Mortality Among Pulmonary Tuberculosis and HIV-1 Co-Infected Nigerian Children Being Treated for Pulmonary Tuberculosis and on Antiretroviral Therapy: A Retrospective Cohort Study
Abstract
Introduction
Methods
Study Design
Study Subjects
Study Setting
Patient Care and Management
Ethics Approval
Source of Data
Case Definitions
Outcome Variable
Statistical Analysis
Results
Characteristics of Patients
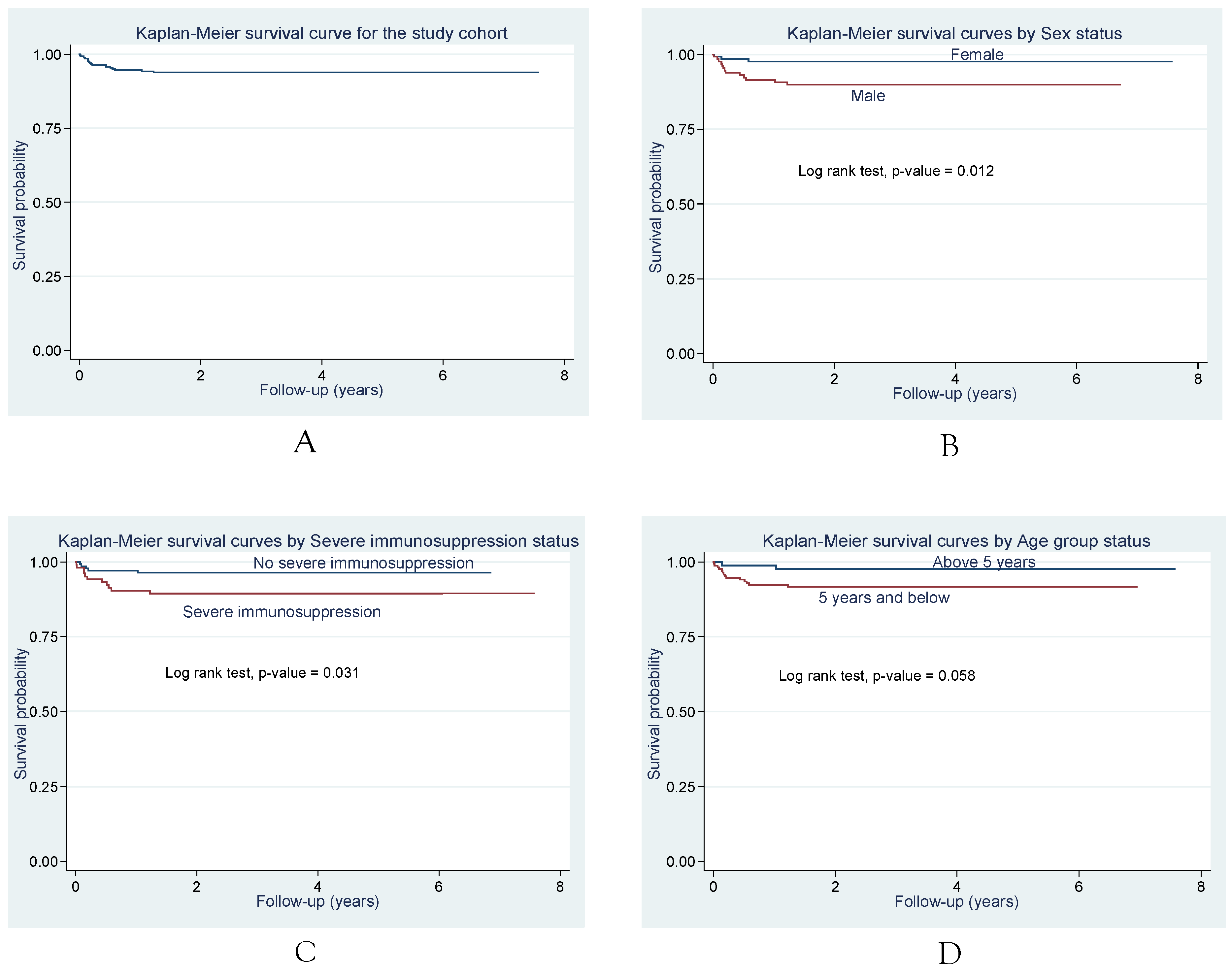
Mortality in the Study Cohort
Discussion
Conclusion
Author Contributions
Funding
Acknowledgments
Conflicts of Interest
References
- WHO TB/HIV Facts 2015. Available online: http://www.who.int/hiv/topics/tb/tbhiv_facts_2015/en/ (accessed on 2 April 2016).
- UNAIDS HIV Factsheet 2014: USA. Available online: http://www.unaids.org/en/resources/campaigns/HowAIDSchangedeverything/factsheet (accessed on 2 April 2016).
- UNAIDS Report 2015 How AIDS Changed Everything (p. 57). Available online: http://www.unaids.org/sites/default/files/media_asset/MDG6Report_en.pdf (accessed on 2 April 2016).
- WHO. Combating Tuberculosis in Children. Available online: http://www.who.int/tb/challenges/childtb_factsheet.pdf?ua=1 (accessed on 2 April 2016).
- Buck, W.C.; Olson, D.; Kabue, M.M.; et al. Risk factors for mortality in Malawian children with human immunodeficiency virus and tuberculosis co-infection. Int J Tuberc Lung Dis 2013, 17, 1389–1395. [Google Scholar] [CrossRef] [PubMed]
- Bakeera-Kitaka, S.; Conesa-Botella, A.; Dhabangi, A.; et al. Tuberculosis in HIV-infected Ugandan children starting on antiretroviral therapy. Int J Tuberc Lung Dis 2011, 15, 1082–1086. [Google Scholar] [CrossRef] [PubMed][Green Version]
- Walters, E.; Cotton, M.F.; Rabie, H.; Schaaf, H.S.; Walters, L.O.; Marais, B.J. Clinical presentation and outcome of tuberculosis in human immunodeficiency virus infected children on anti-retroviral therapy. BMC Pediatr 2008, 8, 1. [Google Scholar] [CrossRef] [PubMed]
- Jeena, P.M.; Pillay, P.; Pillay, T.; Coovadia, H.M. Impact of HIV-1 co-infection on presentation and hospital-related mortality in children with culture proven pulmonary tuberculosis in Durban, South Africa. Int J Tuberc Lung Dis 2002, 6, 672–678. [Google Scholar] [PubMed]
- Hesseling, A.C.; Westra, A.E.; Werschkull, H.; et al. Outcome of HIV infected children with culture confirmed tuberculosis. Arch Dis Child 2005, 90, 1171–1174. [Google Scholar] [CrossRef] [PubMed]
- Ebonyi, A.O.; Oguche, S.; Ejeliogu, E.U.; et al. Prevalence of and risk factors for pulmonary tuberculosis among newly diagnosed HIV-1 infected Nigerian children. Germs 2016, 6, 21–28. [Google Scholar] [CrossRef] [PubMed]
- National Population Commission. Population Distribution by Sex, State, LGA & Senatorial District. 2006 Population and Housing Census: Priority Table Volume III. National Population Commission, of Abuja, Nigeria. Available online: http://catalog.ihsn.org/index.php/catalog/3340/download/48521 (accessed on 26 August 2015).
- Federal Ministry of Health. National Guidelines for Paediatric HIV and AIDS Treatment and Care; 2007. Federal Ministry of Health, Abuja, Nigeria. Available online: http://www.who.int/hiv/amds/Nigeria_paediatric_2007.pdf (accessed on 18 April 2016).
- Federal Ministry of Health. National Guidelines for Paediatric HIV and AIDS Treatment and Care; 2010. Federal Ministry of Health, Abuja, Nigeria. Available online: http://preventcrypto.org/wp-content/uploads/2015/10/NigeriaPaediatricARTguidelines 20101369045239.pdf (accessed on 28 February 2016).
- Federal Ministry of Health. National Tuberculosis and Leprosy Control Programme—Workers’ Manual, Revised 5th Edition; 2010. Federal Ministry of Health, Abuja, Nigeria, Department of Public Health. Available online: http://www.who.int/hiv/pub/guidelines/nigeria_tb.pdf (accessed on 26 August 2014).
- World Health Organization. Antiretroviral Therapy for HIV Infection in Infants and Children: Towards Universal Access. Recommendations for a Public Health Approach; WHO: Geneva, Switzerland, 2009. [Google Scholar]
- World Health Organization (WHO). Global Database on Child Growth and Malnutrition. World Health Organization, Geneva, Switzerland. Available online: http://www.who.int/nutgrowthdb/about/introduction/en/index5.html (accessed on 20 April 2014).
- World Health Organization (WHO). Application Tools: WHO AnthroPlus Software. World Health Organization, Geneva, Switzerland. Available online: http://www.who.int/growthref/tools/en/ (accessed on 21 April 2014).
- Centers for Disease Control and Prevention (CDC). 1994 Revised classification system for human immunodeficiency virus infection in children less than 13 years of age; Official authorized addenda: Human immunodeficiency virus infection codes and official guidelines for coding and reporting ICD-9-CM. MMWR Morb Mortal Wkly Rep 1994, 43, 1–19. [Google Scholar]
- World Health Organization (WHO). Iron Deficiency Anaemia: Assessment, Prevention and Control. A Guide for Program Managers. 2001. Available online: http://www.who.int/nutrition/publications/micronutrients/anaemia_iron_deficiency/WHO_NHD_01.3/en/ (accessed on 26 August 2014).
- Kumar, A.; Upadhyay, S.; Kumari, G. Clinical presentation, treatment outcome and survival among the HIV infected children with culture confirmed tuberculosis. Curr HIV Res 2007, 5, 499–504. [Google Scholar] [CrossRef] [PubMed]
- Sánchez, J.M.; Ramos Amador, J.T.; Fernández de Miguel, S.; et al. Impact of highly active antiretroviral therapy on the morbidity and mortality in Spanish human immunodeficiency virus-infected children. Pediatr Infect Dis J 2003, 22, 863–867. [Google Scholar] [PubMed]
- Gortmaker, S.L.; Hughes, M.; Cervia, J.; et al. Effect of combination therapy including protease inhibitors on mortality among children and adolescents infected with HIV-1. N Engl J Med 2001, 345, 1522–1528. [Google Scholar] [CrossRef] [PubMed]
- Palme, I.B.; Gudetta, B.; Bruchfeld, J.; Muhe, L.; Giesecke, J. Impact of human immunodeficiency virus 1 infection on clinical presentation, treatment outcome and survival in a cohort of Ethiopian children with tuberculosis. Pediatr Infect Dis J 2002, 21, 1053–1061. [Google Scholar] [CrossRef] [PubMed]
- UNICEF; WHO; The World Bank; UN Pop Div. Levels and Trends in Child Mortality. Report 2014.
- Drobac, P.C.; Shin, S.S.; Huamani, P.; et al. Risk factors for in-hospital mortality among children with tuberculosis: The 25-year experience in Peru. Pediatrics 2012, 130, e373–e379. [Google Scholar] [CrossRef] [PubMed]
- Bolton-Moore, C.; Mubiana-Mbewe, M.; Cantrell, R.A.; et al. Clinical outcomes and CD4 cell response in children receiving antiretroviral therapy at primary health care facilities in Zambia. JAMA 2007, 298, 1888–1899. [Google Scholar] [CrossRef] [PubMed]
- Waldron, I. Sex differences in infant and early childhood mortality: Major causes of death and possible biological causes. In Too Young to Die: Genes or Gender? ST/ESA/SER.A/155; United Nations: New York, NY, USA, 1998; pp. 64–83. [Google Scholar]
- Sawyer, C.C. Child mortality estimation: Estimating sex differences in childhood mortality since the 1970s. PLoS Med 2012, 9, e1001287. [Google Scholar] [CrossRef] [PubMed]
- Pongou, R. Why is infant mortality higher in boys than in girls? A new hypothesis based on preconception environment and evidence from a large sample of twins. Demography 2013, 50, 421–444. [Google Scholar] [CrossRef] [PubMed]
- Zanoni, B.C.; Phungula, T.; Zanoni, H.M.; France, H.; Feeney, M.E. Risk factors associated with increased mortality among HIV infected children initiating antiretroviral therapy (ART) in South Africa. PLoS ONE 2011, 6, e22706. [Google Scholar] [CrossRef] [PubMed]
- Foca, M.; Moye, J.; Chu, C.; et al. Gender differences in lymphocyte populations, plasma HIV RNA levels, and disease progression in a cohort of children born to women infected with HIV. Pediatrics 2006, 118, 146–155. [Google Scholar] [CrossRef] [PubMed]
- Geldmacher, C.; Zumla, A.; Hoelscher, M. Interaction between HIV and Mycobacterium tuberculosis: HIV-1-induced CD4 T-cell depletion and the development of active tuberculosis. Curr Opin HIV AIDS 2012, 7, 268–275. [Google Scholar] [CrossRef] [PubMed]
- Naing, C.; Mak, J.W.; Maung, M.; Wong, S.F.; Kassim, A.I. Meta-analysis: The association between HIV infection and extrapulmonary tuberculosis. Lung 2013, 191, 27–34. [Google Scholar] [CrossRef] [PubMed]

![]() |
![]() |
![]() |
© GERMS 2016.
Share and Cite
Ebonyi, A.O.; Oguche, S.; Agbaji, O.O.; Sagay, A.S.; Okonkwo, P.I.; Idoko, J.A.; Kanki, P.J. Mortality Among Pulmonary Tuberculosis and HIV-1 Co-Infected Nigerian Children Being Treated for Pulmonary Tuberculosis and on Antiretroviral Therapy: A Retrospective Cohort Study. Germs 2016, 6, 139-150. https://doi.org/10.11599/germs.2016.1099
Ebonyi AO, Oguche S, Agbaji OO, Sagay AS, Okonkwo PI, Idoko JA, Kanki PJ. Mortality Among Pulmonary Tuberculosis and HIV-1 Co-Infected Nigerian Children Being Treated for Pulmonary Tuberculosis and on Antiretroviral Therapy: A Retrospective Cohort Study. Germs. 2016; 6(4):139-150. https://doi.org/10.11599/germs.2016.1099
Chicago/Turabian StyleEbonyi, Augustine O., Stephen Oguche, Oche O. Agbaji, Atiene S. Sagay, Prosper I. Okonkwo, John A. Idoko, and Phyllis J. Kanki. 2016. "Mortality Among Pulmonary Tuberculosis and HIV-1 Co-Infected Nigerian Children Being Treated for Pulmonary Tuberculosis and on Antiretroviral Therapy: A Retrospective Cohort Study" Germs 6, no. 4: 139-150. https://doi.org/10.11599/germs.2016.1099
APA StyleEbonyi, A. O., Oguche, S., Agbaji, O. O., Sagay, A. S., Okonkwo, P. I., Idoko, J. A., & Kanki, P. J. (2016). Mortality Among Pulmonary Tuberculosis and HIV-1 Co-Infected Nigerian Children Being Treated for Pulmonary Tuberculosis and on Antiretroviral Therapy: A Retrospective Cohort Study. Germs, 6(4), 139-150. https://doi.org/10.11599/germs.2016.1099



