Sign in to use this feature.

Years

Between: -

Subjects

remove_circle_outline
remove_circle_outline
remove_circle_outline
remove_circle_outline

Journals

Article Types

Countries / Regions

Search Results (2)

Search Parameters:
Keywords = GG fuzzy clustering

Order results
Result details
Results per page
Select all
Export citation of selected articles as:
17 pages, 439 KB  
Article
Edge Computing Driven Data Sensing Strategy in the Entire Crop Lifecycle for Smart Agriculture
by Rihong Zhang and Xiaomin Li
Sensors 2021, 21(22), 7502; https://doi.org/10.3390/s21227502 - 11 Nov 2021
Cited by 21 | Viewed by 4057
Abstract
In the context of smart agriculture, high-value data sensing in the entire crop lifecycle is fundamental for realizing crop cultivation control. However, the existing data sensing methods are deficient regarding the sensing data value, poor data correlation, and high data collection cost. The [...] Read more.
In the context of smart agriculture, high-value data sensing in the entire crop lifecycle is fundamental for realizing crop cultivation control. However, the existing data sensing methods are deficient regarding the sensing data value, poor data correlation, and high data collection cost. The main problem for data sensing over the entire crop lifecycle is how to sense high-value data according to crop growth stage at a low cost. To solve this problem, a data sensing framework was developed by combining edge computing with the Internet of Things, and a novel data sensing strategy for the entire crop lifecycle is proposed in this paper. The proposed strategy includes four phases. In the first phase, the crop growth stage is divided by Gath-Geva (GG) fuzzy clustering, and the key growth parameters corresponding to the growth stage are extracted. In the second phase, based on the current crop growth information, a prediction method of the current crop growth stage is constructed by using a Tkagi-Sugneo (T-S) fuzzy neural network. In the third phase, based on Deng’s grey relational analysis method, the environmental sensing parameters of the corresponding crop growth stage are optimized. In the fourth phase, an adaptive sensing method of sensing nodes with effective sensing area constraints is established. Finally, based on the actual crop growth history data, the whole crop life cycle dataset is established to test the performance and prediction accuracy of the proposed method for crop growth stage division. Based on the historical data, the simulation data sensing environment is established. Then, the proposed algorithm is tested and compared with the traditional algorithms. The comparison results show that the proposed strategy can divide and predict a crop growth cycle with high accuracy. The proposed strategy can significantly reduce the sensing and data collection times and energy consumption and significantly improve the value of sensing data. Full article
(This article belongs to the Special Issue Recent Advances in Big Data and Cloud Computing)
Show Figures

Figure 1

22 pages, 5767 KB  
Article
Fault Recognition of Rolling Bearings Based on Parameter Optimized Multi-Scale Permutation Entropy and Gath-Geva
by Haiming Wang, Qiang Li, Shaopu Yang and Yongqiang Liu
Entropy 2021, 23(8), 1040; https://doi.org/10.3390/e23081040 - 13 Aug 2021
Cited by 6 | Viewed by 2421
Abstract
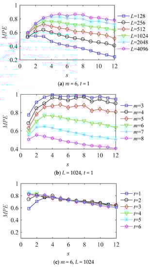
To extract fault features of rolling bearing vibration signals precisely, a fault diagnosis method based on parameter optimized multi-scale permutation entropy (MPE) and Gath-Geva (GG) clustering is proposed. The method can select the important parameters of MPE method adaptively, overcome the disadvantages of [...] Read more.
To extract fault features of rolling bearing vibration signals precisely, a fault diagnosis method based on parameter optimized multi-scale permutation entropy (MPE) and Gath-Geva (GG) clustering is proposed. The method can select the important parameters of MPE method adaptively, overcome the disadvantages of fixed MPE parameters and greatly improve the accuracy of fault identification. Firstly, aiming at the problem of parameter determination and considering the interaction among parameters comprehensively of MPE, taking skewness of MPE as fitness function, the time series length and embedding dimension were optimized respectively by particle swarm optimization (PSO) algorithm. Then the fault features of rolling bearing were extracted by parameter optimized MPE and the standard clustering centers is obtained with GG clustering. Finally, the samples are clustered with the Euclid nearness degree to obtain recognition rate. The validity of the parameter optimization is proved by calculating the partition coefficient and average fuzzy entropy. Compared with unoptimized MPE, the propose method has a higher fault recognition rate. Full article
Show Figures

Figure 1

Back to TopTop