Sign in to use this feature.

Years

Between: -

Subjects

remove_circle_outline
remove_circle_outline
remove_circle_outline
remove_circle_outline
remove_circle_outline

Journals

Article Types

Countries / Regions

Search Results (3)

Search Parameters:
Keywords = Y1H
Page = 2

Order results
Result details
Results per page
Select all
Export citation of selected articles as:
7 pages, 245 KB  
Article
Questionnaire-Derived Sleep Habits and Academic Achievement in First Year University Students
by Matthew Driller, Haresh Suppiah, Paul B. Gastin and Christopher M. Beaven
Clocks & Sleep 2022, 4(1), 1-7; https://doi.org/10.3390/clockssleep4010001 - 28 Dec 2021
Cited by 6 | Viewed by 13954
Abstract
This study aimed to determine the effect of sleep quantity and quality via the Pittsburgh Sleep Quality Index (PSQI) on students’ academic achievement in their first year of university study. In this cross-sectional study, 193 students (102 female, 91 male, mean ± SD; [...] Read more.
This study aimed to determine the effect of sleep quantity and quality via the Pittsburgh Sleep Quality Index (PSQI) on students’ academic achievement in their first year of university study. In this cross-sectional study, 193 students (102 female, 91 male, mean ± SD; age = 19.3 ± 2.9 y) from an undergraduate Health degree in New Zealand completed the PSQI four weeks prior to the end of the semester in their first year of university study. Results from three core subjects in the first semester were averaged and correlations between the PSQI and academic success were evaluated using Spearman’s rho (ρ). The group were also trichotomized using a PSQI global score of ≤5 as the threshold for “good” sleepers (n = 62, 32%), a score of 5–8 for “moderate” sleepers (n = 63, 33%) and a score ≥8 to characterize “poor” sleepers (n = 68, 35%). Overall, students averaged 7 h 37 min of self-reported sleep duration with an average bedtime of 22:55 p.m. and wake time of 8:01 a.m. There was a significant, small inverse relationship between academic performance and bedtime (p = 0.03, ρ = −0.14), with those going to bed earlier having superior academic success. The trichotomized data demonstrated no significant differences in academic performance between students with poor, moderate and good sleep quality (p = 0.92). Later bedtimes were associated with lower academic performance in a group of first year university students. However, there were no other relationships observed between academic success and self-reported sleep quality or quantity as determined by the PSQI. Enhancing awareness of the impact of sleep timing on academic success should be prioritized and strategies to improve sleep hygiene should be promoted to university students. Full article
(This article belongs to the Section Human Basic Research & Neuroimaging)
10 pages, 462 KB  
Article
Preparation and Photocatalytic Properties of Sr2−xBaxTa3O10−yNz Nanosheets
by Shintaro Ida, Yohei Okamoto, Hidehisa Hagiwara and Tatsumi Ishihara
Catalysts 2013, 3(1), 1-10; https://doi.org/10.3390/catal3010001 - 16 Jan 2013
Cited by 25 | Viewed by 8222
Abstract
Sr2−xBaxTa3O10yNz (x = 0.0, 0.5, 1.0) nanosheets were prepared by exfoliating layered perovskite compounds (CsSr2−xBaxTa3O10yNz). The Sr [...] Read more.
Sr2−xBaxTa3O10yNz (x = 0.0, 0.5, 1.0) nanosheets were prepared by exfoliating layered perovskite compounds (CsSr2−xBaxTa3O10yNz). The Sr1.5Ba0.5Ta3O9.7N0.2 nanosheet showed the highest photocatalytic activity for H2 production from the water/methanol system among the Sr2−xBaxTa3O9.7N0.2 nanosheets prepared. In addition, Rh-loaded Sr1.5Ba0.5Ta3O9.6N0.3 nanosheet showed the photocatalytic activity for oxygen and hydrogen production from water. The ratio of hydrogen to oxygen evolved was around two. These results indicate that the Rh-loaded Sr1.5Ba0.5Ta3O9.6N0.3 nanosheet is a potential catalyst for photocatalytic water splitting. Full article
(This article belongs to the Special Issue Photocatalysts)
Show Figures

Graphical abstract

16 pages, 741 KB  
Article
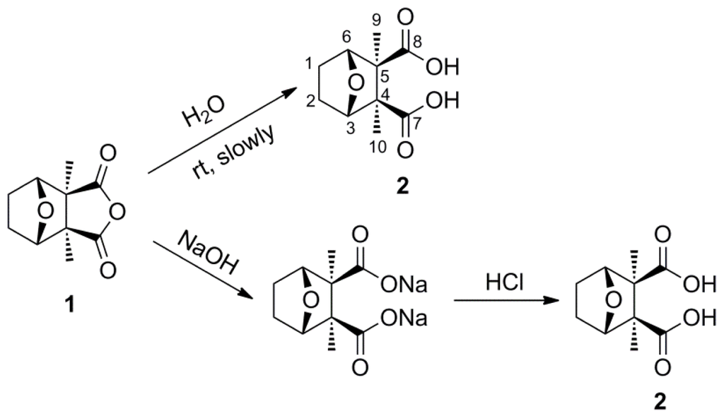
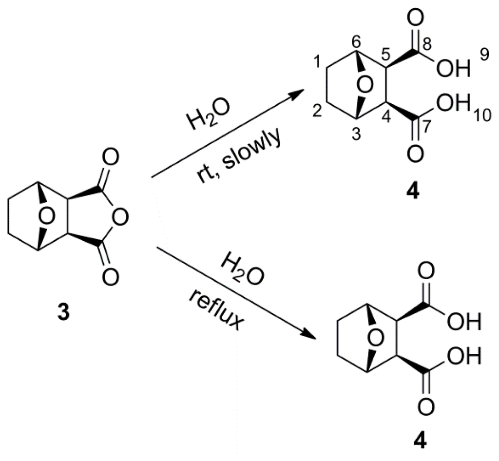
Cantharidin and Its Anhydride-Modified Derivatives: Relation of Structure to Insecticidal Activity
by Wenbo Sun, Zhongyi Liu and Yalin Zhang
Int. J. Mol. Sci. 2013, 14(1), 1-16; https://doi.org/10.3390/ijms14010001 - 20 Dec 2012
Cited by 28 | Viewed by 8166
Abstract
Cantharidin is a natural compound of novel structure with ideal insecticidal activity. However, the relationship of structure to insecticidal activity of cantharidin and its derivatives has not been ever clarified. To explore what determines the insecticidal activity structurally of cantharidin-related compounds, two series [...] Read more.
Cantharidin is a natural compound of novel structure with ideal insecticidal activity. However, the relationship of structure to insecticidal activity of cantharidin and its derivatives has not been ever clarified. To explore what determines the insecticidal activity structurally of cantharidin-related compounds, two series target compounds 6 and 7 were synthesized by replacing the anhydride ring of norcantharidin with an aromatic amine or fatty amine with different electron density, respectively. The structures of these compounds were characterized by 1H NMR, 13C NMR and HRMS-ESI. A bioassay showed that compounds 6 (am) lacked any larvicidal activity against Plutella xylostella; whereas their ring-opened partners 7 (am) provided a variety of larvicidal activities against P. xylostella, and compound 7f indicated the highest larvicidal activity with LC50 value of 0.43 mM. The present work demonstrated that the form of the compound (cyclic or ring-opened) or their ability to hydrolyze facilely was the key to determine whether it exhibits larvicidal activity. Moreover, it revealed that the improvement of insecticidal activity required a reasonable combination of both aliphatic amide and aromatic amide moieties, and the type of substituent Y on the aniline ring was critical. Full article
(This article belongs to the Section Biochemistry)
Show Figures

Graphical abstract

Back to TopTop