Sign in to use this feature.

Years

Between: -

Subjects

remove_circle_outline
remove_circle_outline
remove_circle_outline

Journals

Article Types

Countries / Regions

Search Results (1)

Search Parameters:
Keywords = Capillaster multiradiatus

Order results
Result details
Results per page
Select all
Export citation of selected articles as:
9 pages, 823 KB  
Article
Capillasterin A, a Novel Pyrano[2,3-f]chromene from the Australian Crinoid Capillaster multiradiatus
by Kah Yean Lum, Anthony R. Carroll, Merrick G. Ekins, Silven Read, Zahra Haq, Ian Tietjen, James St John and Rohan A. Davis
Mar. Drugs 2019, 17(1), 26; https://doi.org/10.3390/md17010026 - 4 Jan 2019
Cited by 9 | Viewed by 4436
Abstract
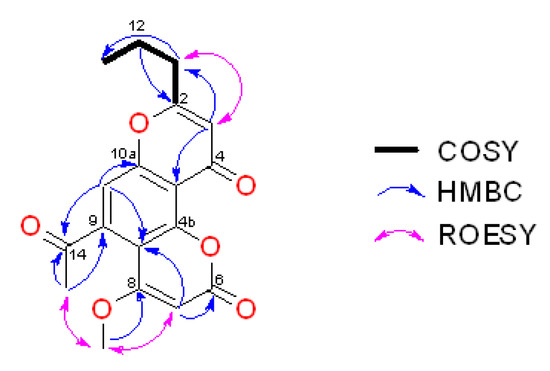
Capillasterin A (1), a novel pyrano[2,3-f]chromene, together with seven known naphthopyrones including comaparvin (2), TMC-256C1 (3), 6-methoxycomaparvin-5- methyl ether (4), 5,8-dihydroxy-6-methoxy-2-propyl-4H-naphtho[2,3-b]pyran-4-one (5), 5,8-dihydroxy-6,10-dimethoxy-2-propyl-4H-naphtho[2,3-b]pyran-4-one (6), TMC-256A1 (7) and 6-methoxycomaparvin ( [...] Read more.
Capillasterin A (1), a novel pyrano[2,3-f]chromene, together with seven known naphthopyrones including comaparvin (2), TMC-256C1 (3), 6-methoxycomaparvin-5- methyl ether (4), 5,8-dihydroxy-6-methoxy-2-propyl-4H-naphtho[2,3-b]pyran-4-one (5), 5,8-dihydroxy-6,10-dimethoxy-2-propyl-4H-naphtho[2,3-b]pyran-4-one (6), TMC-256A1 (7) and 6-methoxycomaparvin (8) were isolated from an EtOH/H2O extract from the Australian crinoid Capillaster multiradiatus. The structures of all the compounds were determined by detailed spectroscopic (1D/2D NMR and MS) data analysis. This is the first report of a natural product that contains the pyrano[2,3-f]chromene skeleton. Compounds 26 were observed to display moderate inhibition of in vitro HIV-1 replication in a T cell line with EC50 values ranging from 7.5 to 25.5 µM without concomitant cytotoxicity. Full article
Show Figures

Graphical abstract

Back to TopTop