Changes of Secondary Metabolites during Tamarillo Somatic Embryogenesis †
Abstract
:1. Introduction
2. Materials and Methods
2.1. Plant Material and Culture Conditions
2.2. Somatic Embryogeneis Induction and Secondary Metabolite Quantification
2.3. Statistical Analysis
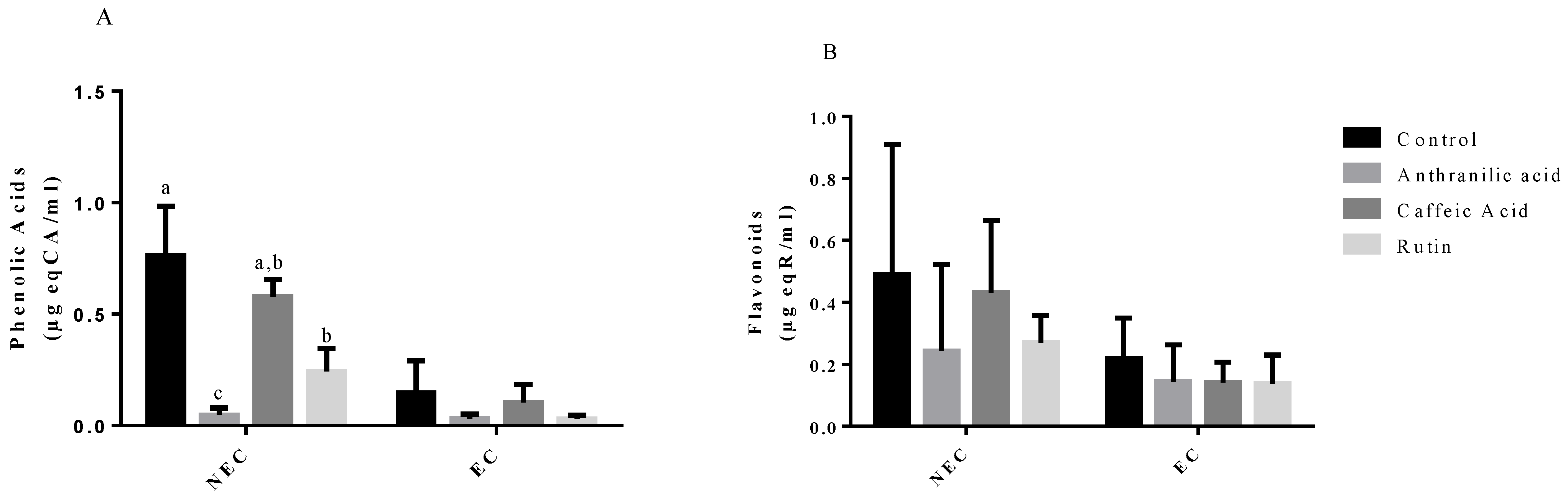
3. Results and Discussion
3.1. Induction Phase
3.2. EC and NEC Growth
4. Conclusions
Author Contributions
Funding
Institutional Review Board Statement
Informed Consent Statement
Conflicts of Interest
References
- Martin, D.; Lopes, T.; Correia, S.; Canhoto, J.; Marques, M.P.M.; de Carvalho, L.A.B. Nutraceutical properties of tamarillo fruits: A vibrational study. Spectrochim. Acta Part A Mol. Biomol. Spectrosc. 2021, 252, 119501. [Google Scholar] [CrossRef] [PubMed]
- Correia, S.; Lopes, M.L.; Canhoto, J. Somatic embryogenesis induction system for cloning an adult Cyphomandra betacea (Cav.) Sendt. (tamarillo). Trees 2011, 25, 1009–1020. [Google Scholar] [CrossRef]
- Correia, S.; Canhoto, J.M. Somatic Embryogenesis of Tamarillo (Solanum betaceum Cav.). In Step Wise Protocols for Somatic Embryogenesis of Important Woody Plants; Springer: Cham, Switzerland, 2018; pp. 171–179. [Google Scholar]
- Fehér, A. Somatic embryogenesis—Stress-induced remodeling of plant cell fate. Biochim. Biophys. Acta (BBA)-Bioenerg. 2015, 1849, 385–402. [Google Scholar] [CrossRef] [PubMed]
- Reis, E.; Batista, M.T.; Canhoto, J. Effect and analysis of phenolic compounds during somatic embryogenesis induction in Feijoa sellowiana Berg. Protoplasma 2008, 232, 193–202. [Google Scholar] [CrossRef] [PubMed] [Green Version]
- Murashige, T.; Skoog, F. A Revised Medium for Rapid Growth and Bio Assays with Tobacco Tissue Cultures. Physiol. Plant. 1962, 15, 473–497. [Google Scholar] [CrossRef]
- Alves, A.; Caeiro, A.; Correia, S.I.; Veríssimo, P.; Canhoto, J. Establishment and biochemical characterization of tamarillo (Solanum betaceum Cav.) embryogenic cell suspension cultures. In Vitro Cell. Dev. Biol.-Anim. 2017, 53, 606–618. [Google Scholar] [CrossRef]
- CI, K.C.; Indira, G. Quantitative estimation of total phenolic, flavonoids, tannin and chlorophyll content of leaves of Strobilanthes kunthiana (Neelakurinji). J. Med. Plants Stud. 2016, 4, 282–286. [Google Scholar]
- Sagharyan, M.; Ganjeali, A.; Cheniany, M.; Kouhi, S.M.M. Optimization of Callus Induction with Enhancing Production of Phenolic Compounds Production and Antioxidants Activity in Callus Cultures of Nepeta binaloudensis Jamzad (Lamiaceae). Iran. J. Biotechnol. 2020, 18, e2621. [Google Scholar] [CrossRef] [PubMed]
- Zavattieri, M.A.; Frederico, A.M.; Lima, M.; Sabino, R.; Arnholdt-Schmitt, B. Induction of somatic embryogenesis as an example of stress-related plant reactions. Electron. J. Biotechnol. 2010, 13, 12–13. [Google Scholar] [CrossRef] [Green Version]
- Ryan, K.G.; Swinny, E.E.; Markham, K.R.; Winefield, C. Flavonoid gene expression and UV photoprotection in transgenic and mutant Petunia leaves. Phytochemistry 2002, 59, 23–32. [Google Scholar] [CrossRef]
- Doyle, S.M.; Rigal, A.; Grones, P.; Karady, M.; Barange, D.K.; Majda, M.; Pařízková, B.; Karampelias, M.; Zwiewka, M.; Pěnčík, A.; et al. A role for the auxin precursor anthranilic acid in root gravitropism via regulation of PIN-FORMED protein polarity and relocalisation in Arabidopsis. New Phytol. 2019, 223, 1420–1432. [Google Scholar] [CrossRef] [PubMed] [Green Version]
- Funayama, S.; Cordell, G.A.B.T.-A. Alkaloids Derived from Tryptophan. In Alkaloid; Academic Press: Boston, MA, USA, 2015; pp. 63–102. [Google Scholar]
- Victório, C.P.; Arruda, R.D.C.D.O.; Lage, C.L.S.; Kuster, R.M. Production of Flavonoids in Organogenic Cultures of Alpinia Zerumbet. Nat. Prod. Commun. 2010, 5, 1219–1223. [Google Scholar] [CrossRef] [PubMed] [Green Version]



Publisher’s Note: MDPI stays neutral with regard to jurisdictional claims in published maps and institutional affiliations. |
© 2021 by the authors. Licensee MDPI, Basel, Switzerland. This article is an open access article distributed under the terms and conditions of the Creative Commons Attribution (CC BY) license (https://creativecommons.org/licenses/by/4.0/).
Share and Cite
Caeiro, A.; Ventura, F.; Correia, S.; Canhoto, J. Changes of Secondary Metabolites during Tamarillo Somatic Embryogenesis. Biol. Life Sci. Forum 2022, 11, 39. https://doi.org/10.3390/IECPS2021-12051
Caeiro A, Ventura F, Correia S, Canhoto J. Changes of Secondary Metabolites during Tamarillo Somatic Embryogenesis. Biology and Life Sciences Forum. 2022; 11(1):39. https://doi.org/10.3390/IECPS2021-12051
Chicago/Turabian StyleCaeiro, André, Filipa Ventura, Sandra Correia, and Jorge Canhoto. 2022. "Changes of Secondary Metabolites during Tamarillo Somatic Embryogenesis" Biology and Life Sciences Forum 11, no. 1: 39. https://doi.org/10.3390/IECPS2021-12051
APA StyleCaeiro, A., Ventura, F., Correia, S., & Canhoto, J. (2022). Changes of Secondary Metabolites during Tamarillo Somatic Embryogenesis. Biology and Life Sciences Forum, 11(1), 39. https://doi.org/10.3390/IECPS2021-12051

