Sign in to use this feature.

Years

Between: -

Subjects

remove_circle_outline
remove_circle_outline
remove_circle_outline

Journals

Article Types

Countries / Regions

Search Results (3)

Search Parameters:
Keywords = Icare PRO

Order results
Result details
Results per page
Select all
Export citation of selected articles as:
9 pages, 496 KB  
Article
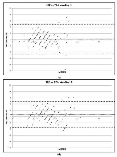
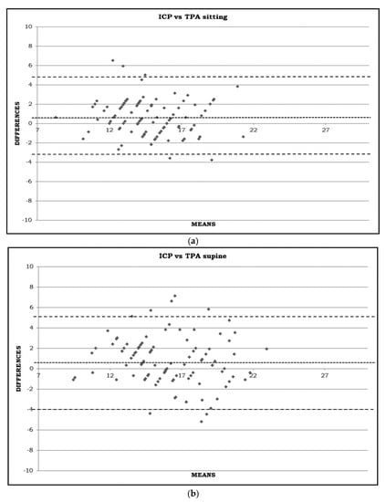
Intraocular Pressure Measurements in Standing, Sitting, and Supine Position: Comparison between Tono-Pen Avia and Icare Pro Tonometers
by Maddalena De Bernardo, Giulia Abbinante, Maria Borrelli, Margherita Di Stasi, Ferdinando Cione and Nicola Rosa
J. Clin. Med. 2022, 11(21), 6234; https://doi.org/10.3390/jcm11216234 - 22 Oct 2022
Cited by 13 | Viewed by 2527
Abstract
Background: Intraocular pressure (IOP) is influenced by body position. The purpose of this study is to compare the IOP measurements obtained with two different devices, to investigate IOP changes in standing, sitting, and supine positions. Methods: In this comparative prospective case series, IOP [...] Read more.
Background: Intraocular pressure (IOP) is influenced by body position. The purpose of this study is to compare the IOP measurements obtained with two different devices, to investigate IOP changes in standing, sitting, and supine positions. Methods: In this comparative prospective case series, IOP was measured in sitting, supine, prone, and standing (standing 1) positions and again five minutes after standing (standing 2), utilizing an Icare Pro (ICP) and a Tono-Pen Avia (TPA) in the 64 eyes of 32 healthy subjects. Results: Compared to the sitting position, both devices showed an increase in the IOP both in supine and standing 2 positions (p < 0.05). The mean IOP difference between the two devices was: in the sitting position, 0.57 ± 2.10 mmHg (range: −3.80 to 6.60 mmHg) (p < 0.05), in the supine position, 0.93 ± 2.49 mmHg (range: −4.50 to 7.10 mmHg) (p < 0.05), in the standing 1 position, 0.37 ± 1.96 mmHg (range: −5.20 to 5.00 mmHg) (p = 0.102), and in the standing 2 position 0.73 ± 2.03 mmHg (range: −4.5 to 6.4 mmHg) (p < 0.001). Conclusions: The results highlight an agreement between the TPA and ICP, both confirming not only the increase in IOP in the supine position, but also showing an increase in the standing 2 position. Therefore, it is suggested to perform such measurements in patients with glaucoma, to explain its progression in an apparently normal tension or in compensated patients. Full article
(This article belongs to the Section Ophthalmology)
Show Figures

Figure 1

10 pages, 1559 KB  
Article
Intraocular Pressure Measurement in Childhood Glaucoma under Standardized General Anaesthesia: The Prospective EyeBIS Study
by Alicja Strzalkowska, Nina Pirlich, Julia V. Stingl, Alexander K. Schuster, Jasmin Rezapour, Felix M. Wagner, Justus Buse and Esther M. Hoffmann
J. Clin. Med. 2022, 11(10), 2846; https://doi.org/10.3390/jcm11102846 - 18 May 2022
Cited by 13 | Viewed by 2949
Abstract
Objective: We aimed to compare intraocular pressure (IOP) measurements using iCare® PRO rebound tonometry (iCare) and Perkins applanation tonometry (Perkins) in childhood glaucoma subjects and healthy children and the influence of anaesthesia depth, age and corneal thickness. Material: Prospective clinical, case-control study [...] Read more.
Objective: We aimed to compare intraocular pressure (IOP) measurements using iCare® PRO rebound tonometry (iCare) and Perkins applanation tonometry (Perkins) in childhood glaucoma subjects and healthy children and the influence of anaesthesia depth, age and corneal thickness. Material: Prospective clinical, case-control study of children who underwent an ophthalmologic examination under general anaesthesia according to our protocol. Children were 45.45 ± 29.76 months old (mean ± SD (standard deviation)). Of all children, 54.05% were female. IOP was taken three times (T1–T3), according to duration and the depth of anaesthesia. The order of measurement alternated, starting with iCare. Agreement between the device measurements was evaluated using Bland–Altman analysis. Results: 53 glaucoma subjects and 22 healthy controls. Glaucoma subjects: IOP measured with iCare was at T1: 27.2 (18.1–33.8), T2: 21.6 (14.8–30.6), T3: 20.4 mmHg (14.5–27.0) and Perkins 17.5 (12.0–23.0), 15.5 (10.5–20.5), 15.0 mmHg (10.5–21.0) (median ± IQR (interquartile range)). Healthy controls: IOP with iCare: T1: 13.3 (11.1–17.0), T2: 10.6 (8.1–12.4), T3: 9.6 mmHg (7.7–11.7) and Perkins 10.3 (8.0–12.0), 7.0 (5.5–10.5), 7.0 mmHg (5.5–8.5) (median ± IQR). The median IOP was statistically significantly higher with iCare than with Perkins (p < 0.001) in both groups. The mean difference (iCare and Perkins) was 6.0 ± 6.1 mmHg for T1–T3, 7.3 at T1, 6.0 at T2, 4.9 mmHg at T3. Conclusion: The IOP was the highest in glaucoma subjects and healthy children at T1 (under sedation), independently of the measurement method. iCare always leads to higher IOP compared to Perkins in glaucoma and healthy subjects, regardless of the duration of anesthesia. Full article
(This article belongs to the Special Issue Intraocular Pressure and Ocular Hypertension)
Show Figures

Figure 1

10 pages, 1357 KB  
Article
Intraocular Pressure Measurements in Standing Position with a Rebound Tonometer
by Maddalena De Bernardo, Maria Borrelli, Giovanni Cembalo and Nicola Rosa
Medicina 2019, 55(10), 701; https://doi.org/10.3390/medicina55100701 - 18 Oct 2019
Cited by 16 | Viewed by 3088
Abstract
Background and Objectives: It has been established that body position can play an important role in intraocular pressure (IOP) fluctuation. IOP has been previously shown to increase significantly when lying down, relative to sitting; this type of investigation has not been extensively reported [...] Read more.
Background and Objectives: It has been established that body position can play an important role in intraocular pressure (IOP) fluctuation. IOP has been previously shown to increase significantly when lying down, relative to sitting; this type of investigation has not been extensively reported for the standing (ST) position. Therefore, this study aims to look for eventual significant IOP changes while ST, sitting, and lying down. Materials and Methods: An Icare PRO was used to measure the IOP of 120 eyes of 60 healthy individuals, with age ranging from 21 to 55 years (mean 29.22 ± 9.12 years), in sitting, supine and ST positions; IOP was measured again, 5 min after standing (ST-5m). Results: Mean IOP difference between sitting and ST position was 0.39 ± 1.93 mmHg (95% CI: 0.04 to 0.74 mmHg) (p = 0.027); between sitting and ST-5m, it was −0.48 ± 1.79 mmHg (95% CI: −0.8 to −0.16 mmHg) (p = 0.004); between the sitting and supine position, it was −1.16±1.9 mmHg (95% CI: −1.5 to −0.82 mmHg) (p < 0.001); between the supine and ST position, it was 1.55 ± 2.04 mmHg (95% CI: 1.18 to 1.92 mmHg) (p < 0.001); between supine and ST-5m, it was 0.68 ± 1.87 mmHg (95% CI: 0.34 to 1.02 mmHg) (p < 0.001); and between ST-5m and ST, it was 0.94 ± 1.95 mmHg (95% CI: 0.58 to 1.29 mmHg) (p < 0.001). Mean axial eye length was 24.45 mm (95% CI: 24.22 to 24.69 mm), and mean central corneal thickness was 535.30 μm (95% CI: 529.44 to 541.19 μm). Conclusion: Increased IOP in the ST-5m position suggests that IOP measurements should be performed in this position too. The detection of higher IOP values in the ST-5m position than in the sitting one, may explain the presence of glaucoma damage or progression in apparently normal-tension or compensated patients. Full article
Show Figures

Figure 1

Back to TopTop