“Comprehensive Analysis of Factors Influencing Recurrence and Survival in Glioblastoma: Implications for Treatment Strategies”: A Single Center Study †
Abstract
1. Introduction
2. Materials and Methods
2.1. Patients Characteristics
2.2. Statistical Analysis
3. Results
3.1. Baseline Characteristics of the Study Population
3.2. Radiological Findings
3.3. Predictors of Glioblastoma Tumor Recurrence
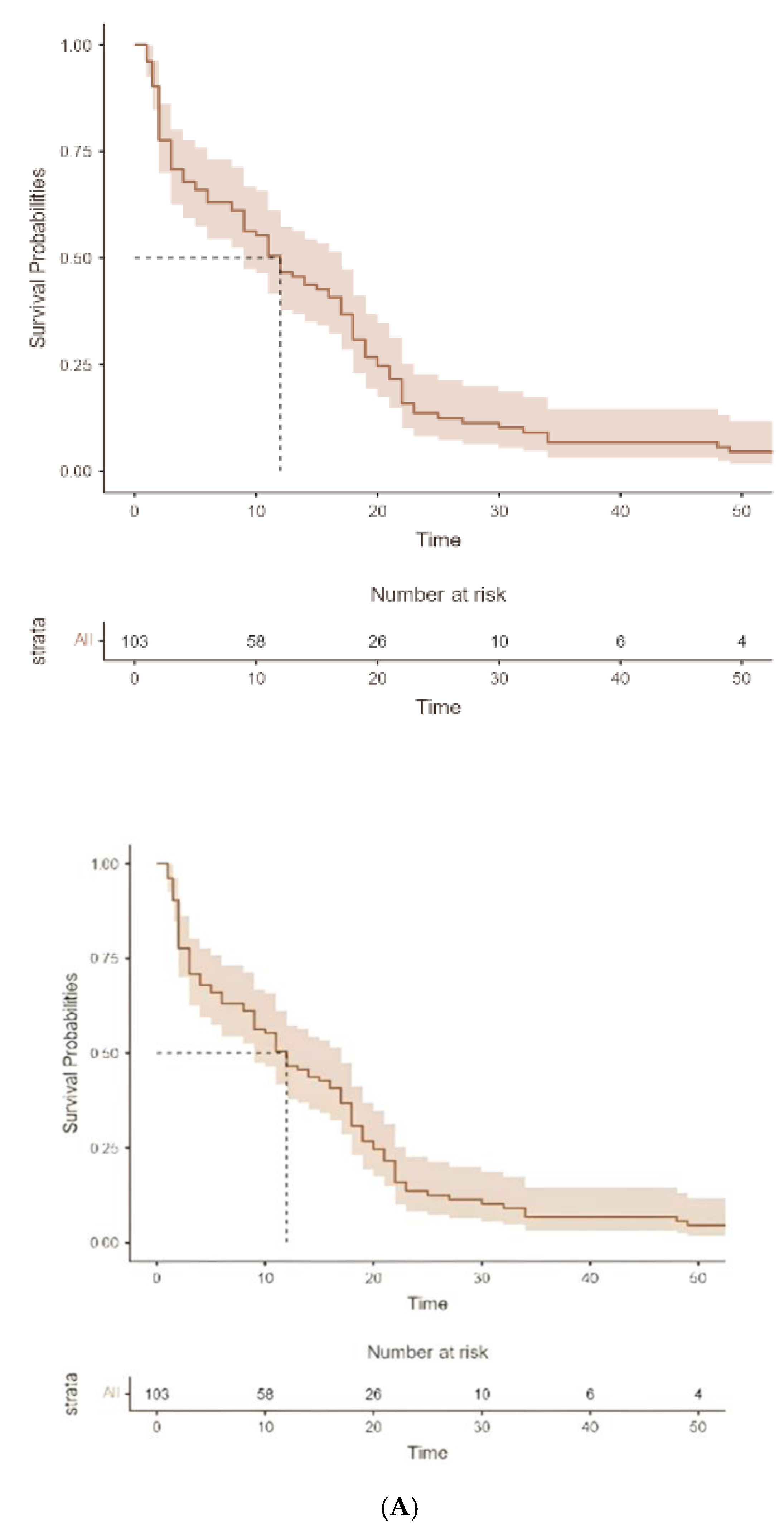
3.4. Survival Analysis
4. Discussion
5. Conclusions
Author Contributions
Funding
Institutional Review Board Statement
Informed Consent Statement
Data Availability Statement
Acknowledgments
Conflicts of Interest
References
- Koshy, M.; Villano, J.L.; Dolecek, T.A.; Howard, A.; Mahmood, U.; Chmura, S.J.; Weichselbaum, R.R.; McCarthy, B.J. Improved survival time trends for glioblastoma using the SEER 17 population-based registries. J. Neuro-Oncol. 2012, 107, 207–212. [Google Scholar] [CrossRef] [PubMed]
- Bendari, A.; Sham, S.; Hammoud, H.; Al-Refai, R.; Abdelhafez, A.; Harshan, M. Application of WHO CNS Fifth Edition Criteria for Glioblastoma Multiforme Diagnosis: A single center study. Am. J. Clin. Pathol. 2023, 160, S91. [Google Scholar] [CrossRef]
- Weller, M.; van den Bent, M.; Tonn, J.C.; Stupp, R.; Preusser, M.; Cohen-Jonathan-Moyal, E.; Henriksson, R.; Le Rhun, E.; Balana, C.; Chinot, O.; et al. European Association for Neuro-Oncology (EANO) guideline on the diagnosis and treatment of adult astrocytic and oligodendroglial gliomas. Lancet Oncol. 2017, 18, e315–e329. [Google Scholar] [CrossRef] [PubMed]
- Mori, T.; Mizumoto, M.; Maebayashi, K.; Nishioka, K.; Arakawa, Y.; Kurozumi, K.; Yasuda, K.; Sumiya, T.; Tamamura, H.; Sato, Y.; et al. Proton beam therapy for gliomas: A multicenter prospective registry study from all proton beam facilities in Japan. J. Radiat. Res. 2023, 64 (Suppl. 1), i59–i68. [Google Scholar] [CrossRef] [PubMed Central]
- Fekete, B.; Werlenius, K.; Tisell, M.; Pivodic, A.; Smits, A.; Jakola, A.S.; Rydenhag, B. What predicts survival in glioblastoma? A population-based study of changes in clinical management and outcome. Front. Surg. 2023, 10, 1249366. [Google Scholar] [CrossRef]
- Brain Cancer Hope: 19.9 Month Median Survival with New Combo. Available online: https://www.targetedonc.com/view/brain-cancer-hope-19-9-month-median-survival-with-new-combo (accessed on 14 November 2024).
- Sabouri, M.; Dogonchi, A.F.; Shafiei, M.; Tehrani, D.S. Survival rate of patient with glioblastoma: A population-based study. Egypt. J. Neurosurg. 2024, 39, 42. [Google Scholar] [CrossRef]
- Malkki, H. Glioblastoma vaccine therapy disappointment in Phase III trial. Nat. Rev. Neurol. 2016, 12, 190. [Google Scholar] [CrossRef]
- Sanai, N.; Berger, M.S. Glioma extent of resection and its impact on patient outcome. Neurosurgery 2008, 62, 753–766. [Google Scholar] [CrossRef] [PubMed]
- Weller, M.; Cloughesy, T.; Perry, J.R.; Wick, W. Standards of care for treatment of recurrent glioblastoma—Are we there yet? Neuro-Oncology 2013, 15, 4–27. [Google Scholar] [CrossRef]
- Molinaro, A.M.; Hervey-Jumper, S.; Morshed, R.A.; Young, J.; Han, S.J.; Chunduru, P.; Zhang, Y.; Phillips, J.J.; Shai, A.; Lafontaine, M.; et al. Association of Maximal Extent of Resection of Contrast-Enhanced and Non–Contrast-Enhanced Tumor with Survival Within Molecular Subgroups of Patients with Newly Diagnosed Glioblastoma. JAMA Oncol. 2020, 6, 495–503. [Google Scholar] [CrossRef] [PubMed]
- Sanai, N.; Polley, M.; McDermott, M.W.; Parsa, A.T.; Berger, M.S. An extent of resection threshold for newly diagnosed glioblastomas: Clinical article. J. Neurosurg. JNS 2011, 115, 3–8. [Google Scholar] [CrossRef] [PubMed]
- Woodworth, G.F.; Garzon-Muvdi, T.; Ye, X.; Blakeley, J.O.; Weingart, J.D.; Burger, P.C. Histopathological correlates with survival in reoperated glioblastomas. J. Neuro-Oncol. 2013, 113, 485–493. [Google Scholar] [CrossRef]
- Melguizo-Gavilanes, I.; Bruner, J.M.; Guha-Thakurta, N.; Hess, K.R.; Puduvalli, V.K. Characterization of pseudoprogression in patients with glioblastoma: Is histology the gold standard? J. Neuro-Oncol. 2015, 123, 141–150. [Google Scholar] [CrossRef] [PubMed]
- Stark, A.M.; van de Bergh, J.; Hedderich, J.; Mehdorn, H.M.; Nabavi, A. Glioblastoma: Clinical characteristics, prognostic factors and survival in 492 patients. Clin. Neurol. Neurosurg. 2012, 114, 840–845. [Google Scholar] [CrossRef]
- Stark, A.M.; Nabavi, A.; Mehdorn, H.M.; Blömer, U. Glioblastoma multiforme—Report of 267 cases treated at a single institution. Surg. Neurol. 2005, 63, 162–169. [Google Scholar] [CrossRef] [PubMed]
- Filippini, G.; Falcone, C.; Boiardi, A.; Broggi, G.; Bruzzone, M.G.; Caldiroli, D.; Farina, R.; Farinotti, M.; Fariselli, L.; Finocchiaro, G.; et al. Prognostic factors for survival in 676 consecutive patients with newly diagnosed primary glioblastoma. Neuro-Oncology 2008, 10, 79–87. [Google Scholar] [CrossRef]
- Lewis, J.J.; Antonescu, C.R.; Leung, D.H.; Blumberg, D.; Healey, J.H.; Woodruff, J.M.; Brennan, M.F. Synovial sarcoma: A multivariate analysis of prognostic factors in 112 patients with primary localized tumors of the extremity. J. Clin. Oncol. 2000, 18, 2087–2094. [Google Scholar] [CrossRef]
- Lacroix, M.; Abi-Said, D.; Fourney, D.R.; Gokaslan, Z.L.; Shi, W.; DeMonte, F.; Lang, F.F.; McCutcheon, I.E.; Hassenbusch, S.J.; Holland, E.; et al. A multivariate analysis of 416 patients with glioblastoma multiforme: Prognosis, extent of resection, and survival. J. Neurosurg. 2001, 95, 190–198. [Google Scholar] [CrossRef] [PubMed]
- Batzdorf, U.; Malamud, N. The problem of multicentric gliomas. J. Neurosurg. 1963, 20, 122–136. [Google Scholar] [CrossRef] [PubMed]
- Salvati, M.; Caroli, E.; Orlando, E.R.; Frati, A.; Artizzu, S.; Ferrante, L. Multicentric glioma: Our experience in 25 patients and critical review of the literature. Neurosurg. Rev. 2003, 26, 275–279. [Google Scholar] [CrossRef] [PubMed]
- Kleihues, P. Glioblastoma. In Pathology and Genetics of Tumours of the Nervous System; International Agency for Research on Cancer: Leon, France, 2000. [Google Scholar]
- Stark, A.M.; Hedderich, J.; Held-Feindt, J.; Mehdorn, H.M. Glioblastoma—The consequences of advanced patient age on treatment and survival. Neurosurg. Rev. 2007, 30, 56–62. [Google Scholar] [CrossRef]
- Li, S.-W.; Qiu, X.-G.; Chen, B.-S.; Zhang, W.; Ren, H.; Wang, Z.-C.; Jiang, T. Prognostic factors influencing clinical outcomes of glioblastoma multiforme. Chin. Med. J. 2009, 122, 1245–1249. [Google Scholar] [PubMed]
- Szylberg, M.; Sokal, P.; Śledzińska, P.; Bebyn, M.; Krajewski, S.; Szylberg, Ł.; Szylberg, A.; Szylberg, T.; Krystkiewicz, K.; Birski, M.; et al. MGMT Promoter Methylation as a Prognostic Factor in Primary Glioblastoma: A Single-Institution Observational Study. Biomedicines 2022, 10, 2030. [Google Scholar] [CrossRef] [PubMed] [PubMed Central]
- Egaña, L.; Auzmendi-Iriarte, J.; Andermatten, J.; Villanua, J.; Ruiz, I.; Elua-Pinin, A.; Aldaz, P.; Querejeta, A.; Sarasqueta, C.; Zubia, F.; et al. Methylation of MGMT promoter does not predict response to temozolomide in patients with glioblastoma in Donostia Hospital. Sci. Rep. 2020, 10, 18445. [Google Scholar] [CrossRef] [PubMed]
- Li, J.; Liang, R.; Song, C.; Xiang, Y.; Liu, Y. Prognostic significance of epidermal growth factor receptor expression in glioma patients. OncoTargets Ther. 2018, 11, 731–742. [Google Scholar] [CrossRef] [PubMed] [PubMed Central]
- Choi, Y.; Song, Y.J.; Lee, H.S.; Hur, W.J.; Sung, K.H.; Kim, K.U.; Choi, S.S.; Kim, S.J.; Kim, D.C. Epidermal Growth Factor Receptor Is Related to Poor Survival in Glioblastomas: Single-Institution Experience. Yonsei Med. J. 2013, 54, 101–107. [Google Scholar] [CrossRef] [PubMed]



| Frequency | % | Glioblastoma Tumor Recurrence | p Value | ||
|---|---|---|---|---|---|
| Yes n (%) | No n (%) | ||||
| Age | 0.02 a,* | ||||
| Mean age ± (SD) | 63.3 ± (15.5) | - | - | - | |
| Less than 60 | 45 | 43.3 | 21 (46.7) | 24 (53.3) | |
| More than 60 | 59 | 56.7 | 15 (25.4) | 44 (74.6) | |
| Gender | 0.13 a | ||||
| Male | 68 | 65.4 | 27 (39.7) | 41 (60.3) | |
| Female | 36 | 34.6 | 9 (25.0) | 27 (75.0) | |
| BMI | 0.14 a | ||||
| Mean BMI ± (SD) | 26.6 ± (5.3) | - | - | - | |
| Normal | 45 | 43.3 | 18 (40.0) | 27 (60.0) | |
| Overweight | 36 | 34.6 | 14 (38.9) | 22 (61.1) | |
| Obese | 23 | 22.1 | 4 (17.4) | 19 (82.6) | |
| Tumor Size (Radiology) | 0.5 a | ||||
| Mean size ± (SD) | 4 | - | - | - | |
| Less than 4 cm | 68 | 65.4 | 22 (32.4) | 46 (67.6) | |
| More than 4 cm | 36 | 34.6 | 14 (38.9) | 22 (61.1) | |
| Necrosis (Radiology) | 0.09 a | ||||
| No | 52 | 50.0 | 14 (26.9) | 30 (73.1) | |
| Yes | 52 | 50.0 | 22 (42.3) | 38 (57.7) | |
| Radiological Site | 0.07 a | ||||
| Parietal | 27 | 26.0 | 5 (18.5) | 22 (81.5) | |
| Frontal | 33 | 31.7 | 13 (39.4) | 20 (61.6) | |
| Temporal | 31 | 29.8 | 15 (48.4) | 16 (51.6) | |
| Others | 13 | 12.5 | 3 (23.1) | 10 (76.9) | |
| Focality (Radiology) | 0.6 b | ||||
| 1 focus | 90 | 86.5 | 33 (36.7) | 57 (63.3) | |
| 2 foci | 10 | 9.6 | 2 (20.0) | 8 (80.0) | |
| 3 foci | 4 | 3.8 | 1 (25.0) | 3 (75.0) | |
| Explanatory Variables | Univariate Analysis | Multivariate Analysis | ||||
|---|---|---|---|---|---|---|
| Crude OR | 95% CI | p Value | AOR † | 95% CI | p Value | |
| Age Less than 60 More than 60 | 0.40 | (0.17–0.89) | 0.02 * | 0.23 | (0.08–0.66) | 0.007 * |
| Gender Male Female | 0.50 | (0.21–1.20) | 0.13 | 0.11 | (0.04–0.59) | 0.007 * |
| BMI Normal Overweight Obese | 1.00 0.95 0.32 | Reference (0.39–2.34) (0.92–1.08) | 0.92 0.07 | 1.00 0.43 0.11 | Reference (0.12–1.57) (0.19–0.54) | 0.199 0.008 * |
| Tumor Size Less than 4 More than 4 | 0.75 | (0.32–1.74) | 0.50 | 0.38 | (0.12–1.32) | 0.128 |
| Necrosis (Radiology) No Yes | 2.00 | (0.87–4.53) | 0.10 | 2.75 | (0.84–8.94) | 0.093 |
| Radiological Site Parietal Frontal Temporal Others | 1.00 2.86 4.13 1.32 | Reference (0.86–9.45) (1.24–13.7) (0.26–6.64) | 0.08 0.02 * 0.73 | 1.00 6.36 7.09 1.51 | Reference (1.28–31.7) (1.59–31.6) (0.21–11.3) | 0.024 * 0.010 * 0.684 |
| Focality 1 focus 2 foci 3 foci | 1.00 0.43 0.58 | Reference (0.09–2.16) (0.06–5.76) | 0.31 0.64 | 1.00 0.09 0.29 | Reference (0.01–1.78) (0.01–5.89) | 0.05 * 0.425 |
| MGMT promotor methylation status No Yes | 1.33 | (0.61–2.95) | 0.47 | 0.55 | (0.18–1.67) | 0.294 |
| EGFR Positive Negative | 0.97 | (0.424–2.24) | 0.95 | 1.21 | (0.42–3.47) | 0.735 |
| Recurrence | p-Value | ||
|---|---|---|---|
| Yes (n = 36) | No (n = 68) | ||
| No treatment | 2 (5.6%) | 27 (39.7%) | <0.001 |
| Standard treatment | 3 (8.3%) | 5 (7.35%) | |
| Non-standard treatment | 31 (86.1%) | 35 (51.4%) | |
| Variable | N. | Median Survival 95% CI | p-Value | Hazard Ratio Univariate | Hazard Ratio Multivariate |
|---|---|---|---|---|---|
| Age Less than 60 years More than 60 years | 45 59 | 19 (18–22) 5 (3–11) | 0.001 | 2.47 (1.61–3.77) | 2.30 (1.36–3.88) |
| Sex Male female | 68 36 | 10 (3–18) 12 (9–18) | 0.78 | 0.75 (0.50–1.14) | - |
| Recurrence No Yes | 68 36 | 6 (3–10) 19 (18–22) | <0.001 | 0.43 (0.28–0.67) | 1.94 (1.17–3.24) |
| Tumor size Less than 4 cm More than 4 cm | 45 51 | 14 (12–19) 9 (4–17) | 0.336 | 0.82 (0.54–1.24) | - |
| Radiological Site Parietal Frontal Temporal Others | 27 33 31 13 | 8.5 (4–19) 11.5 (4–19) 17 (11–21) 4.5 (2–21) | 0.231 | - 1.04 (0.60–1.79) 0.86 (0.50–1.47) 1.74 (0.86–3.53) | - |
| EGFR alteration Negative Positive | 59 45 | 12 (9–18) 9.50 (4–18) | 0.953 | 0.99 (0.66–1.49) | 0.92 (0.55–1.54) |
| MGMT promoter Methylation Status Negative Positive | 62 42 | 12 (9–17) 11.5 (4–19) | 0.501 | 0.87 (0.57–1.31) | 0.79 (0.46–1.36) |
| Treatment No treatment Non-standard Standard | 18 8 66 | 2 (1.5–3) 10.5 (4–20) 17 (13–19) | <0.001 | - 0.36 (0.15–.083) 0.20 (0.12–0.36) | - 0.38 (0.14–1.03) 0.22 (0.11–0.44) |
| Surgery Biopsy Partial resection Complete resection | 2 88 14 | 23.5 (17–30) 10.5 (6–14) 22 (16–29) | 0.003 | - 1.94 (0.47–7.92) 0.60 (0.13–2.84) | - 1.32 (0.29–6.04) 0.31 (0.05–1.78) |
Disclaimer/Publisher’s Note: The statements, opinions and data contained in all publications are solely those of the individual author(s) and contributor(s) and not of MDPI and/or the editor(s). MDPI and/or the editor(s) disclaim responsibility for any injury to people or property resulting from any ideas, methods, instructions or products referred to in the content. |
© 2024 by the authors. Licensee MDPI, Basel, Switzerland. This article is an open access article distributed under the terms and conditions of the Creative Commons Attribution (CC BY) license (https://creativecommons.org/licenses/by/4.0/).
Share and Cite
Bendari, A.; Sham, S.; Hammoud, H.; Vele, O.; Baskovich, B.; Huang, D.; Bendari, A.; Saks, R.; Al-Refai, R.; Bendari, T.; et al. “Comprehensive Analysis of Factors Influencing Recurrence and Survival in Glioblastoma: Implications for Treatment Strategies”: A Single Center Study. J. Mol. Pathol. 2024, 5, 520-532. https://doi.org/10.3390/jmp5040035
Bendari A, Sham S, Hammoud H, Vele O, Baskovich B, Huang D, Bendari A, Saks R, Al-Refai R, Bendari T, et al. “Comprehensive Analysis of Factors Influencing Recurrence and Survival in Glioblastoma: Implications for Treatment Strategies”: A Single Center Study. Journal of Molecular Pathology. 2024; 5(4):520-532. https://doi.org/10.3390/jmp5040035
Chicago/Turabian StyleBendari, Ahmed, Sunder Sham, Hamed Hammoud, Oana Vele, Brett Baskovich, David Huang, Alaa Bendari, Rachel Saks, Reham Al-Refai, Tasneem Bendari, and et al. 2024. "“Comprehensive Analysis of Factors Influencing Recurrence and Survival in Glioblastoma: Implications for Treatment Strategies”: A Single Center Study" Journal of Molecular Pathology 5, no. 4: 520-532. https://doi.org/10.3390/jmp5040035
APA StyleBendari, A., Sham, S., Hammoud, H., Vele, O., Baskovich, B., Huang, D., Bendari, A., Saks, R., Al-Refai, R., Bendari, T., Kataw, L., Kiran, F., Anjali, F., Kumar, S. K., & Harshan, M. (2024). “Comprehensive Analysis of Factors Influencing Recurrence and Survival in Glioblastoma: Implications for Treatment Strategies”: A Single Center Study. Journal of Molecular Pathology, 5(4), 520-532. https://doi.org/10.3390/jmp5040035

