūgas, Alaa Mohamed and Mohammed Ali Abdelnaby
Materials 2023, 16(18), 6079; https://doi.org/10.3390/ma16186079 - 5 Sep 2023
Cited by 26 | Viewed by 4125
Abstract
This research aims to maximize polyethylene terephthalate (PET) nonwoven fabric waste and make it as a new source for benzoic acid extraction using a pyrolysis process. The treatment was performed using a thermogravimetric analyzer (TGA) and released products were characterized using FTIR spectroscopy [...] Read more.
This research aims to maximize polyethylene terephthalate (PET) nonwoven fabric waste and make it as a new source for benzoic acid extraction using a pyrolysis process. The treatment was performed using a thermogravimetric analyzer (TGA) and released products were characterized using FTIR spectroscopy and gas chromatography–mass spectrometry (GC–MS). The pyrolysis kinetic and thermodynamic behavior of PET fabric was also studied and simulated using different linear and nonlinear models. The results show that the PET fabric is very rich in volatile matter (80 wt.%) and can completely degrade under 490 °C with a weight loss of 84%. Meanwhile, the generated vapor was rich in the carbonylic C=O functional group (FTIR), and the GC–MS analysis concluded that benzoic acid was the major compound with an abundance of 75% that was achieved at the lowest heating rate (5 °C/min). The linear kinetic results showed that PET samples had an activation energy in the ranges of 193–256 kJ/mol (linear models) and ~161 kJ/mol (nonlinear models). The thermodynamic parameters, including enthalpy, Gibbs free energy, and entropy, were estimated in the ranges of 149–250 kJ/mol, 153–232 kJ/mol, and 256–356 J/mol K, respectively. Accordingly, pyrolysis treatment can be used to extract benzoic acid from PET fabric waste with a 134% increase in the benzoic acid abundance that can be recovered from PET bottle plastic waste. Full article
Show Figures

Figure 1

15 pages, 2822 KB  
Article
Modification of a Marine Pine Kraft Lignin Sample by Enzymatic Treatment with a Pycnoporus cinnabarinus Laccase
by Sona Malric-Garajova, Florian Fortuna, Florian Pion, Elise Martin, Adithya Raveendran Thottathil, Audrey Guillemain, Annick Doan, Anne Lomascolo, Craig B. Faulds, Stéphanie Baumberger, Laurence Foulon, Brigitte Chabbert, Hélène de Baynast, Pascal Dubessay, Fabrice Audonnet, Emmanuel Bertrand, Giuliano Sciara, Sandra Tapin-Lingua, Paul-Henri Ducrot, Philippe Michaud, Véronique Aguié-Béghin and Eric Recordadd Show full author list remove Hide full author list
Molecules 2023, 28(12), 4873; https://doi.org/10.3390/molecules28124873 - 20 Jun 2023
Cited by 4 | Viewed by 2539
Abstract
Here, we report work on developing an enzymatic process to improve the functionalities of industrial lignin. A kraft lignin sample prepared from marine pine was treated with the high-redox-potential laccase from the basidiomycete fungus Pycnoporus cinnabarinus at three different concentrations and pH conditions, [...] Read more.
Here, we report work on developing an enzymatic process to improve the functionalities of industrial lignin. A kraft lignin sample prepared from marine pine was treated with the high-redox-potential laccase from the basidiomycete fungus Pycnoporus cinnabarinus at three different concentrations and pH conditions, and with and without the chemical mediator 1-hydroxybenzotriazole (HBT). Laccase activity was tested in the presence and absence of kraft lignin. The optimum pH of PciLac was initially 4.0 in the presence and absence of lignin, but at incubation times over 6 h, higher activities were found at pH 4.5 in the presence of lignin. Structural changes in lignin were investigated by Fourier-transform infrared spectroscopy (FTIR) with differential scanning calorimetry (DSC), and solvent-extractable fractions were analyzed using high-performance size-exclusion chromatography (HPSEC) and gas chromatography–mass spectrometry (GC–MS). The FTIR spectral data were analyzed with two successive multivariate series using principal component analysis (PCA) and ANOVA statistical analysis to identify the best conditions for the largest range of chemical modifications. DSC combined with modulated DSC (MDSC) revealed that the greatest effect on glass transition temperature (Tg) was obtained at 130 U g cm−1 and pH 4.5, with the laccase alone or combined with HBT. HPSEC data suggested that the laccase treatments led to concomitant phenomena of oligomerization and depolymerization, and GC–MS revealed that the reactivity of the extractable phenolic monomers depended on the conditions tested. This study demonstrates that P. cinnabarinus laccase can be used to modify marine pine kraft lignin, and that the set of analytical methods implemented here provides a valuable tool for screening enzymatic treatment conditions. Full article
Show Figures

Figure 1

25 pages, 2615 KB  
Review
Coupled and Simultaneous Thermal Analysis Techniques in the Study of Pharmaceuticals
by Marek Wesolowski and Edyta Leyk
Pharmaceutics 2023, 15(6), 1596; https://doi.org/10.3390/pharmaceutics15061596 - 25 May 2023
Cited by 27 | Viewed by 6895
Abstract
Reliable interpretation of the changes occurring in the samples during their heating is ensured by using more than one measurement technique. This is related to the necessity of eliminating the uncertainty resulting from the interpretation of data obtained by two or more single [...] Read more.
Reliable interpretation of the changes occurring in the samples during their heating is ensured by using more than one measurement technique. This is related to the necessity of eliminating the uncertainty resulting from the interpretation of data obtained by two or more single techniques based on the study of several samples analyzed at different times. Accordingly, the purpose of this paper is to briefly characterize thermal analysis techniques coupled to non-thermal techniques, most often spectroscopic or chromatographic. The design of coupled thermogravimetry (TG) with Fourier transform infrared spectroscopy (FTIR), TG with mass spectrometry (MS) and TG with gas chromatography/mass spectrometry (GC/MS) systems and the principles of measurement are discussed. Using medicinal substances as examples, the key importance of coupled techniques in pharmaceutical technology is pointed out. They make it possible not only to know precisely the behavior of medicinal substances during heating and to identify volatile degradation products, but also to determine the mechanism of thermal decomposition. The data obtained make it possible to predict the behavior of medicinal substances during the manufacture of pharmaceutical preparations and determine their shelf life and storage conditions. Additionally, characterized are design solutions that support the interpretation of differential scanning calorimetry (DSC) curves based on observation of the samples during heating or based on simultaneous registration of FTIR spectra and X-ray diffractograms (XRD). This is important because DSC is an inherently non-specific technique. For this reason, individual phase transitions cannot be distinguished from each other based on DSC curves, and supporting techniques are required to interpret them correctly. Full article
Show Figures

Graphical abstract

13 pages, 9767 KB  
Article
Real-Time Pyrolysis Dynamics of Thermally Aged Tire Microplastics by TGA-FTIR-GC/MS
by Guangteng Bai, Juyang Fu, Qian Zhou and Xiangliang Pan
Water 2023, 15(10), 1944; https://doi.org/10.3390/w15101944 - 21 May 2023
Cited by 11 | Viewed by 4551
Abstract
Tire wear particles (TWPs), as a type of thermosetting microplastic (MP), accumulate in aquatic environments due to their wide application in road traffic globally. The increase in temperature because of friction heat may cause aging of tire materials, inducing water evaporation, additive volatilization, [...] Read more.
Tire wear particles (TWPs), as a type of thermosetting microplastic (MP), accumulate in aquatic environments due to their wide application in road traffic globally. The increase in temperature because of friction heat may cause aging of tire materials, inducing water evaporation, additive volatilization, polymer decomposition, and may pose serious potential risks to aquatic and terrestrial ecosystems. However, research on real-time pyrolysis dynamics of thermally aged tire MPs is very limited. In this study, a thermogravimetric analyzer coupled with Fourier transform infrared spectrometry and gas chromatography-mass spectrometry (TG-FTIR-GC/MS) was used to investigate pyrolysis behaviors and products of thermally aged tire MPs. FTIR analysis indicated that the main pyrolysis gases included carbon dioxide, carbon monoxide, aliphatic compounds, aromatic compounds and carbonyl compounds. The GC/MS analysis further determined the main pyrolytic products, including methylbenzene, styrene, m-xylene and D-limonene. These data combined with TG analysis revealed that the main pyrolytic products of TWPs were released at 400–600 °C. Moreover, the results showed that the number of aliphatic/aromatic compounds released increased in short-term thermo-oxidative aging but decreased in long-term thermo-oxidative aging. Moreover, the aged TWPs presented higher released amounts of styrene and methylbenzene but lower amounts of D-limonene compared to the original TWPs. These results can provide new insights into the evaluation method of TWP aging and a better understanding on TWP fate in aquatic and terrestrial environments. Full article
(This article belongs to the Special Issue Microplastics Pollution and Solutions)
Show Figures

Figure 1

13 pages, 3964 KB  
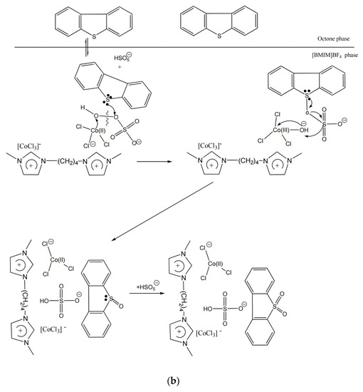
Article
Preparation of di-[EMIM]CoCl3 Ionic Liquid Catalyst and Coupling with Oxone for Desulfurization at Room Temperature
by Shaokang Wang and Hang Xu
Catalysts 2023, 13(2), 410; https://doi.org/10.3390/catal13020410 - 15 Feb 2023
Viewed by 2255
Abstract
The intermediate di-[EMIM]Cl was synthesized from methyl imidazole and 1,4-dichlorobutane and then reacted with cobalt chloride at 105 °C to prepare a bi-[EMIM]CoCl3 ionic liquid catalyst. The di-[EMIM]CoCl3 catalyst coupled with oxone to remove sulfur-containing organics in octane. The di-[EMIM]CoCl3 [...] Read more.
The intermediate di-[EMIM]Cl was synthesized from methyl imidazole and 1,4-dichlorobutane and then reacted with cobalt chloride at 105 °C to prepare a bi-[EMIM]CoCl3 ionic liquid catalyst. The di-[EMIM]CoCl3 catalyst coupled with oxone to remove sulfur-containing organics in octane. The di-[EMIM]CoCl3 catalyst was characterized by HNMR, FTIR, TG, and SEM–EDS. The dibenzothiophene (DBT) was dissolved in octane to prepare a model oil with an initial sulfur content of 500 ppm. Six grams of the model oil was added. The results showed that the optimal dosages of di-[EMIM]CoCl3, oxone (20 wt%), and [BMIM]BF4 extractant were 1 g, 2 g, and 2 g, respectively. At the optimum temperature of 45 °C, 100% of sulfur was removed after 40 min. After di-[EMIM]CoCl3 was recycled five times, the sulfur removal percentage remained above 91%. The sulfur removal percentages for different sulfur-containing organics followed the order of dibenzothiophene (DBT) > benzothiophene (BT) > 4,6-dimethyldibenzothiophene (4,6-DMDBT). The oxidation product was determined to be DBTO2 by GC–MS analysis, and the oxidation mechanism was discussed. The active oxygen atoms of oxone oxidized DBT to form DBTO, and then persulfate oxidized DBTO to DBTO2 via an identical oxidation mechanism. Full article
(This article belongs to the Section Catalysis for Sustainable Energy)
Show Figures

Graphical abstract

Back to TopTop