Sign in to use this feature.

Years

Between: -

Subjects

remove_circle_outline
remove_circle_outline
remove_circle_outline
remove_circle_outline
remove_circle_outline

Journals

remove_circle_outline

Article Types

Countries / Regions

Search Results (1)

Search Parameters:
Keywords = AMPGA

Order results
Result details
Results per page
Select all
Export citation of selected articles as:
17 pages, 3808 KB  
Article
Application of an Adaptive Multi-Population Parallel Genetic Algorithm with Constraints in Electromagnetic Tomography with Incomplete Projections
by Changfang Guo, Zhen Yang, Xiang Wu, Tingjiang Tan and Ke Zhao
Appl. Sci. 2019, 9(13), 2611; https://doi.org/10.3390/app9132611 - 27 Jun 2019
Cited by 15 | Viewed by 3006
Abstract
Electromagnetic tomography technology (EMT) is widely used in underground energy exploration. Limited by objective conditions, the collected projection data of electromagnetic waves are sparse and incomplete. Therefore, a study of the tomographic inversion algorithm of EMT based on incomplete projection data has an [...] Read more.
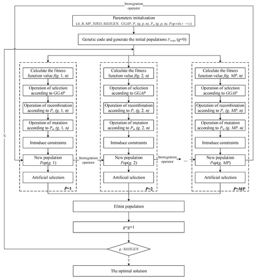
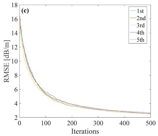
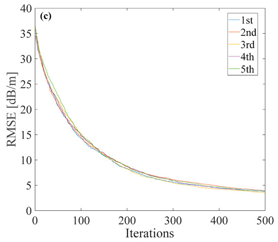
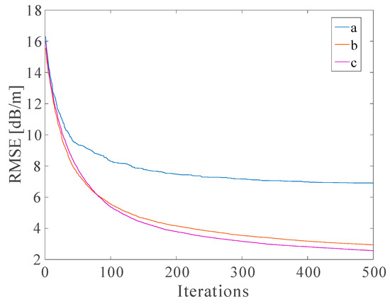
Electromagnetic tomography technology (EMT) is widely used in underground energy exploration. Limited by objective conditions, the collected projection data of electromagnetic waves are sparse and incomplete. Therefore, a study of the tomographic inversion algorithm of EMT based on incomplete projection data has an important guiding significance for the exploitation of underground energy. As a global optimization probability search algorithm, the simple genetic algorithm (SGA) has been widely used in the process of tomographic inversion. However, SGA evolves through a single population, and the values of crossover and mutation probability are always fixed, so there are risks of premature convergence and poor local search ability. To improve the performance of the SGA, a new approach of adaptive multi-population parallel genetic algorithm (AMPGA) with constraints is proposed in this paper. First, the AMPGA makes full use of multi-group adaptive co-evolution to improve the local and global search ability of SGA and restrain the risk of premature convergence. Then, the introduction of prior information as a constraint makes the results clearer and more accurate. The proposed algorithm has been verified in a numerical experiment and field tests, and the results show that the proposed algorithm can well balance global and local search capabilities, which offers a more realistic and stable tomographic result. Full article
(This article belongs to the Section Environmental Sciences)
Show Figures

Figure 1

Back to TopTop