Sign in to use this feature.

Years

Between: -

Subjects

remove_circle_outline

Journals

Article Types

Countries / Regions

Search Results (1)

Search Parameters:
Keywords = HTPE/PEG

Order results
Result details
Results per page
Select all
Export citation of selected articles as:
20 pages, 8795 KB  
Article
Molecular Dynamic Simulations and Experiments Study on the Mechanical Properties of HTPE/PEG Interpenetrating Polymer Network (IPN) Binders
by La Shi, Xiaolong Fu, Yang Li, Shuxin Wu, Saiqin Meng and Jiangning Wang
Nanomaterials 2023, 13(2), 268; https://doi.org/10.3390/nano13020268 - 8 Jan 2023
Cited by 15 | Viewed by 3542
Abstract
The mechanical properties of HTPE/PEG interpenetrating polymer network (IPN) binders were systemically studied with molecular dynamics (MDs) simulations and experiments. In this study, an algorithm was used to construct the crosslinking interpenetrating polymer network models and then the mechanical behaviors of Hydroxyl-terminated polyethylene [...] Read more.
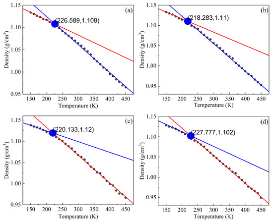
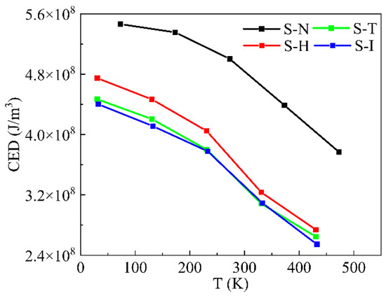
The mechanical properties of HTPE/PEG interpenetrating polymer network (IPN) binders were systemically studied with molecular dynamics (MDs) simulations and experiments. In this study, an algorithm was used to construct the crosslinking interpenetrating polymer network models and then the mechanical behaviors of Hydroxyl-terminated polyethylene glycol-tetrahydrofuran co-polyether/poly ethylene glycol (HTPE/PEG) IPN models were analyzed at a molecular scale. Firstly, glass transition temperatures (Tg), mean square displacement (MSD) and mechanical properties of IPN crosslinked model simulations showed that better thermomechanical parameters appeared at low temperatures, which were in good agreement with the experimental methods, including dynamic mechanical analysis and uniaxial tensile. Then bond-length distribution was performed to verify the crosslinked structures between prepolymers and curing agents. FTIR-ATR spectra analysis of four IPN binder specimens also gave a convictive result to the special interpenetrating polymer network of polyether polyurethane binders. Cohesive energy density and friction-free volume explained how the micro-structures of IPN crosslinked models and the force of inter-molecule chains affected the mechanical behaviors of the HTPE/PEG polyurethane matrix. Lastly, the morphology of IPN binder specimen tensile fracture indicated the mechanism at different temperatures. These studies were helpful in understanding the mechanical properties of HTPE/PEG interpenetrating polymer network binders and provide molecular insight into mechanisms of mechanical behaviors, which would guide the property improvement of HTPE propellant. Full article
Show Figures

Figure 1

Back to TopTop