Relationship Between Morning Blood Pressure Surges and Peripheral Inflammatory Biomarkers in Parkinson’s Disease
Abstract
1. Introduction
2. Materials and Methods
2.1. Ambulatory Blood Pressure Measurement
2.2. Statistical Analysis
3. Results
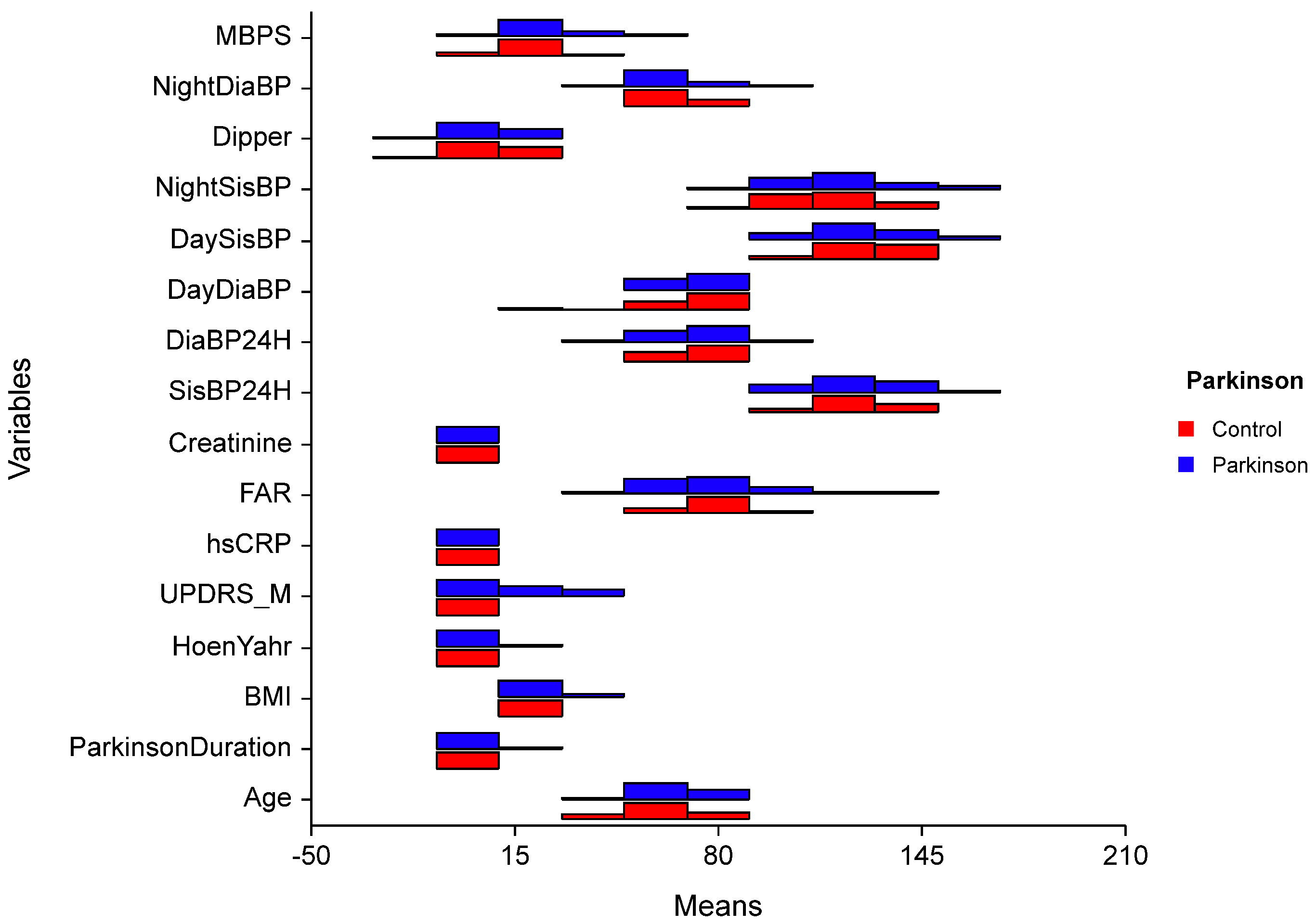
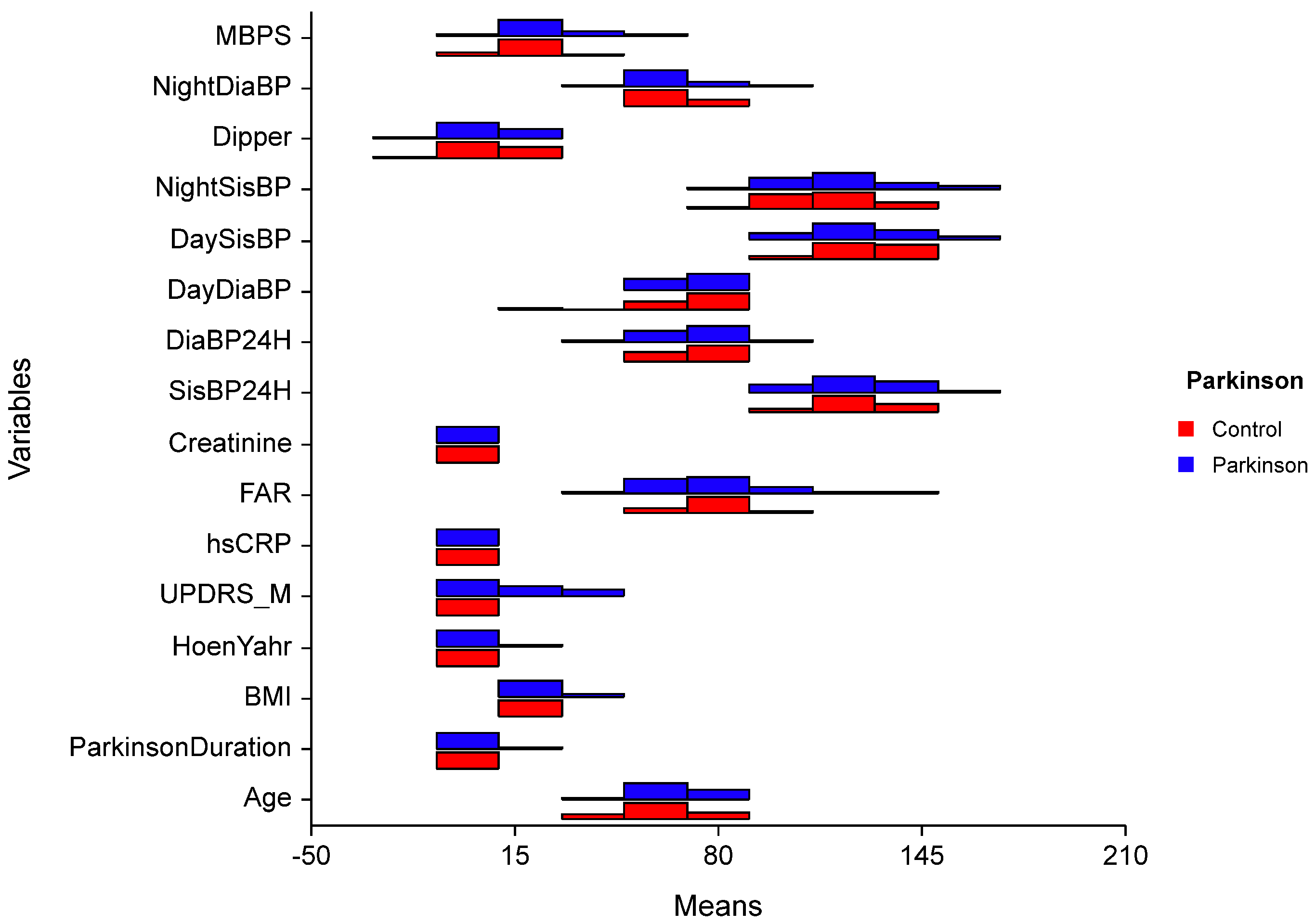
Patient Characteristics
4. Discussion
5. Conclusions
Author Contributions
Funding
Institutional Review Board Statement
Informed Consent Statement
Data Availability Statement
Conflicts of Interest
References
- Parkinson, J. An Essay on the Shaking Palsy; Sherwood, Neely, and Jones: London, UK, 1817. [Google Scholar]
- Jankovic, J. Parkinson’s disease: Clinical features and diagnosis. J. Neurol. Neurosurg. Psychiatry 2008, 79, 368–376. [Google Scholar] [CrossRef] [PubMed]
- Twelves, D.; Perkins, K.S.; Counsell, C. Systematic review of incidence studies of Parkinson’s disease. Mov. Disord. 2003, 18, 19–31. [Google Scholar] [CrossRef] [PubMed]
- Fearnley, J.M.; Lees, A.J. Ageing and Parkinson’s disease: Substantia nigra regional selectivity. Brain J. Neurol. 1991, 114 Pt 5, 2283–2301. [Google Scholar] [CrossRef] [PubMed]
- Breen, D.P.; Halliday, G.M.; Lang, A.E. Gut-brain axis and the spread of α-synuclein pathology: Vagal highway or dead end? Mov. Disord. 2019, 34, 307–316. [Google Scholar] [CrossRef] [PubMed]
- Pajares, M.; Rojo, A.I.; Manda, G.; Boscá, L.; Cuadrado, A. Inflammation in Parkinson’s Disease: Mechanisms and Therapeutic Implications. Cells 2020, 9, 1687. [Google Scholar] [CrossRef]
- Tan, E.K.; Chao, Y.X.; West, A.; Chan, L.L.; Poewe, W.; Jankovic, J. Parkinson disease and the immune system—Associations, mechanisms and therapeutics. Nat. Rev. Neurol. 2020, 16, 303–318. [Google Scholar] [CrossRef]
- Seppi, K.; Ray, C.K.; Coelho, M.; Fox, S.H.; Katzenschlager, R.; Perez, L.S.; Weintraub, D.; Sampaio, C.; The collaborators of the Parkinson’s Disease Update on Non-Motor Symptoms Study Group on behalf of the Movement Disorders Society Evidence-Based Medicine Committee. Update on treatments for nonmotor symptoms of Parkinson’s disease-an evidence-based medicine review. Mov. Disord. 2019, 34, 180–198. [Google Scholar] [CrossRef]
- Marek, K.; Chowdhury, S.; Siderowf, A.; Lasch, S.; Coffey, C.S.; Caspell-Garcia, C.; Simuni, T.; Jennings, D.; Tanner, C.M.; Trojanowski, J.Q.; et al. The Parkinson’s progression markers initiative (PPMI)—Establishing a PD biomarker cohort. Ann. Clin. Transl. Neurol. 2018, 5, 1460–1477. [Google Scholar] [CrossRef]
- Vernino, S. Autoimmune Autonomic Disorders. Continuum 2020, 26, 44–57. [Google Scholar] [CrossRef]
- Cheshire, W.P., Jr.; Goldstein, D.S. The physical examination as a window into autonomic disorders. Clin. Auton. Res. 2018, 28, 23–33. [Google Scholar] [CrossRef]
- Schapira, A.H.V.; Chaudhuri, K.R.; Jenner, P. Non-motor features of Parkinson disease. Nat. Rev. Neurosci. 2017, 18, 435–450. [Google Scholar] [CrossRef] [PubMed]
- Chen, Z.; Li, G.; Liu, J. Autonomic dysfunction in Parkinson’s disease: Implications for pathophysiology, diagnosis, and treatment. Neurobiol. Dis. 2020, 134, 104700. [Google Scholar] [CrossRef] [PubMed]
- Goldstein, D.S.; Pechnik, S.; Holmes, C.; Eldadah, B.; Sharabi, Y. Association between supine hypertension and orthostatic hypotension in autonomic failure. Hypertension 2003, 42, 136–142. [Google Scholar] [CrossRef] [PubMed]
- Fanciulli, A.; Göbel, G.; Ndayisaba, J.P.; Granata, R.; Duerr, S.; Strano, S.; Colosimo, C.; Poewe, W.; Pontieri, F.E.; Wenning, G.K. Supine hypertension in parkinson’s disease and multiple system atrophy. Clin. Auton. Res. 2016, 26, 97–105. [Google Scholar] [CrossRef] [PubMed]
- Tanindi, A.; Ugurlu, M.; Tore, H.F. Blood pressure morning surge, exercise blood pressure response and autonomic nervous system. Scand. Cardiovasc. J. 2015, 49, 220–227. [Google Scholar] [CrossRef]
- Özdemir, M.; Yurtdaş, M.; Asoğlu, R.; Yildirim, T.; Aladağ, N.; Asoğlu, E. Fibrinogen to albumin ratio as a powerful predictor of the exaggerated morning blood pressure surge in newly diagnosed treatment-naive hypertensive patients. Clin. Exp. Hypertens. 2020, 42, 692–699. [Google Scholar] [CrossRef]
- Ahbap, E.; Sakaci, T.; Kara, E.; Sahutoglu, T.; Koc, Y.; Basturk, T.; Sevinc, M.; Akgol, C.; Kayalar, A.O.; Ucar, Z.A.; et al. The relationship between serum albumin levels and 24-h ambulatory blood pressure monitoring recordings in non-diabetic essential hypertensive patients. Clinics 2016, 71, 257–263. [Google Scholar] [CrossRef]
- Huang, R.; Dai, Q.; Chang, L.; Wang, Z.; Chen, J.; Gu, R.; Zheng, H.; Hu, L.; Xu, B.; Wang, L. The association between fibrinogen-to-albumin ratio (FAR) and adverse prognosis in patients with acute decompensated heart failure at different glucose metabolic states. Cardiovasc. Diabetol. 2022, 21, 241. [Google Scholar] [CrossRef]
- Clyne, B.; Olshaker, J.S. The C-reactive protein. J. Emerg. Med. 1999, 7, 1019–1025. [Google Scholar] [CrossRef]
- Pepys, M.B.; Hirschfield, G.M. C-reactive protein: A critical update. J. Clin. Investig. 2003, 111, 1805–1812. [Google Scholar] [CrossRef]
- Mehta, N.; Luthra, N.S.; Corcos, D.M.; Fantuzzi, G. C-reactive protein as the biomarker of choice to monitor the effects of exercise on inflammation in Parkinson’s disease. Front. Immunol. 2023, 14, 1178448. [Google Scholar] [CrossRef] [PubMed]
- Bilo, G.; Grillo, A.; Guida, V.; Parati, G. Morning blood pressure surge: Pathophysiology, clinical relevance and therapeutic aspects. Integr. Blood Press. Control 2018, 11, 47–56. [Google Scholar] [CrossRef] [PubMed]
- Li, Y.; Thijs, L.; Hansen, T.W.; Kikuya, M.; Boggia, J.; Richart, T.; Metoki, H.; Ohkubo, T.; Torp-Pedersen, C.; Kuznetsova, T.; et al. International Database on Ambulatory Blood Pressure Monitoring in Relation to Cardiovascular Outcomes Investigators. Prognostic value of the morning blood pressure surge in 5645 subjects from 8 populations. Hypertension 2010, 55, 1040–1048. [Google Scholar] [CrossRef] [PubMed]
- Gonera, E.G.; van’t Hof, M.; Berger, H.J.; van Weel, C.; Horstink, M.W. Symptoms and duration of the prodromal phase in Parkinson’s disease. Mov. Disord. 1997, 12, 871–876. [Google Scholar] [CrossRef] [PubMed]
- Dorsey, E.R.; Bloem, B.R. The Parkinson Pandemic-A Call to Action. JAMA Neurol. 2018, 75, 9–10. [Google Scholar] [CrossRef]
- Park, J.H.; Kim, D.H.; Park, Y.G.; Kwon, D.Y.; Choi, M.; Jung, J.H.; Han, K. Association of Parkinson Disease with Risk of Cardiovascular Disease and All-Cause Mortality: A Nationwide, Population-Based Cohort Study. Circulation 2020, 141, 1205–1207. [Google Scholar] [CrossRef]
- Juraschek, S.P.; Daya, N.; Appel, L.J.; Miller, E.R., 3rd; McEvoy, J.W.; Matsushita, K.; Ballantyne, C.M.; Selvin, E. Orthostatic Hypotension and Risk of Clinical and Subclinical Cardiovascular Disease in Middle-Aged Adults. J. Am. Heart Assoc. 2018, 7, e008884. [Google Scholar] [CrossRef]
- Chen, J.; Zhang, C.; Wu, Y.; Zhang, D. Association between Hypertension and the Risk of Parkinson’s Disease: A Meta-Analysis of Analytical Studies. Neuroepidemiology 2019, 52, 181–192. [Google Scholar] [CrossRef]
- Ellis, T.; Boudreau, J.K.; DeAngelis, T.R.; Brown, L.E.; Cavanaugh, J.T.; Earhart, G.M.; Ford, M.P.; Foreman, K.B.; Dibble, L.E. Barriers to exercise in people with Parkinson disease. Phys. Ther. 2013, 93, 628–636. [Google Scholar] [CrossRef]
- Stuebner, E.; Vichayanrat, E.; Low, D.A.; Mathias, C.J.; Isenmann, S.; Haensch, C.A. Twenty-four-hour non-invasive ambulatory blood pressure and heart rate monitoring in Parkinson’s disease. Front. Neurol. 2013, 4, 49. [Google Scholar] [CrossRef]
- Katsi, V.; Papakonstantinou, I.; Solomou, E.; Antonopoulos, A.S.; Vlachopoulos, C.; Tsioufis, K. Management of Hypertension and Blood Pressure Dysregulation in Patients with Parkinson’s Disease—A Systematic Review. Curr. Hypertens. Rep. 2021, 23, 26. [Google Scholar] [CrossRef] [PubMed]
- Ziemssen, T.; Reichmann, H. Cardiovascular autonomic dysfunction in Parkinson’s disease. J. Neurol. Sci. 2010, 289, 74–80. [Google Scholar] [CrossRef] [PubMed]
- Tulbă, D.; Cozma, L.; Bălănescu, P.; Buzea, A.; Băicuș, C.; Popescu, B.O. Blood Pressure Patterns in Patients with Parkinson’s Disease: A Systematic Review. J. Pers. Med. 2021, 11, 129. [Google Scholar] [CrossRef] [PubMed]
- O’Brien, E.; Sheridan, J.; O’Malley, K. Dippers and non-dippers. Lancet 1988, 2, 397. [Google Scholar] [CrossRef] [PubMed]
- Tang, A.; Yang, E.; Ebinger, J.E. Non-Dipping Blood Pressure or Nocturnal Hypertension: Does One Matter More? Curr. Hypertens. Rep. 2024, 26, 21–30. [Google Scholar] [CrossRef]
- Forshaw, P.E.; Correia, A.T.L.; Roden, L.C.; Lambert, E.V.; Rae, D.E. Sleep characteristics associated with nocturnal blood pressure nondipping in healthy individuals: A systematic review. Blood Press. Monit. 2022, 27, 357–370. [Google Scholar] [CrossRef]
- Burgos-Alonso, N.; Ruiz Arzalluz, M.V.; Garcia-Alvarez, A.; Fernandez-Fernandez de Quincoces, D.; Grandes, G. Reproducibility study of nocturnal blood pressure dipping in patients with high cardiovascular risk. J. Clin. Hypertens. 2021, 23, 1041–1050. [Google Scholar] [CrossRef]
- Sogunuru, G.P.; Kario, K.; Shin, J.; Chen, C.H.; Buranakitjaroen, P.; Chia, Y.C.; Divinagracia, R.; Nailes, J.; Park, S.; Siddique, S.; et al. HOPE Asia Network. Morning surge in blood pressure and blood pressure variability in Asia: Evidence and statement from the HOPE Asia Network. J. Clin. Hypertens. 2019, 21, 324–334. [Google Scholar] [CrossRef]
- Qiu, X.; Xiao, Y.; Wu, J.; Gan, L.; Huang, Y.; Wang, J. C-Reactive Protein and Risk of Parkinson’s Disease: A Systematic Review and Meta-Analysis. Front. Neurol. 2019, 10, 384. [Google Scholar] [CrossRef]
- Kim, K.I.; Lee, J.H.; Chang, H.J.; Cho, Y.S.; Youn, T.J.; Chung, W.Y.; Chae, I.H.; Choi, D.J.; Park, K.U.; Kim, C.H. Association between blood pressure variability and inflammatory marker in hypertensive patients. Circ. J. 2008, 72, 293–298. [Google Scholar] [CrossRef]
- Kayapinar, O.; Ozde, C.; Kaya, A. Relationship between the reciprocal change in inflammation-related biomarkers (Fibrinogen-toAlbumin and hsCRP-to-Albumin ratios) and the presence and severity of coronary slow flow. Clin. Appl. Thromb. Hemost. 2019, 25, 1076029619835383. [Google Scholar] [CrossRef] [PubMed]
- Xu, W.Y.; Zhang, H.H.; Xiong, J.P.; Yang, X.B.; Bai, Y.; Lin, J.Z.; Long, J.Y.; Zheng, Y.C.; Zhao, H.T.; Sang, X.T. Prognostic significance of the fibrinogen-to-albumin ratio in gallbladder cancer patients. World J. Gastroenterol. 2018, 24, 3281–3292. [Google Scholar] [CrossRef] [PubMed]
- Cheng, H.M.; Wu, C.L.; Sung, S.H.; Lee, J.C.; Kario, K.; Chiang, C.E.; Huang, C.J.; Hsu, P.F.; Chuang, S.Y.; Lakatta, E.G. Prognostic Utility of Morning Blood Pressure Surge for 20-Year All-Cause and Cardiovascular Mortalities: Results of a Community-Based Study. J. Am. Heart Assoc. 2017, 6, e007667. [Google Scholar] [CrossRef] [PubMed]



| Controls | Patients | Total | Test Statistics | p | |
|---|---|---|---|---|---|
| Sex | |||||
| Female | 20 (40) | 24 (48) | 44 (44) | 0.365 | 0.546 * |
| Male | 30 (60) | 26 (52) | 56 (56) | ||
| Accompanying illness | |||||
| No | 50 (100) | 39 (78) | 89 (89) | --- | --- |
| Yes | 0 (0) | 11 (22) | 11 (11) | ||
| Oral L-dopa | |||||
| No | 50 (100) | 12 (24) | 62 (62) | --- | --- |
| Yes | 0 (0) | 38 (76) | 38 (38) | ||
| Dopa agonist | |||||
| No | 50 (100) | 13 (26) | 63 (63) | --- | --- |
| Yes | 0 (0) | 37 (74) | 37 (37) | ||
| Jejunal dopa | |||||
| No | 50 (100) | 46 (92) | 96 (96) | --- | --- |
| Yes | 0 (0) | 4 (8) | 4 (4) | ||
| Hoen Yahr | |||||
| 0 | 50 (100) | 0 (0) | 50 (50) | --- | --- |
| 1 | 0 (0) | 22 (44) | 22 (22) | ||
| 1.5 | 0 (0) | 3 (6) | 3 (3) | ||
| 2 | 0 (0) | 10 (20) | 10 (10) | ||
| 2.5 | 0 (0) | 2 (4) | 2 (2) | ||
| 3 | 0 (0) | 8 (16) | 8 (8) | ||
| 4 | 0 (0) | 5 (10) | 5 (5) |
| Independent Variables | β1 (%95 CI) | S. Error | t | p |
|---|---|---|---|---|
| Fixed | 24.659 (−32.292–81.61) | 27.886 | 0.884 | 0.384 |
| BMI | 1.62 (0.389–2.85) | 0.602 | 2.689 | 0.012 |
| hsCRP | 0.41 (−2.258–3.077) | 1.306 | 0.314 | 0.756 |
| FAR | −0.264 (−0.457–0.071) | 0.095 | −2.788 | 0.009 |
| Creatinine | 5.073 (−7.755–17.9) | 6.281 | 0.808 | 0.426 |
| Dipper | 0.115 (−0.3–0.529) | 0.203 | 0.565 | 0.577 |
| Parkinson Duration | −0.632 (−1.75–0.487) | 0.548 | −1.153 | 0.258 |
| SisBP 24 h | −0.063 (−0.325–0.199) | 0.128 | −0.491 | 0.627 |
| DiaBP 24 h | −0.328 (−0.762–0.107) | 0.213 | −1.538 | 0.134 |
| NightDiaBP | −0.025 (−0.397–0.346) | 0.182 | −0.139 | 0.890 |
| Gender (Reference: Male) | 5.667 (−2.217–13.551) | 3.860 | 1.468 | 0.153 |
| Comorbidity | 3.89 (−2.877–10.656) | 3.313 | 1.174 | 0.250 |
| Dopa Oral | 2.307 (−5.837–10.451) | 3.988 | 0.578 | 0.567 |
| Dopa Agonist | −1.81 (−10.717–7.097) | 4.361 | −0.415 | 0.681 |
| Dopa Infusion | −11.291 (−24.839–2.257) | 6.634 | −1.702 | 0.099 |
| Hoen Yahr | ||||
| 1.5 | −1.887 (−14.168–10.394) | 6.013 | −0.314 | 0.756 |
| 2 | 1.895 (−6.6–10.389) | 4.159 | 0.456 | 0.652 |
| 2.5 | −5.869 (−20.786–9.049) | 7.304 | −0.803 | 0.428 |
| 3 | 5.605 (−3.362–14.573) | 4.391 | 1.277 | 0.212 |
| 4 | 11.3 (−1.045–23.646) | 6.045 | 1.869 | 0.071 |
| AUC (%95 CI) | p | Cutoff | Sensitivity | Specificity | PPV | NPV | |
|---|---|---|---|---|---|---|---|
| Morning Surge | 0.665 (0.559–0.77) | 0.005 | 25 | 48% | 78% | 68.57% | 60% |
Disclaimer/Publisher’s Note: The statements, opinions and data contained in all publications are solely those of the individual author(s) and contributor(s) and not of MDPI and/or the editor(s). MDPI and/or the editor(s) disclaim responsibility for any injury to people or property resulting from any ideas, methods, instructions or products referred to in the content. |
© 2025 by the authors. Licensee MDPI, Basel, Switzerland. This article is an open access article distributed under the terms and conditions of the Creative Commons Attribution (CC BY) license (https://creativecommons.org/licenses/by/4.0/).
Share and Cite
Sari, U.S.; Yildirim, S.E.; Buyukserbetci, G.; Yildirim, T.; Sackes, M.; Esmeli, F. Relationship Between Morning Blood Pressure Surges and Peripheral Inflammatory Biomarkers in Parkinson’s Disease. Biomedicines 2025, 13, 363. https://doi.org/10.3390/biomedicines13020363
Sari US, Yildirim SE, Buyukserbetci G, Yildirim T, Sackes M, Esmeli F. Relationship Between Morning Blood Pressure Surges and Peripheral Inflammatory Biomarkers in Parkinson’s Disease. Biomedicines. 2025; 13(2):363. https://doi.org/10.3390/biomedicines13020363
Chicago/Turabian StyleSari, Ummu S., Seda E. Yildirim, Gulseren Buyukserbetci, Tarik Yildirim, Mesut Sackes, and Figen Esmeli. 2025. "Relationship Between Morning Blood Pressure Surges and Peripheral Inflammatory Biomarkers in Parkinson’s Disease" Biomedicines 13, no. 2: 363. https://doi.org/10.3390/biomedicines13020363
APA StyleSari, U. S., Yildirim, S. E., Buyukserbetci, G., Yildirim, T., Sackes, M., & Esmeli, F. (2025). Relationship Between Morning Blood Pressure Surges and Peripheral Inflammatory Biomarkers in Parkinson’s Disease. Biomedicines, 13(2), 363. https://doi.org/10.3390/biomedicines13020363

