Absolute Eosinophil Count and Albumin–Globulin Ratio as Predictors of Delayed Graft Function in Deceased Donor Kidney Transplant: A Retrospective Analysis
Abstract
1. Introduction
2. Materials and Methods
3. Statistical Analysis
4. Results
5. Discussion
6. Conclusions
Author Contributions
Funding
Institutional Review Board Statement
Informed Consent Statement
Data Availability Statement
Conflicts of Interest
List of Abbreviations
| DGF | Delayed Graft Function |
| SGF | Slow Graft Function |
| IGF | Immediate Graft Function |
| AEC | Absolute Eosinophil Count |
| AGR | Albumin–Globulin Ratio |
| CCR1 | Creatinine Clearance Ratio 1 |
| CCR2 | Creatinine Clearance Ratio 2 |
| CKD | Chronic Kidney Disease |
| DDKT | Deceased donor kidney transplant |
| ATN | Acute Tubular Injury |
| PPV | Positive Predictive Value |
| NPV | Negative Predictive Value |
| ROC | Receiver Operating Curve |
| AUC | Area Under Curve |
References
- Kovesdy, C.P. Epidemiology of Chronic Kidney Disease: An Update 2022. Kidney Int. Suppl. 2022, 12, 7–11. [Google Scholar] [CrossRef] [PubMed]
- Rodrigo, E.; Ruiz, J.C.; Piñera, C.; Fernández-Fresnedo, G.; Escallada, R.; Palomar, R.; Cotorruelo, J.G.; Zubimendi, J.A.; Martín De Francisco, A.L.; Arias, M. Creatinine Reduction Ratio on Post-Transplant Day Two as Criterion in Defining Delayed Graft Function. Am. J. Transplant. 2004, 4, 1163–1169. [Google Scholar] [CrossRef] [PubMed]
- Kaufmann, K.B.; Baar, W.; Silbach, K.; Knörlein, J.; Jänigen, B.; Kaben, J.; Heinrich, S.; Pisarski, P.; Buerkle, H.; Göbel, U. Modifiable Risk Factors for Delayed Graft Function After Deceased Donor Kidney Transplantation. Prog. Transplant. 2019, 29, 269–274. [Google Scholar] [CrossRef] [PubMed]
- Halloran, P.F.; Hunsicker, L.G. Delayed Graft Function: State of the Art, November 10-11, 2000. Summit Meeting, Scottsdale, Arizona, USA. Am. J. Transplant. 2001, 1, 115–120. [Google Scholar] [CrossRef]
- Ponticelli, C.; Reggiani, F.; Moroni, G. Delayed Graft Function in Kidney Transplant: Risk Factors, Consequences and Prevention Strategies. J. Pers. Med. 2022, 12, 1557. [Google Scholar] [CrossRef] [PubMed]
- Zhou, T.; He, X.; Fang, W.; Zhan, J.; Hong, S.; Qin, T.; Ma, Y.; Sheng, J.; Zhou, N.; Zhao, Y.; et al. Pretreatment Albumin/Globulin Ratio Predicts the Prognosis for Small-Cell Lung Cancer. Medicine 2016, 95, e3097. [Google Scholar] [CrossRef] [PubMed]
- Xia, Z.; Fu, X.; Yuan, X.; Li, J.; Wang, H.; Sun, J.; Wu, J.; Tang, L. Serum Albumin to Globulin Ratio Prior to Treatment as a Potential Non-Invasive Prognostic Indicator for Urological Cancers. Front. Nutr. 2022, 9, 1012181. [Google Scholar] [CrossRef] [PubMed]
- Azab, B.N.; Bhatt, V.R.; Vonfrolio, S.; Bachir, R.; Rubinshteyn, V.; Alkaied, H.; Habeshy, A.; Patel, J.; Picon, A.I.; Bloom, S.W. Value of the Pretreatment Albumin to Globulin Ratio in Predicting Long-Term Mortality in Breast Cancer Patients. Am. J. Surg. 2013, 206, 764–770. [Google Scholar] [CrossRef] [PubMed]
- Dialameh, H.; Menbari Oskouie, I.; Kasaeian, A.; Mousavi, S.H.; Ghaderi, A.; Sharafi, A.; Khalili, A.; Nazarpour, M.J. Albumin-to-Globulin and Neutrophil-to-Lymphocyte Ratios: Potential Prognostic Markers for Delayed Graft Function in Kidney Transplantation. Transl. Res. Urol. 2025, 7, 61–69. [Google Scholar] [CrossRef]
- Wang, G.-Y.; Li, H.; Liu, W.; Zhang, J.; Zhu, H.-B.; Wang, G.-S.; Zhang, Q.; Yang, Y.; Chen, G.-H. Elevated Blood Eosinophil Count Is a Valuable Biomarker for Predicting Late Acute Cellular Rejection after Liver Transplantation. Transplant. Proc. 2013, 45, 1198–1200. [Google Scholar] [CrossRef] [PubMed]
- Rodríguez-Perálvarez, M.; Germani, G.; Tsochatzis, E.; Rolando, N.; Luong, T.V.; Dhillon, A.P.; Thorburn, D.; O’Beirne, J.; Patch, D.; Burroughs, A.K. Predicting Severity and Clinical Course of Acute Rejection after Liver Transplantation Using Blood Eosinophil Count. Transpl. Int. 2012, 25, 555–563. [Google Scholar] [CrossRef] [PubMed]
- Onyema, O.O.; Guo, Y.; Hata, A.; Kreisel, D.; Gelman, A.E.; Jacobsen, E.A.; Krupnick, A.S. Deciphering the Role of Eosinophils in Solid Organ Transplantation. Am. J. Transplant. 2020, 20, 924–930. [Google Scholar] [CrossRef]
- Goldwasser, P.; Feldman, J. Association of Serum Albumin and Mortality Risk. J. Clin. Epidemiol. 1997, 50, 693–703. [Google Scholar] [CrossRef] [PubMed]
- Menon, V.; Greene, T.; Wang, X.; Pereira, A.A.; Marcovina, S.M.; Beck, G.J.; Kusek, J.W.; Collins, A.J.; Levey, A.S.; Sarnak, M.J. C-Reactive Protein and Albumin as Predictors of All-Cause and Cardiovascular Mortality in Chronic Kidney Disease. Kidney Int. 2005, 68, 766–772. [Google Scholar] [CrossRef] [PubMed]
- Molnar, M.Z.; Kovesdy, C.P.; Bunnapradist, S.; Streja, E.; Mehrotra, R.; Krishnan, M.; Nissenson, A.R.; Kalantar-Zadeh, K. Associations of Pretransplant Serum Albumin with Post-Transplant Outcomes in Kidney Transplant Recipients. Am. J. Transplant. 2011, 11, 1006–1015. [Google Scholar] [CrossRef] [PubMed]
- Soeters, P.B.; Wolfe, R.R.; Shenkin, A. Hypoalbuminemia: Pathogenesis and Clinical Significance. J. Parenter. Enter. Nutr. 2018, 43, 181–193. [Google Scholar] [CrossRef] [PubMed]
- Rodrigo, E.; Miñambres, E.; Ruiz, J.C.; Ballesteros, A.; Piñera, C.; Quintanar, J.; Fernández-Fresnedo, G.; Palomar, R.; Gómez-Alamillo, C.; Arias, M. Prediction of Delayed Graft Function by Means of a Novel Web-Based Calculator: A Single-Center Experience. Am. J. Transplant. 2012, 12, 240–244. [Google Scholar] [CrossRef] [PubMed]
- Govani, M.V.; Kwon, O.; Batiuk, T.D.; Milgrom, M.L.; Filo, R.S. Creatinine Reduction Ratio and 24-Hour Creatinine Excretion on Posttransplant Day Two: Simple and Objective Tools to Define Graft Function. J. Am. Soc. Nephrol. 2002, 13, 1645–1649. [Google Scholar] [CrossRef] [PubMed]



| Variables | Group 1 (DGF) (n = 15) % | Group 2 (Non DGF) (n = 23) % | p Value |
|---|---|---|---|
| Age (mean ± SD) | 43.5 ± 10.3 | 43.1 ± 9.05 | 0.91 |
| Gender, n (%) | 0.8 | ||
| Female | 4 (10.5%) | 7 (18.4%) | |
| Male | 11 (28.9%) | 16 (42.2%) | |
| Hemoglobin (mg/dL) (mean ± SD) | 10.82 ± 1.67 | 10.4 ± 1.96 | 0.5 |
| Hematocrit (mean ± SD) | 32.85 ± 5.03 | 31.2 ± 5.95 | 0.38 |
| White blood cell count 103/µm (mean ± SD) | 6.25 ± 2.27 | 6.76 ± 1.9 | 0.45 |
| Absolute lymphocyte count (mean ± SD) | 1.42 ± 0.39 | 1.4 ± 0.53 | 0.93 |
| Albumin (g/dL) (mean ± SD) | 4.38 ± 0.43 | 4.48 ± 0.33 | 0.43 |
| Globulin (g/dL) (mean ± SD) | 3.11 ± 0.48 | 2.79 ± 0.52 | 0.07 |
| Albumin Globulin Ratio (AGR) (mean ± SD) | 1.43 ± 0.22 | 1.66 ± 0.39 | 0.02 |
| Pre-operative creatinine (mg/dL) (mean ± SD) | 8.13 ± 2.19 | 7.84 ± 2.63 | 0.72 |
| Calcium (mg/dL) (mean ± SD) | 8.84 ± 0.93 | 8.62 ± 0.94 | 0.49 |
| Phosphorous (mg/dL) (mean ± SD) | 4.87 ± 1.48 | 4.84 ± 1.38 | 0.95 |
| Uric acid (mg/dL) (mean ± SD) | 5.89 ± 1.21 | 5.23 ± 1.48 | 0.16 |
| Neutrophil Lymphocyte Ratio (NLR) (mean ± SD) | 3.82 ± 2.37 | 4.44 ± 7.22 | 0.75 |
| Absolute Eosinophil Count (AEC) × 103/µm (mean ± SD) | 0.2 ± 0.16 | 0.4 ± 0.35 | 0.04 |
| Warm ischemia time (minutes) | 36.1 ± 3.94 | 36.2 ± 4.70 | 0.93 |
| Cold ischemia time (hours) | 4.97 ± 0.7 | 5.04 ± 0.7 | 0.74 |
| Creatinine clearance ratio 1 (CCR 1) | 22.3 ± 21.8 | 43.9 ± 23.1 | 0.007 |
| Creatinine clearance ratio 2 (CCR 2) | −12 ± 23.9 | 23.1 ± 31.1 | <0.001 |
| Antibody-mediated rejection (ABMR) | 3 (20%) | 1 (4.32%) | 0.12 |
| Acute cell-mediated rejection (ACMR) | 2 (13.3%) | 1 (4.32%) | 0.31 |
| Acute tubular necrosis (ATN) | 2 (13.3%) | 1 (4.32%) | 0.31 |
| Follow-up serum creatinine at the 6th month | 1.89 ± 1.18 | 1.54 ± 0.92 | 0.34 |
| Restarted on hemodialysis | 3 (20%) | 1 (4.32%) | 0.12 |
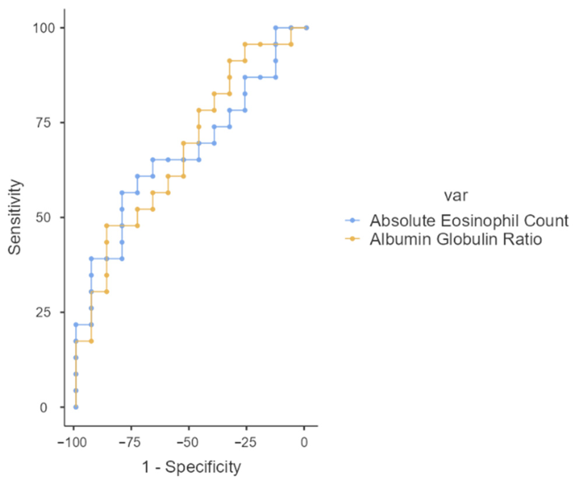
| AUC | Sensitivity | Specificity | PPV (%) | NPV (%) | Metric Score | Youden’s Index | Cut Point | p-Value | |
|---|---|---|---|---|---|---|---|---|---|
| AEC | 0.672 | 56.52 | 80% | 81.25% | 54.55% | 1.37 | 0.365 | 0.277 | 0.04 |
| AGR | 0.681 | 47.83 | 86.67% | 84.62% | 52% | 1.34 | 0.345 | 1.611 | 0.04 |
| Combined AEC and AGR | 0.803 | 78.3% | 73.3% | 81.82% | 68.75% | - | - | 0.5 | 0.03 |
Disclaimer/Publisher’s Note: The statements, opinions and data contained in all publications are solely those of the individual author(s) and contributor(s) and not of MDPI and/or the editor(s). MDPI and/or the editor(s) disclaim responsibility for any injury to people or property resulting from any ideas, methods, instructions or products referred to in the content. |
© 2025 by the authors. Licensee MDPI, Basel, Switzerland. This article is an open access article distributed under the terms and conditions of the Creative Commons Attribution (CC BY) license (https://creativecommons.org/licenses/by/4.0/).
Share and Cite
Choudhary, A.; Krishnakanth, A.V.B.; Surag, K.R.; Viswanath, K.; Shah, A.; Pillai, S.; Hegde, P. Absolute Eosinophil Count and Albumin–Globulin Ratio as Predictors of Delayed Graft Function in Deceased Donor Kidney Transplant: A Retrospective Analysis. Kidney Dial. 2025, 5, 56. https://doi.org/10.3390/kidneydial5040056
Choudhary A, Krishnakanth AVB, Surag KR, Viswanath K, Shah A, Pillai S, Hegde P. Absolute Eosinophil Count and Albumin–Globulin Ratio as Predictors of Delayed Graft Function in Deceased Donor Kidney Transplant: A Retrospective Analysis. Kidney and Dialysis. 2025; 5(4):56. https://doi.org/10.3390/kidneydial5040056
Chicago/Turabian StyleChoudhary, Anupam, A. V. B. Krishnakanth, K. R. Surag, Kasi Viswanath, Abhijit Shah, Sunil Pillai, and Padmaraj Hegde. 2025. "Absolute Eosinophil Count and Albumin–Globulin Ratio as Predictors of Delayed Graft Function in Deceased Donor Kidney Transplant: A Retrospective Analysis" Kidney and Dialysis 5, no. 4: 56. https://doi.org/10.3390/kidneydial5040056
APA StyleChoudhary, A., Krishnakanth, A. V. B., Surag, K. R., Viswanath, K., Shah, A., Pillai, S., & Hegde, P. (2025). Absolute Eosinophil Count and Albumin–Globulin Ratio as Predictors of Delayed Graft Function in Deceased Donor Kidney Transplant: A Retrospective Analysis. Kidney and Dialysis, 5(4), 56. https://doi.org/10.3390/kidneydial5040056

