Due to scheduled maintenance work on our servers, there may be short service disruptions on this website between 11:00 and 12:00 CEST on March 28th.
Sign in to use this feature.

Years

Between: -

Subjects

remove_circle_outline
remove_circle_outline
remove_circle_outline
remove_circle_outline
remove_circle_outline

Journals

Article Types

Countries / Regions

Search Results (5)

Search Parameters:
Keywords = QMSIW

Order results
Result details
Results per page
Select all
Export citation of selected articles as:
11 pages, 19799 KB  
Article
Miniaturized Hybrid Filter Using Capacitive-Loaded QMSIW and Stripline Resonators
by Luyao Tang, Wei Han, Hao Wei and Yanbin Li
Electronics 2024, 13(24), 5016; https://doi.org/10.3390/electronics13245016 - 20 Dec 2024
Viewed by 4888
Abstract
In this paper, a compact capacitive-loaded quarter-mode substrate integrated waveguide (CL-QMSIW) resonator is proposed and analyzed. This resonator is created by loading a metal–insulator–metal (MIM) capacitor inside the QMSIW resonator. A miniaturized hybrid bandpass filter with deep stopband suppression is designed based on [...] Read more.
In this paper, a compact capacitive-loaded quarter-mode substrate integrated waveguide (CL-QMSIW) resonator is proposed and analyzed. This resonator is created by loading a metal–insulator–metal (MIM) capacitor inside the QMSIW resonator. A miniaturized hybrid bandpass filter with deep stopband suppression is designed based on the CL-QMSIW resonator and the stripline resonator. The filter generates a transmission zero (TZ) that can be adjusted flexibly through cross-coupling in its lower stopband, which significantly enhances the filter’s selectivity. To verify the correctness of the proposed filter, a third-order filter was created and produced, utilizing the low-temperature co-fired ceramics (LTCC) technique. The measurement outcomes align with the results from the electromagnetic simulations. The filter is characterized by a center frequency of 7 GHz, while the core size is only 0.33λg×0.17λg, and the lowest insertion loss (IL) within the band is 1.4 dB, achieving a TZ at 5.1 GHz. The proposed filter features a compact dimension, excellent selectivity, and low insertion loss. Full article
(This article belongs to the Special Issue Microwave Devices and Their Applications)
Show Figures

Figure 1

23 pages, 10230 KB  
Article
Compact and Hybrid Dual-Band Bandpass Filter Using Folded Multimode Resonators and Second-Mode Suppression
by Nicolas Claus, Kamil Yavuz Kapusuz, Jo Verhaevert and Hendrik Rogier
Electronics 2024, 13(10), 1921; https://doi.org/10.3390/electronics13101921 - 14 May 2024
Cited by 8 | Viewed by 2446
Abstract
The proliferation of the Internet of Things (IoT) propels the continuous demand for compact, low-cost, and high-performance multiband filters. This paper introduces a novel low-profile dual-band bandpass filter (BPF) constructed with a back-to-back coupled pair of shielded folded quarter-mode substrate integrated waveguide (SF-QMSIW) [...] Read more.
The proliferation of the Internet of Things (IoT) propels the continuous demand for compact, low-cost, and high-performance multiband filters. This paper introduces a novel low-profile dual-band bandpass filter (BPF) constructed with a back-to-back coupled pair of shielded folded quarter-mode substrate integrated waveguide (SF-QMSIW) multimode cavities. A hybrid structure is obtained by etching a coplanar waveguide (CPW) coupling line in the folded cavity’s septum layer. It serves multiple functions: generating an additional resonance, providing a separate coupling mechanism for the upper passband, and offering the flexibility to control the passbands’ center frequency ratio. Additionally, the unused second higher-order mode is suppressed by integrating embedded split-ring resonators (ESRRs) with an inter-digital capacitor (IDC) structure into the feed lines. A filter prototype has been fabricated and experimentally tested. The measurements confirmed reliable operation in two passbands having center frequencies 3.6 GHz and 5.8 GHz, and exhibiting 3 dB fractional bandwidths (FBWs) of 6.4% and 5.3%, respectively. Furthermore, the group delay variation within both passbands equals only 0.62 ns and 1.00 ns, respectively. Owing to the second higher-order mode suppression, the filter demonstrated an inter-band rejection exceeding 38 dB, within a compact footprint of 0.71λg2 (with λg being the guided wavelength at the lower passband’s center frequency). Full article
(This article belongs to the Section Microwave and Wireless Communications)
Show Figures

Figure 1

20 pages, 8958 KB  
Article
A Quad-Band Shared-Aperture Antenna Based on Dual-Mode Composite Quarter-Mode SIW Cavity for 5G and 6G with MIMO Capability
by Amjaad T. Altakhaineh, Saqer S. Alja’afreh, Aser M. Almatarneh, Eqab Almajali, Luae Al-Tarawneh and Jawad Yousaf
Electronics 2023, 12(11), 2480; https://doi.org/10.3390/electronics12112480 - 31 May 2023
Cited by 21 | Viewed by 3556
Abstract
This study introduces a new design for an ultra-compact shared-aperture antenna utilizing a quarter-mode substrate integrated waveguide (QMSIW) cavity. The proposed antenna operates as a 4 × 4 multi-input multi-output (MIMO) system in three 5G/6G millimeter-wave (MMw) bands, while functioning as a single [...] Read more.
This study introduces a new design for an ultra-compact shared-aperture antenna utilizing a quarter-mode substrate integrated waveguide (QMSIW) cavity. The proposed antenna operates as a 4 × 4 multi-input multi-output (MIMO) system in three 5G/6G millimeter-wave (MMw) bands, while functioning as a single element antenna for a 5.5 GHz wireless fidelity Microwave (Mw) band. The antenna comprises four QMSIW cavity resonators; each QMSIW is loaded with dual slots to produce tri-band MMw operation at 28 GHz, 38 GHz, and 0.13 THz. The four cavities are arranged to reuse the entire aperture by creating a conventional open-loop antenna that operates at a frequency of 5.5 GHz. Simulation, measurement, and co-simulation results show that the proposed antenna has a quad-band operation and exhibits favorable characteristics. The measured scattering parameters validate the simulated ones over the four bands under consideration. The lowest values of the measured total radiation efficiencies are 80%, 73%, 62%, and 72% (co-simulation) within the four covered bands, respectively. The antenna peak gains are 1.8 to 1.85 dBi, 4.0 to 4.5 dBi, 4.3 to 4.5 dBi, and 6.5 to 6.6 dBi within the covered bands. Furthermore, the design satisfies MIMO and diversity conditions (envelope correlation coefficient and branch power ratio) over frequency bands of operation. All excellent results are achieved from an ultra-compact size in terms of footprint area (0.018λ02), where λ0 represents the free space wavelength at 5.5 GHz. The antenna boasts an excellent reuse aperture utilization efficiency (RAU) of 92% and a large ratio frequency of 23, making it an ideal candidate for compact devices. With its superior performance, the proposed design is well-suited for a range ofs wireless communication systems, including mobile devices and the Internet of Things. Full article
(This article belongs to the Special Issue Advanced Antenna Design for 5G and beyond Communications)
Show Figures

Figure 1

9 pages, 5159 KB  
Article
Low-Profile VHF Antenna Based on Quarter-Mode Substrate-Integrated Waveguide Structure
by Jae-Young Chung and Geown Yih
Appl. Sci. 2022, 12(18), 8973; https://doi.org/10.3390/app12188973 - 7 Sep 2022
Cited by 2 | Viewed by 3321
Abstract
A traditional whip antenna is suitable for terrestrial wireless communication due to its omnidirectional radiation pattern which is capable of transmitting and receiving signals from all directions. However, the length of a whip antenna is long for the very high frequency (VHF) band [...] Read more.
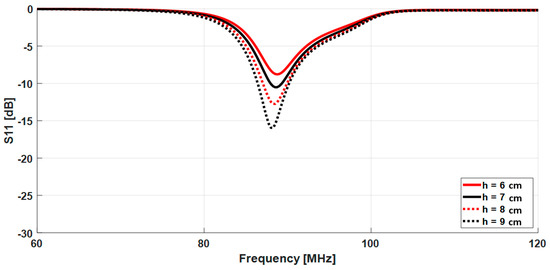
A traditional whip antenna is suitable for terrestrial wireless communication due to its omnidirectional radiation pattern which is capable of transmitting and receiving signals from all directions. However, the length of a whip antenna is long for the very high frequency (VHF) band applications; for example, the ideal length is 80 cm at 90 MHz, which restrains the mobility when mounted on a vehicle. Many studies have been conducted to develop a low-profile antenna that can substitute a whip antenna but most of them are for relatively high frequency (GHz) applications. In this paper, a planar low-profile antenna operating in the VHF band is proposed. The height of the antenna is only 9 cm by utilizing a quarter-mode substrate-integrated waveguide (QMSIW) structure with shorting pins at the edges. The latter promotes omnidirectional radiations despite its short height. The antenna design was optimized by 3D full-wave simulation software. Subsequently, an antenna prototype was fabricated and tested. The results demonstrated that the antenna resonated at 86 MHz with a maximum gain of 1.7 dB along the azimuth direction. Full article
(This article belongs to the Section Electrical, Electronics and Communications Engineering)
Show Figures

Figure 1

10 pages, 4702 KB  
Article
Frequency-Switchable Microfluidic CSRR-Loaded QMSIW Band-Pass Filter Using a Liquid Metal Alloy
by Seunghyun Eom, Muhammad Usman Memon and Sungjoon Lim
Sensors 2017, 17(4), 699; https://doi.org/10.3390/s17040699 - 28 Mar 2017
Cited by 21 | Viewed by 7344
Abstract
In this paper, we have proposed a frequency-switchable complementary split-ring resonator (CSRR)-loaded quarter-mode substrate-integrated-waveguide (QMSIW) band-pass filter. For frequency switching, a microfluidic channel and liquid metal are used. The liquid metal used is eutectic gallium-indium (EGaIn), consisting of 24.5% indium and 75.5% gallium. [...] Read more.
In this paper, we have proposed a frequency-switchable complementary split-ring resonator (CSRR)-loaded quarter-mode substrate-integrated-waveguide (QMSIW) band-pass filter. For frequency switching, a microfluidic channel and liquid metal are used. The liquid metal used is eutectic gallium-indium (EGaIn), consisting of 24.5% indium and 75.5% gallium. The microfluidic channels are built using the elastomer polydimethylsiloxane (PDMS) and three-dimensional-printed microfluidic channel frames. The CSRR-loaded QMSIW band-pass filter is designed to have two states. Before the injection of the liquid metal, the measured center frequency and fractional bandwidths are 2.205 GHz and 6.80%, respectively. After injection, the center frequency shifts from 2.205 GHz to 2.56 GHz. Although the coupling coefficient is practically unchanged, the fractional bandwidth changes from 6.8% to 9.38%, as the CSRR shape changes and the external quality factor decreases. After the removal of the liquid metal, the measured values are similar to the values recorded before the liquid metal was injected. The repeatability of the frequency-switchable mechanism is, therefore, verified. Full article
(This article belongs to the Special Issue Microfluidics-Based Microsystem Integration Research)
Show Figures

Figure 1

Back to TopTop