Sign in to use this feature.

Years

Between: -

Subjects

remove_circle_outline
remove_circle_outline
remove_circle_outline
remove_circle_outline
remove_circle_outline
remove_circle_outline

Journals

Article Types

Countries / Regions

Search Results (4)

Search Parameters:
Keywords = 3PRS parallel kinematics

Order results
Result details
Results per page
Select all
Export citation of selected articles as:
16 pages, 4724 KB  
Article
Parasitic Motions of 3-PRS Parallel Mechanisms with Two Different Branch Chain Arrangements
by Yinyin Yao, Wenge Wu, Ruiqin Li and Yaohong Zhao
Appl. Sci. 2023, 13(9), 5425; https://doi.org/10.3390/app13095425 - 26 Apr 2023
Cited by 1 | Viewed by 2008
Abstract
The kinematics of 3-PRS parallel mechanisms (PMs), an important category of 2R1T PMs, is very important for the motion control and error compensation of PMs. In order to produce a spindle head that could meet the requirements of various machining accuracy levels, a [...] Read more.
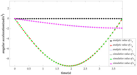
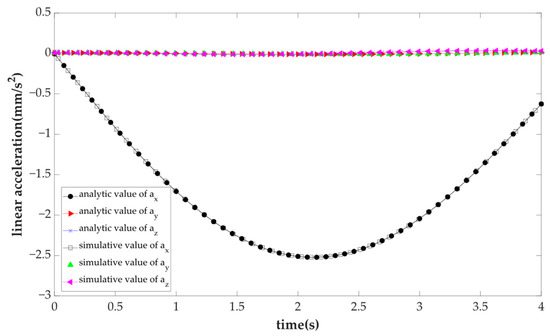
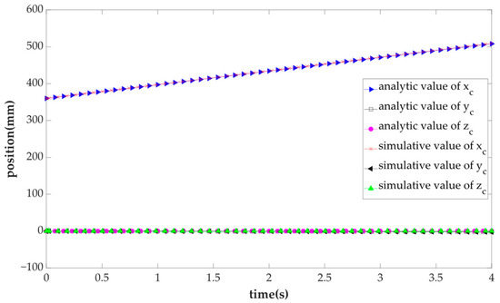
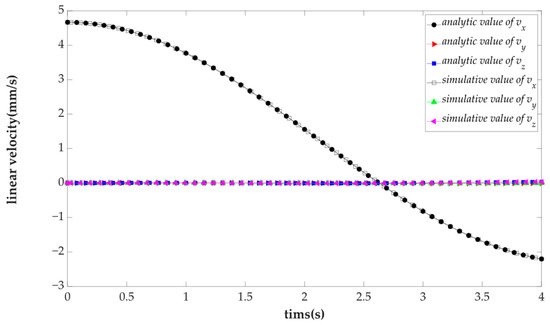
The kinematics of 3-PRS parallel mechanisms (PMs), an important category of 2R1T PMs, is very important for the motion control and error compensation of PMs. In order to produce a spindle head that could meet the requirements of various machining accuracy levels, a definite kinematics analysis of the PMs par should be taken with caution firstly. Here, the mathematical models of two 3-PRS PMs with different branch chain arrangements were established using the Euler angle. The kinematic equations of two 3-PRS PMs were obtained by establishing the closed-vector loop equation according to structural conditions. Parasitic motions that would cause a great effect were obtained, and their variations with structural and kinematic parameters were also obtained through MATLAB. Since the relationship between parasitic motions, and the given structural and kinematic parameters, is inextricable, an analysis is performed for the purpose of reducing or eliminating parasitic motion to ensure the accuracy of end-effector movement. The caused effect of parasitic motion can be improved with scale optimization and precision compensation. Lastly, two improved 3-PRS PMs without the parasitic motion of different branch chain arrangements used as the spindle head were obtained. Parasitic motion was related to the mechanism configuration and could be avoided in the configuration design stage with the comprehensive optimization of the structural and kinematic parameters, which provides a reference to obtain a sufficient workspace and improve the precision of traditional five-axis CNC machine tools. Full article
(This article belongs to the Section Mechanical Engineering)
Show Figures

Figure 1

21 pages, 6281 KB  
Article
A New RP1PR Type Coupling for Shafts with Crossed Axes
by Stelian Alaci, Ioan Doroftei, Florina-Carmen Ciornei, Ionut-Cristian Romanu, Ioan-Alexandru Doroftei and Mariana-Catalina Ciornei
Mathematics 2023, 11(9), 2025; https://doi.org/10.3390/math11092025 - 24 Apr 2023
Cited by 3 | Viewed by 1673
Abstract
There are few examples of mechanical coupling solutions for the transmission of high torques between two rotating shafts that have non-coplanar, non-parallel axes. Based on the structural analysis, the paper proposes a solution for an RP1PR-type symmetrical coupling. The Hartenberg–Denavit methodology is not [...] Read more.
There are few examples of mechanical coupling solutions for the transmission of high torques between two rotating shafts that have non-coplanar, non-parallel axes. Based on the structural analysis, the paper proposes a solution for an RP1PR-type symmetrical coupling. The Hartenberg–Denavit methodology is not applicable for performing the kinematical analysis, hence the solution starts from the geometrical condition of the creation of planar pairs of the mechanism, expressed in vector form. The absolute motion of all elements of the mechanism’s structure can be expressed after developing the kinematical analysis. The theoretical results are validated via numerical analysis. By comparing the analytical results with the CATIA-modeled results, excellent compatibility is obtained. We also propose a constructive solution for the newly designed coupling mechanism. Full article
(This article belongs to the Special Issue Applied Mathematics to Mechanisms and Machines II)
Show Figures

Figure 1

21 pages, 6119 KB  
Article
Kinematic Modeling and Stiffness Analysis of a 3-DOF 3SPS + 3PRS Parallel Manipulator
by Shenghao Zhou, Houkun Gao, Chunyang Xu, Zhichao Jia, Junzhe Lin, Qingkai Han and Zhong Luo
Mathematics 2022, 10(23), 4465; https://doi.org/10.3390/math10234465 - 26 Nov 2022
Cited by 8 | Viewed by 2115
Abstract
The driving mechanism of an axisymmetric vectoring exhaust nozzle (AVEN) is a 3-degrees-of-freedom (3-DOF) parallel manipulator (PM) with a centering device. According to the characteristics of the vectoring nozzle’s movement mechanism, the 3-DOF kinematics model of the 3SPS + 3PRS PM is established. [...] Read more.
The driving mechanism of an axisymmetric vectoring exhaust nozzle (AVEN) is a 3-degrees-of-freedom (3-DOF) parallel manipulator (PM) with a centering device. According to the characteristics of the vectoring nozzle’s movement mechanism, the 3-DOF kinematics model of the 3SPS + 3PRS PM is established. The forward and inverse positional posture models are built based on the mechanism architecture of PM and the closed-loop vector method. The Jacobian matrix and Hessian matrix are derived using screw theory, and velocity and acceleration models are established. Based on the principle of virtual work and combined with the kinematics model of PM, a stiffness model was established to analyze stiffness performance. Finally, the effectiveness of the kinematics model of the PM was verified by a simulation, and the variation of stiffness performances with the positional posture of the PM was quantitatively analyzed. The results show that the translational stiffness decreases with forward axial translation of the moving platform and the rotational stiffness is mainly determined by the posture parameters. This study is expected to offer ideas for the kinematic modeling of 3-DOF PM and provide references for application and optimizing of the AVEN’s driving mechanism. Full article
(This article belongs to the Section E2: Control Theory and Mechanics)
Show Figures

Figure 1

21 pages, 3595 KB  
Article
Mechatronic Model of a Compliant 3PRS Parallel Manipulator
by Antonio Ruiz, Francisco J. Campa, Oscar Altuzarra, Saioa Herrero and Mikel Diez
Robotics 2022, 11(1), 4; https://doi.org/10.3390/robotics11010004 - 28 Dec 2021
Cited by 6 | Viewed by 4040
Abstract
Compliant mechanisms are widely used for instrumentation and measuring devices for their precision and high bandwidth. In this paper, the mechatronic model of a compliant 3PRS parallel manipulator is developed, integrating the inverse and direct kinematics, the inverse dynamic problem of the manipulator [...] Read more.
Compliant mechanisms are widely used for instrumentation and measuring devices for their precision and high bandwidth. In this paper, the mechatronic model of a compliant 3PRS parallel manipulator is developed, integrating the inverse and direct kinematics, the inverse dynamic problem of the manipulator and the dynamics of the actuators and the control. The kinematic problem is solved, assuming a pseudo-rigid model for the deflection in the compliant revolute and spherical joints. The inverse dynamic problem is solved, using the Principle of Energy Equivalence. The mechatronic model allows the prediction of the bandwidth of the manipulator motion in the 3 degrees of freedom for a given control and set of actuators, helping in the design of the optimum solution. A prototype is built and validated, comparing experimental signals with the ones from the model. Full article
Show Figures

Figure 1

Back to TopTop