Sign in to use this feature.

Years

Between: -

Subjects

remove_circle_outline
remove_circle_outline
remove_circle_outline
remove_circle_outline
remove_circle_outline
remove_circle_outline

Journals

Article Types

Countries / Regions

Search Results (8)

Search Parameters:
Keywords = Juncus acutus

Order results
Result details
Results per page
Select all
Export citation of selected articles as:
20 pages, 5071 KB  
Article
Effect of Chemical Treatment on the Mechanical and Hygroscopic Properties of an Innovative Clay–Sand Composite Reinforced with Juncus acutus Fibers
by Hana Ouerghi, Lamine Hassini, Amar Benazzouk and Mohamed Afif Elcafsi
Materials 2025, 18(1), 177; https://doi.org/10.3390/ma18010177 - 3 Jan 2025
Cited by 1 | Viewed by 1642
Abstract
The viability of using Juncus acutus fibers as reinforcement material for developing lightweight sustainable non-structural construction materials in compliance with the valorization of local by-products has been investigated in this work. This study aims to investigate the effect of the chemical treatment of [...] Read more.
The viability of using Juncus acutus fibers as reinforcement material for developing lightweight sustainable non-structural construction materials in compliance with the valorization of local by-products has been investigated in this work. This study aims to investigate the effect of the chemical treatment of Juncus acutus fibers on the mechanical and hygric properties of bio-sourced clay–sand–Juncus acutus fiber composite. This lightweight specimen has been produced from a mixture of 60% natural clay and 40% sand by mass, as a matrix, and reinforced with different amounts of Juncus fibers. The fibers were used as a partial replacement of sand in the mixture by volume at 0% (control specimen), 5%, 10%, and 20%. In order to enhance interfacial bonding between the fibers and the binder matrix, which seriously limits the strength development of the composite, the fibers have undergone an NaOH alkali treatment with different concentrations of 1 and 2 wt. %. Morphological and elementary chemical component evaluations based on SEM micrographs and EDX analyses revealed that the 1 wt. % NaOH alkali treatment exhibited the most beneficial effect due to the removal of impurity deposits without significant surface damage to the fibers. This finding was highlighted through the tensile tests carried out which showed the tensile stress value of 81.97 MPa compared to those of the treated fibers with 2% NaOH (74.45 MPa) and the untreated fibers (70.24 MPa). However, mechanical test results, carried out according to the European Standard EN 196-1, highlighted the beneficial effect of the fiber alkali treatment on both the compressive and flexural strengths, particularly for the fiber contents of 5% and 10%, which corresponds to a strengthening rate of 25% and 30%, respectively. The examination of the hygroscopic properties of the samples, including capillary water absorption, water diffusivity, and moisture buffering capacity under the dynamic conditions have indicated that the specimen containing treated fibers exhibited a better moisture regulating property than that obtained with untreated fibers. However, the specimens with treated fibers are classified as excellent hygric regulators based on their moisture buffer values (MBV > 2 g/(m2.%RH)), according to the NORDTEST classification. The results also indicated that the capillary water absorption and the apparent moisture diffusivity of composites were lowered due to high fiber-matrix interfacial bond after fiber treatment. Consequently, the composite with treated fibers is less diffusive compared to that with untreated fibers, and thus expected to be more durable in a humid environment. Full article
Show Figures

Figure 1

18 pages, 583 KB  
Article
Screening of Phytochemical, Antimicrobial, and Antioxidant Properties of Juncus acutus from Northeastern Morocco
by Yousra Hammouti, Amine Elbouzidi, Mohamed Taibi, Reda Bellaouchi, El Hassania Loukili, Mohamed Bouhrim, Omar M. Noman, Ramzi A. Mothana, Mansour N. Ibrahim, Abdeslam Asehraou, Bouchra El Guerrouj and Mohamed Addi
Life 2023, 13(11), 2135; https://doi.org/10.3390/life13112135 - 29 Oct 2023
Cited by 9 | Viewed by 2599
Abstract
Juncus acutus, acknowledged through its indigenous nomenclature “samar”, is part of the Juncaceae taxonomic lineage, bearing considerable import as a botanical reservoir harboring conceivable therapeutic attributes. Its historical precedence in traditional curative methodologies for the alleviation of infections and inflammatory conditions is [...] Read more.
Juncus acutus, acknowledged through its indigenous nomenclature “samar”, is part of the Juncaceae taxonomic lineage, bearing considerable import as a botanical reservoir harboring conceivable therapeutic attributes. Its historical precedence in traditional curative methodologies for the alleviation of infections and inflammatory conditions is notable. In the purview of Eastern traditional medicine, Juncus species seeds find application for their remedial efficacy in addressing diarrhea, while the botanical fruits are subjected to infusion processes targeting the attenuation of symptoms associated with cold manifestations. The primary objective of this study was to unravel the phytochemical composition of distinct constituents within J. acutus, specifically leaves (JALE) and roots (JARE), originating from the indigenous expanse of the Nador region in northeastern Morocco. The extraction of plant constituents was executed utilizing an ethanol-based extraction protocol. The subsequent elucidation of chemical constituents embedded within the extracts was accomplished employing analytical techniques based on high-performance liquid chromatography (HPLC). For the purpose of in vitro antioxidant evaluation, a dual approach was adopted, encompassing the radical scavenging technique employing 2,2-diphenyl-1-picrylhydrazyl (DPPH) and the total antioxidant capacity (TAC) assay. The acquired empirical data showcase substantial radical scavenging efficacy and pronounced relative antioxidant activity. Specifically, the DPPH and TAC methods yielded values of 483.45 ± 4.07 µg/mL and 54.59 ± 2.44 µg of ascorbic acid (AA)/mL, respectively, for the leaf extracts. Correspondingly, the root extracts demonstrated values of 297.03 ± 43.3 µg/mL and 65.615 ± 0.54 µg of AA/mL for the DPPH and TAC methods. In the realm of antimicrobial evaluation, the assessment of effects was undertaken through the agar well diffusion technique. The minimum inhibitory concentration, minimum bactericidal concentration, and minimum fungicidal concentration were determined for each extract. The inhibitory influence of the ethanol extracts was observed across bacterial strains including Staphylococcus aureus, Micrococcus luteus, and Pseudomonas aeruginosa, with the notable exception of Escherichia coli. However, fungal strains such as Candida glabrata and Rhodotorula glutinis exhibited comparatively lower resistance, whereas Aspergillus niger and Penicillium digitatum exhibited heightened resistance, evincing negligible antifungal activity. An anticipatory computational assessment of pharmacokinetic parameters was conducted, complemented by the application of the Pro-tox II web tool to delineate the potential toxicity profile of compounds intrinsic to the studied extracts. The culmination of these endeavors underpins the conceivable prospects of the investigated extracts as promising candidates for oral medicinal applications. Full article
(This article belongs to the Special Issue Natural Bioactives: Exploring Their Therapeutic Potential)
Show Figures

Figure 1

20 pages, 3230 KB  
Article
Luteolin Isolated from Juncus acutus L., a Potential Remedy for Human Coronavirus 229E
by Asma Hakem, Lowiese Desmarets, Ramla Sahli, Rawen Ben Malek, Charline Camuzet, Nathan François, Gabriel Lefèvre, Jennifer Samaillie, Sophie Moureu, Sevser Sahpaz, Sandrine Belouzard, Riadh Ksouri, Karin Séron and Céline Rivière
Molecules 2023, 28(11), 4263; https://doi.org/10.3390/molecules28114263 - 23 May 2023
Cited by 11 | Viewed by 3130
Abstract
The COVID-19 pandemic, caused by SARS-CoV-2, addressed the lack of specific antiviral drugs against coronaviruses. In this study, bioguided fractionation performed on both ethyl acetate and aqueous sub-extracts of Juncus acutus stems led to identifying luteolin as a highly active antiviral molecule against [...] Read more.
The COVID-19 pandemic, caused by SARS-CoV-2, addressed the lack of specific antiviral drugs against coronaviruses. In this study, bioguided fractionation performed on both ethyl acetate and aqueous sub-extracts of Juncus acutus stems led to identifying luteolin as a highly active antiviral molecule against human coronavirus HCoV-229E. The apolar sub-extract (CH2Cl2) containing phenanthrene derivatives did not show antiviral activity against this coronavirus. Infection tests on Huh-7 cells, expressing or not the cellular protease TMPRSS2, using luciferase reporter virus HCoV-229E-Luc showed that luteolin exhibited a dose-dependent inhibition of infection. Respective IC50 values of 1.77 µM and 1.95 µM were determined. Under its glycosylated form (luteolin-7-O-glucoside), luteolin was inactive against HCoV-229E. Time of addition assay showed that utmost anti-HCoV-229E activity of luteolin was achieved when added at the post-inoculation step, indicating that luteolin acts as an inhibitor of the replication step of HCoV-229E. Unfortunately, no obvious antiviral activity for luteolin was found against SARS-CoV-2 and MERS-CoV in this study. In conclusion, luteolin isolated from Juncus acutus is a new inhibitor of alphacoronavirus HCoV-229E. Full article
Show Figures

Figure 1

14 pages, 2243 KB  
Article
Salinity Modulates Juncus acutus L. Tolerance to Diesel Fuel Pollution
by Jesús Alberto Pérez-Romero, José-María Barcia-Piedras, Susana Redondo-Gómez, Isabel Caçador, Bernardo Duarte and Enrique Mateos-Naranjo
Plants 2022, 11(6), 758; https://doi.org/10.3390/plants11060758 - 12 Mar 2022
Cited by 6 | Viewed by 2723
Abstract
Soil contamination with petroleum-derived substances such as diesel fuel has become a major environmental threat. Phytoremediation is one of the most studied ecofriendly low-cost solutions nowadays and halophytes species has been proved to have potential as bio-tools for this purpose. The extent to [...] Read more.
Soil contamination with petroleum-derived substances such as diesel fuel has become a major environmental threat. Phytoremediation is one of the most studied ecofriendly low-cost solutions nowadays and halophytes species has been proved to have potential as bio-tools for this purpose. The extent to which salinity influences diesel tolerance in halophytes requires investigation. A greenhouse experiment was designed to assess the effect of NaCl supply (0 and 85 mM NaCl) on the growth and photosynthetic physiology of Juncus acutus plants exposed to 0, 1 and 2.5% diesel fuel. Relative growth rate, water content and chlorophyll a derived parameters were measured in plants exposed to the different NaCl and diesel fuel combinations. Our results indicated that NaCl supplementation worsened the effects of diesel toxicity on growth, as diesel fuel at 2.5% reduced relative growth rate by 25% in the absence of NaCl but 80% in plants treated with NaCl. Nevertheless, this species grown at 0 mM NaCl showed a high tolerance to diesel fuel soil presence in RGR but also in chlorophyll fluorescence parameters that did not significantly decrease at 1% diesel fuel concentration in absence of NaCl. Therefore, this study remarked on the importance of knowing the tolerance threshold to abiotic factors in order to determine the bioremediation capacity of a species for a specific soil or area. In addition, it showed that NaCl presence even in halophytes does not always have a positive effect on plant physiology and it depends on the pollutant nature. Full article
(This article belongs to the Topic Plant-Soil Interactions)
Show Figures

Graphical abstract

21 pages, 2104 KB  
Article
Root Bacteria Recruited by Phragmites australis in Constructed Wetlands Have the Potential to Enhance Azo-Dye Phytodepuration
by Valentina Riva, Francesca Mapelli, Evdokia Syranidou, Elena Crotti, Redouane Choukrallah, Nicolas Kalogerakis and Sara Borin
Microorganisms 2019, 7(10), 384; https://doi.org/10.3390/microorganisms7100384 - 24 Sep 2019
Cited by 35 | Viewed by 5198
Abstract
The microbiome associated with plants used in phytodepuration systems can boost plant growth and services, especially in ecosystems dealing with recalcitrant compounds, hardly removed via traditional wastewater (WW) treatments, such as azo-dyes used in textile industry. In this context, we aimed to study [...] Read more.
The microbiome associated with plants used in phytodepuration systems can boost plant growth and services, especially in ecosystems dealing with recalcitrant compounds, hardly removed via traditional wastewater (WW) treatments, such as azo-dyes used in textile industry. In this context, we aimed to study the cultivable microbiome selected by Phragmites australis plants in a Constructed Wetland (CW) in Morocco, in order to obtain candidate inoculants for the phytodepuration of azo-dye contaminated WW. A collection of 152 rhizospheric and endophytic bacteria was established. The strains were phylogenetically identified and characterized for traits of interest in the phytodepuration context. All strains showed Plant Growth Promotion potential in vitro and 67% of them significantly improved the growth of a model plant in vivo compared to the non bacterized control plants. Moreover, most of the isolates were able to grow in presence of several model micropollutants typically found in WW, indicating their potential use in phytodepuration of a wide spectrum of effluents. The six most promising strains of the collection were tested in CW microcosms alone or as consortium: the consortium and two single inocula demonstrated to significantly increase the removal of the model azo-dye Reactive Black 5 compared to the non bacterized controls. Full article
(This article belongs to the Special Issue Probiotic Microorganism in Plants, Rhizosphere and Soil)
Show Figures

Graphical abstract

20 pages, 4629 KB  
Article
XRD-Thermal Combined Analyses: An Approach to Evaluate the Potential of Phytoremediation, Phytomining, and Biochar Production
by Dario Fancello, Jessica Scalco, Daniela Medas, Elisa Rodeghero, Annalisa Martucci, Carlo Meneghini and Giovanni De Giudici
Int. J. Environ. Res. Public Health 2019, 16(11), 1976; https://doi.org/10.3390/ijerph16111976 - 4 Jun 2019
Cited by 25 | Viewed by 6194
Abstract
A method for evaluating the potential of reuse of biomasses for economic purposes is here presented starting from a case study. Juncus acutus plants and rhizospheres were harvested from abandoned Zn–Pb mine areas of southwest Sardinia (Italy). Thermogravimetry and Differential Thermal analyses were [...] Read more.
A method for evaluating the potential of reuse of biomasses for economic purposes is here presented starting from a case study. Juncus acutus plants and rhizospheres were harvested from abandoned Zn–Pb mine areas of southwest Sardinia (Italy). Thermogravimetry and Differential Thermal analyses were performed to evaluate the temperatures at which significant reactions occur. X-ray Diffraction (XRD) analysis was carried out on raw samples and on samples heated ex-situ (by a conventional diffractometer) or in-situ (by synchrotron-based diffraction). Raw samples mainly consist of quartz, phyllosilicates, and feldspars with minor amounts of sulfides, sulfates, and Fe, Pb, and Zn carbonates, concentrated in the rhizosphere. After heating, Zn and Fe oxides and willemite are observed in internal roots and stems, revealing the presence of these metals in the plant tissues. In-situ heating was less effective than ex-situ in revealing minor phases in organic samples, probably because the scarcity of oxygen within the sample holder did not allow the degradation of organic compounds and the oxidation of sulfides, resulting in a low quality XRD signal even if obtained with the high resolution ensured by a synchrotron light source. This method can be applied to plants from polluted sites for metal exploitation, and/or to biomasses from unpolluted sites for biochar production, since both applications take advantage of the knowledge of the minerals formed after heating. Full article
(This article belongs to the Collection Environmental Risk Assessment)
Show Figures

Figure 1

11 pages, 3492 KB  
Article
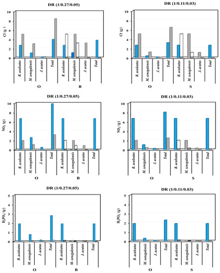
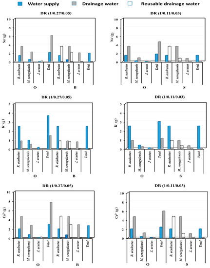
Crop and Irrigation Management Systems under Greenhouse Conditions
by Pedro García-Caparrós, Alfonso Llanderal, Ahmed El-Tarawy, Ivana Maksimovic and María Teresa Lao
Water 2018, 10(1), 62; https://doi.org/10.3390/w10010062 - 11 Jan 2018
Cited by 13 | Viewed by 6797
Abstract
Plants of Ruscus aculeatus, known as “butcher’s broom”, Maytenus senegalensis, known as “confetti tree”, and Juncus acutus, known as “spiny rush” were grown in pots with a mixture of sphagnum peat-moss and Perlite in order to determine the effect and [...] Read more.
Plants of Ruscus aculeatus, known as “butcher’s broom”, Maytenus senegalensis, known as “confetti tree”, and Juncus acutus, known as “spiny rush” were grown in pots with a mixture of sphagnum peat-moss and Perlite in order to determine the effect and evolution over time of three water use systems on plant growth, water saving and nutrient uptake. These were an open system (irrigated with standard nutrient solution) and two closed systems (blended-water (drainage water blended with water of low electrical conductivity (EC)) and sequential reuse of drainage (sequential-reuse) water), over a period of 8 weeks. Irrigation with blended- and sequential-reuse-water increased the biomass of all three species at the end of the experiment, compared to the open system. Overall, sequential-reuse-water treatment maximised biomass production. The application of blended- and sequential-reuse-water allowed savings of 17% of water in comparison to the open system. Regarding Cl, NO3 and H2PO4 loads, there was a removal of 5%, 32% and 32%; respectively in the blended-water treatment and 15%, 17% and 17% in the sequential-reuse water treatment compared to the open system. For the cation loads (Na+, K+, Ca2+ and Mg2+) in these water treatments there was a removal of 10%, 32%, 7% and 18% respectively in the blended-water treatment, and 17%, 22%, 17% and 18% respectively in the sequential-reuse treatment, compared to the open system. Full article
Show Figures

Figure 1

17 pages, 834 KB  
Article
Maritime Halophyte Species from Southern Portugal as Sources of Bioactive Molecules
by Maria João Rodrigues, Katkam N. Gangadhar, Catarina Vizetto-Duarte, Sileshi G. Wubshet, Nils T. Nyberg, Luísa Barreira, João Varela and Luísa Custódio
Mar. Drugs 2014, 12(4), 2228-2244; https://doi.org/10.3390/md12042228 - 10 Apr 2014
Cited by 86 | Viewed by 10275
Abstract
Extracts of five halophytes from southern Portugal (Arthrocnemum macrostachyum, Mesembryanthemum edule, Juncus acutus, Plantago coronopus and Halimione portulacoides), were studied for antioxidant, anti-inflammatory and in vitro antitumor properties. The most active extracts towards the 1,1-diphenyl-2-picrylhydrazyl (DPPH) radical were [...] Read more.
Extracts of five halophytes from southern Portugal (Arthrocnemum macrostachyum, Mesembryanthemum edule, Juncus acutus, Plantago coronopus and Halimione portulacoides), were studied for antioxidant, anti-inflammatory and in vitro antitumor properties. The most active extracts towards the 1,1-diphenyl-2-picrylhydrazyl (DPPH) radical were the methanol extracts of M. edule (IC50 = 0.1 mg/mL) and J. acutus (IC50 = 0.4 mg/mL), and the ether extracts of J. acutus (IC50 = 0.2 mg/mL) and A. macrostachyum (IC50 = 0.3 mg/mL). The highest radical scavenging activity (RSA) against the 2,2′-azino-bis (3-ethylbenzothiazoline-6-sulphonic acid) (ABTS) radical was obtained in the ether extract of J. acutus (IC50 = 0.4 mg/mL) and H. portulacoides (IC50 = 0.9 mg/mL). The maximum total phenolic content (TPC) was found in the methanol extract of M. edule (147 mg gallic acid equivalents (GAE)/g) and in the ether extract of J. acutus (94 mg GAE/g). Significant decreases in nitric oxide (NO) production were observed after incubation of macrophages with lipopolysaccharide (LPS) and the chloroform extract of H. portulacoides (IC50 = 109 µg/mL) and the hexane extract of P. coronopus (IC50 = 98.0 µg/mL). High in vitro cytotoxic activity and selectivity was obtained with the ether extract of J. acutus. Juncunol was identified as the active compound and for the first time was shown to display selective in vitro cytotoxicity towards various human cancer cells. Full article
Show Figures

Figure 1

Back to TopTop