Sign in to use this feature.

Years

Between: -

Subjects

remove_circle_outline
remove_circle_outline
remove_circle_outline
remove_circle_outline
remove_circle_outline

Journals

Article Types

Countries / Regions

Search Results (2)

Search Parameters:
Keywords = Seseli devenyense

Order results
Result details
Results per page
Select all
Export citation of selected articles as:
11 pages, 272 KB  
Article
Volatiles from Selected Apiaceae Species Cultivated in Poland—Antimicrobial Activities
by Jaroslaw Widelski, Konstantia Graikou, Christos Ganos, Krystyna Skalicka-Wozniak and Ioanna Chinou
Processes 2021, 9(4), 695; https://doi.org/10.3390/pr9040695 - 15 Apr 2021
Cited by 17 | Viewed by 2846
Abstract
As part of our ongoing research on phytoconstituents that can act as promising antimicrobial agents, the essential oils of nine selected Apiaceae plants, cultivated in Poland, were studied. The volatiles of the aerial parts with fruits (herba cum fructi) of Silaum [...] Read more.
As part of our ongoing research on phytoconstituents that can act as promising antimicrobial agents, the essential oils of nine selected Apiaceae plants, cultivated in Poland, were studied. The volatiles of the aerial parts with fruits (herba cum fructi) of Silaum silaus, Seseli devenyense, Seseli libanotis,Ferula assa-foetida, Glehnia littoralis and Heracleum dulce, in addition to the fruits (fructi) of Torilis japonica and Orlaya grandiflora as well as of the aerial parts (herba) of Peucedanum luxurians were investigated through Gas Chromatography–Mass Spectrometry to identify more than 60 different metabolites. The essential oils from S. devenyense, H. dulce, T. japonica and P. luxurians are reported for the first time. All examined species were also assayed for their antimicrobial activities against several human pathogenic Gram-positive and -negative bacteria and fungi. The species H. dulce, S. devenyense and S. libanotis exerted the strongest antimicrobial activity, mostly against Gram-positive bacteria strains (MIC values 0.90–1.20 mg/mL). To the best of our knowledge, this is the first attempt to determine the antimicrobial activity of the above Apiaceae species. Full article
21 pages, 1521 KB  
Article
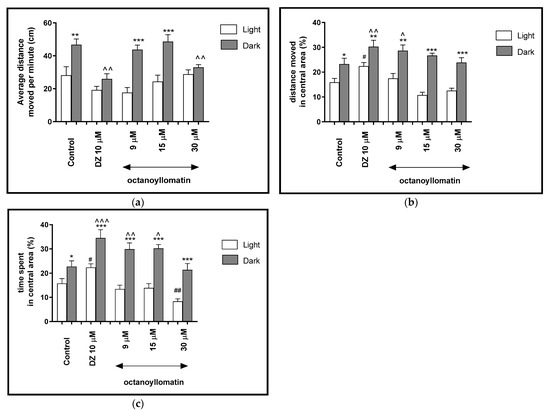
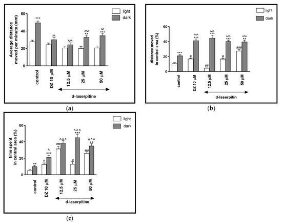
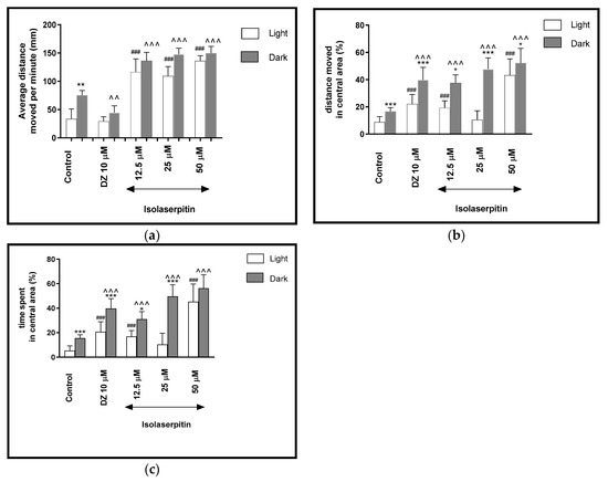
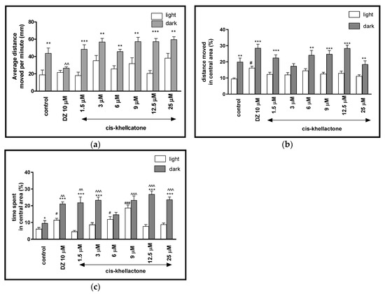
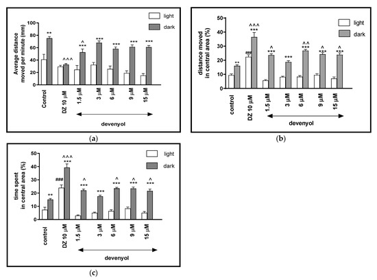
Coumarins from Seseli devenyense Simonk.: Isolation by Liquid–Liquid Chromatography and Potential Anxiolytic Activity Using an In Vivo Zebrafish Larvae Model
by Jarosław Widelski, Simon Vlad Luca, Adrianna Skiba, Monika Maciąg, Barbara Budzyńska, Laurence Marcourt, Jean-Luc Wolfender and Krystyna Skalicka-Woźniak
Int. J. Mol. Sci. 2021, 22(4), 1829; https://doi.org/10.3390/ijms22041829 - 12 Feb 2021
Cited by 16 | Viewed by 3391
Abstract
Different types of anxiety disorders have become the number one mental health issue in developed countries. The search for new, safer and effective drug-like molecules among naturally derived substances faces two difficulties: an efficient method of isolation compounds with a high-purity and high-throughput [...] Read more.
Different types of anxiety disorders have become the number one mental health issue in developed countries. The search for new, safer and effective drug-like molecules among naturally derived substances faces two difficulties: an efficient method of isolation compounds with a high-purity and high-throughput animal model for activity assay. Thus, the aim of the present study was to isolate by liquid–liquid chromatography high-purity rare coumarins from the fruits of Seseli devenyense Simonk. and evaluate their anxiolytic effect (defined as reversed thimotaxis) using a 5-days post-fertilization (dpf) Danio rerio larvae model. Liquid–liquid chromatography enabled the isolation of one simple hydroxycoumarin (devenyol) and four pyranocoumarins (cis-khellactone, d-laserpitin, isolaserpitin and octanoyllomatin). The anxiolytic effect was defined as a decrease in the time spent in the boundaries of the living space (also described as reversed thigmotaxis). Our results show that all isolated courmarins exerted a significant influence on the anxiety behavior (anxiolytic activity) in the zebrafish larvae model. According to our knowledge, this is the first report of anxiolytic activity of pyranocoumarins and devenyol. Full article
(This article belongs to the Section Biochemistry)
Show Figures

Figure 1

Back to TopTop