Sign in to use this feature.

Years

Between: -

Subjects

remove_circle_outline
remove_circle_outline
remove_circle_outline
remove_circle_outline
remove_circle_outline
remove_circle_outline

Journals

Article Types

Countries / Regions

Search Results (2)

Search Parameters:
Keywords = Increasing Contract Price (ICP)

Order results
Result details
Results per page
Select all
Export citation of selected articles as:
22 pages, 9917 KB  
Article
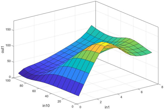
Predicting Extension of Time and Increasing Contract Price in Road Infrastructure Projects Using a Sugeno Fuzzy Logic Model
by Aleksandar Senić, Momčilo Dobrodolac and Zoran Stojadinović
Mathematics 2024, 12(18), 2852; https://doi.org/10.3390/math12182852 - 13 Sep 2024
Cited by 9 | Viewed by 1630
Abstract
Road infrastructure plays a crucial role in the development of countries, significantly influencing economic growth, social progress, and environmental sustainability. Major infrastructure projects are frequently challenged by substantial risks and uncertainties, leading to delays, budget overruns, and compromised quality. These issues can undermine [...] Read more.
Road infrastructure plays a crucial role in the development of countries, significantly influencing economic growth, social progress, and environmental sustainability. Major infrastructure projects are frequently challenged by substantial risks and uncertainties, leading to delays, budget overruns, and compromised quality. These issues can undermine the economic viability and efficiency of projects, making effective risk management essential for minimizing negative impacts and ensuring project success. For these reasons, a study was conducted using a Sugeno fuzzy logic system applied to completed projects. The resulting model is based on 10 project characteristics and provides highly accurate predictions for Extension of Time (EoT) and Increasing Contract Price (ICP). By utilizing this model, project management can be significantly improved through more accurate forecasting of potential delays and cost overruns. The high precision of the Sugeno fuzzy logic system enables better risk assessment and proactive decision-making, allowing project managers to implement targeted strategies to mitigate risks and optimize project outcomes. Full article
Show Figures

Figure 1

20 pages, 748 KB  
Article
Development of Risk Quantification Models in Road Infrastructure Projects
by Aleksandar Senić, Momčilo Dobrodolac and Zoran Stojadinović
Sustainability 2024, 16(17), 7694; https://doi.org/10.3390/su16177694 - 4 Sep 2024
Cited by 12 | Viewed by 2774
Abstract
Road infrastructure is a significant factor in the development of any country, affecting economic growth, social development, and environmental sustainability. Large infrastructure projects often face significant risks and uncertainties, which can lead to delays, budget over-runs, and an insufficient quality of the completed [...] Read more.
Road infrastructure is a significant factor in the development of any country, affecting economic growth, social development, and environmental sustainability. Large infrastructure projects often face significant risks and uncertainties, which can lead to delays, budget over-runs, and an insufficient quality of the completed work. These issues undermine the economic viability of projects and affect the overall efficiency of infrastructure development. For these reasons, based on a literature review and completed project analysis, the risks that lead to an increasing Contract Price (ICP) and an Extension of Time (EoT) for the construction of the project are identified. Based on the results of the completed project analysis, the values of the ICP and EoT were quantified. Also, the probability of the occurrence of each risk in new projects was calculated. Based on the obtained results, a model was defined that groups risks into clusters. Risks in the first cluster should have priority for funding, and preventive measures are defined for them. The model obtained in this way can greatly enhance project management in real-world conditions and can lead to a significant reduction in project time and budget over-runs. Full article
Show Figures

Figure 1

Back to TopTop