Sign in to use this feature.

Years

Between: -

Subjects

remove_circle_outline
remove_circle_outline
remove_circle_outline

Journals

Article Types

Countries / Regions

Search Results (1)

Search Parameters:
Keywords = Fe2O3@CSAC

Order results
Result details
Results per page
Select all
Export citation of selected articles as:
14 pages, 16633 KB  
Article
Exothermic Reaction in the Cleaning of Wastewater by a Fe2O3/Coconut Shell Activated Carbon/H2O2 Heterogeneous Fenton-like System
by Ke Zhang and Yuntao Yan
Sustainability 2024, 16(4), 1482; https://doi.org/10.3390/su16041482 - 9 Feb 2024
Viewed by 1853
Abstract
Energy utilization in wastewater degradation has important implications for sustainability; however, efficient multiphase Fenton-like catalysts are still needed. In this study, a heterogeneous Fe2O3/coconut shell activated carbon (CSAC) Fenton-like catalyst was prepared and evaluated with respect to degradation performance [...] Read more.
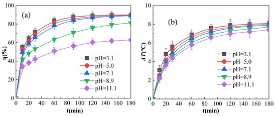
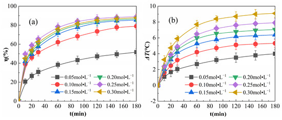
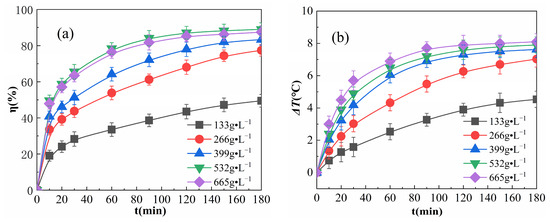
Energy utilization in wastewater degradation has important implications for sustainability; however, efficient multiphase Fenton-like catalysts are still needed. In this study, a heterogeneous Fe2O3/coconut shell activated carbon (CSAC) Fenton-like catalyst was prepared and evaluated with respect to degradation performance and exothermic reaction for the treatment of organic wastewater. Fe2O3@CSAC retained the porous morphology of CSAS, and Fe2O3 was uniformly loaded on the surface of CSAS. In the reaction system, the degradation rate of wastewater was higher and a large amount of heat was released; therefore, it could be applied to the energy recovery from wastewater source heat pump technology. The degradation rate of 300 mL of o-phenylenediamine solution with a concentration of 0.04 mol·L−1 was 89.0% under 0.25 mol·L−1 H2O2, 532 g·L−1 Fe2O3@CSAC, pH 7.1, and an initial reaction temperature of 30 °C, elevated to 7.9 °C. These findings clearly demonstrate the degradation performance and exothermic laws of the Fe2O3@CSAC/H2O2 multiphase Fenton-like system. Full article
Show Figures

Figure 1

Back to TopTop