A Prognostic Neuromodulation-Related Gene Signature Identifies Immunomodulation and Tumour-Associated Hallmarks in Glioblastoma
Abstract
1. Introduction
2. Materials and Methods
2.1. Human Neuromodulation-Related Gene Set
2.2. RNA-Seq Data Acquisition
2.3. Differential Expression Analysis
2.4. Survival Analysis
2.5. Computation of the 10-NMRG Signature Prognostic Index
2.6. Gene Set Enrichment Analysis (GSEA)
2.7. Active-Subnetwork-Oriented Enrichment Analysis (ASOEA)
2.8. Compositional Proportionality Analysis
3. Results
3.1. Identification of deNMRGs in GBM Patient Samples
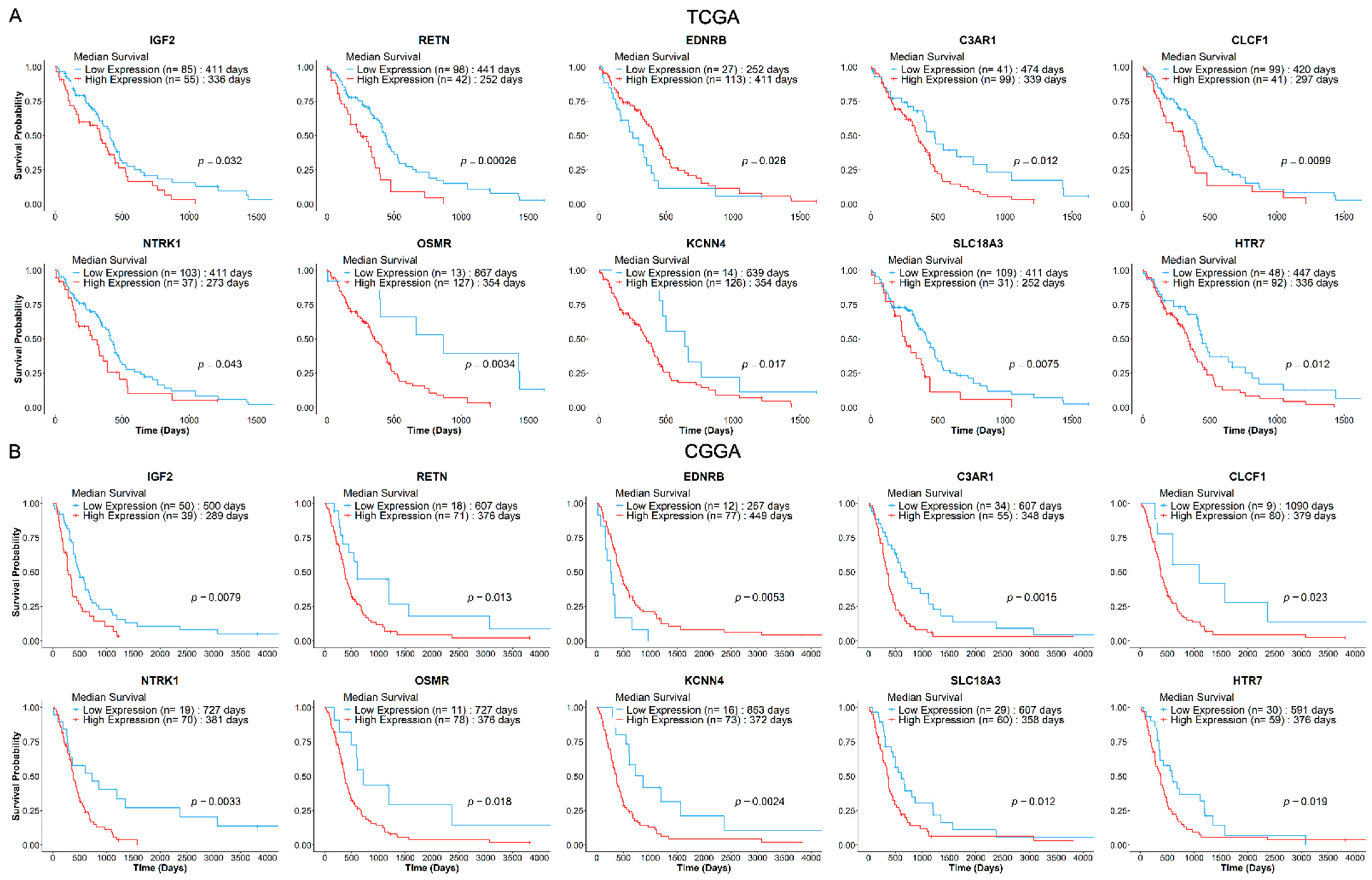
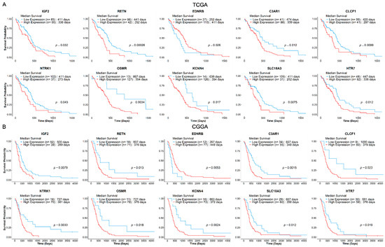
3.2. IGF2, RETN, EDNRB, C3AR1, CLCF1, NTRK1, OSMR, KCNN4, SLC18A3 and HTR7 Are the Common Prognostic Genes in TCGA and CGGA GBM Cohorts
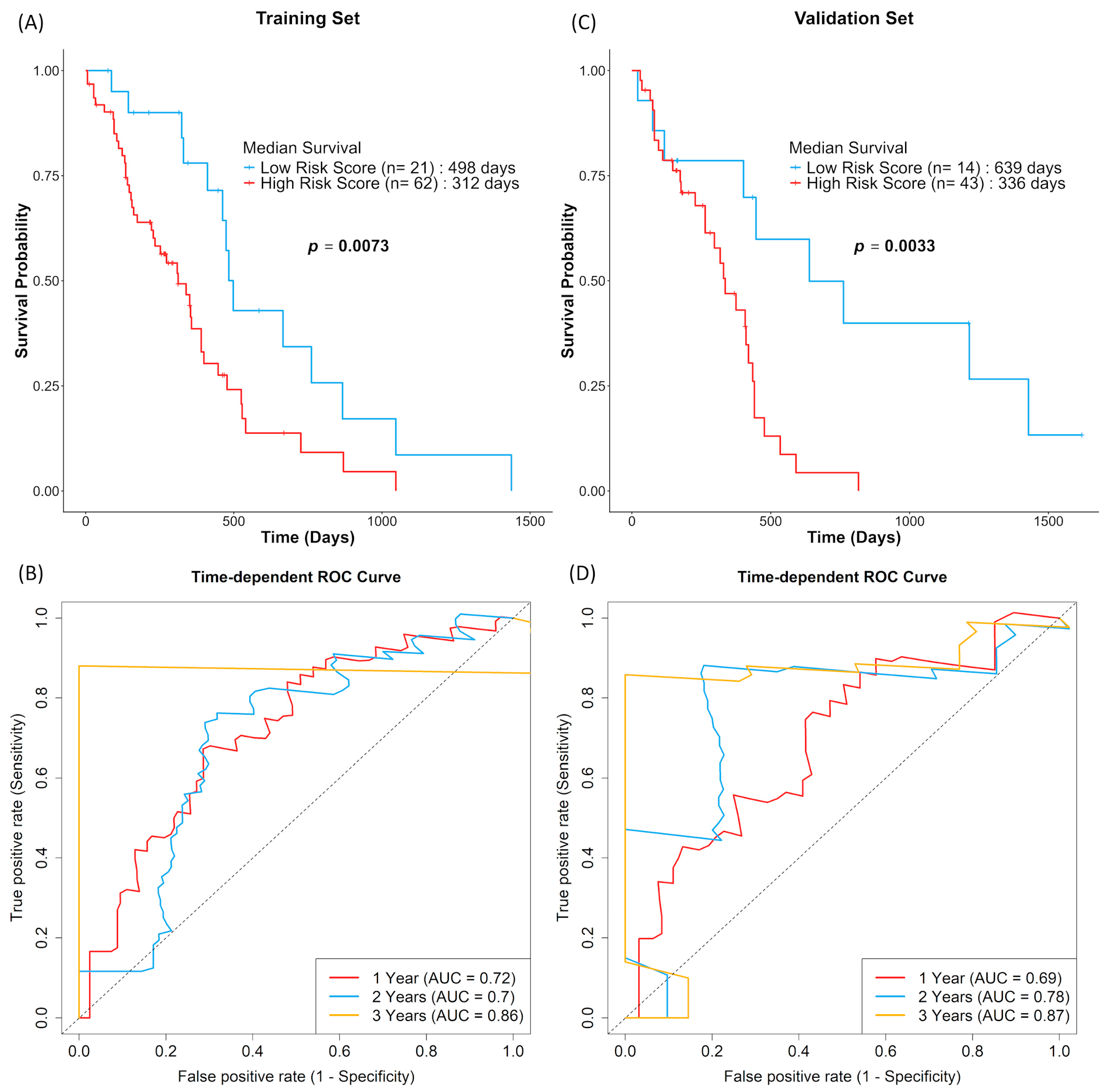
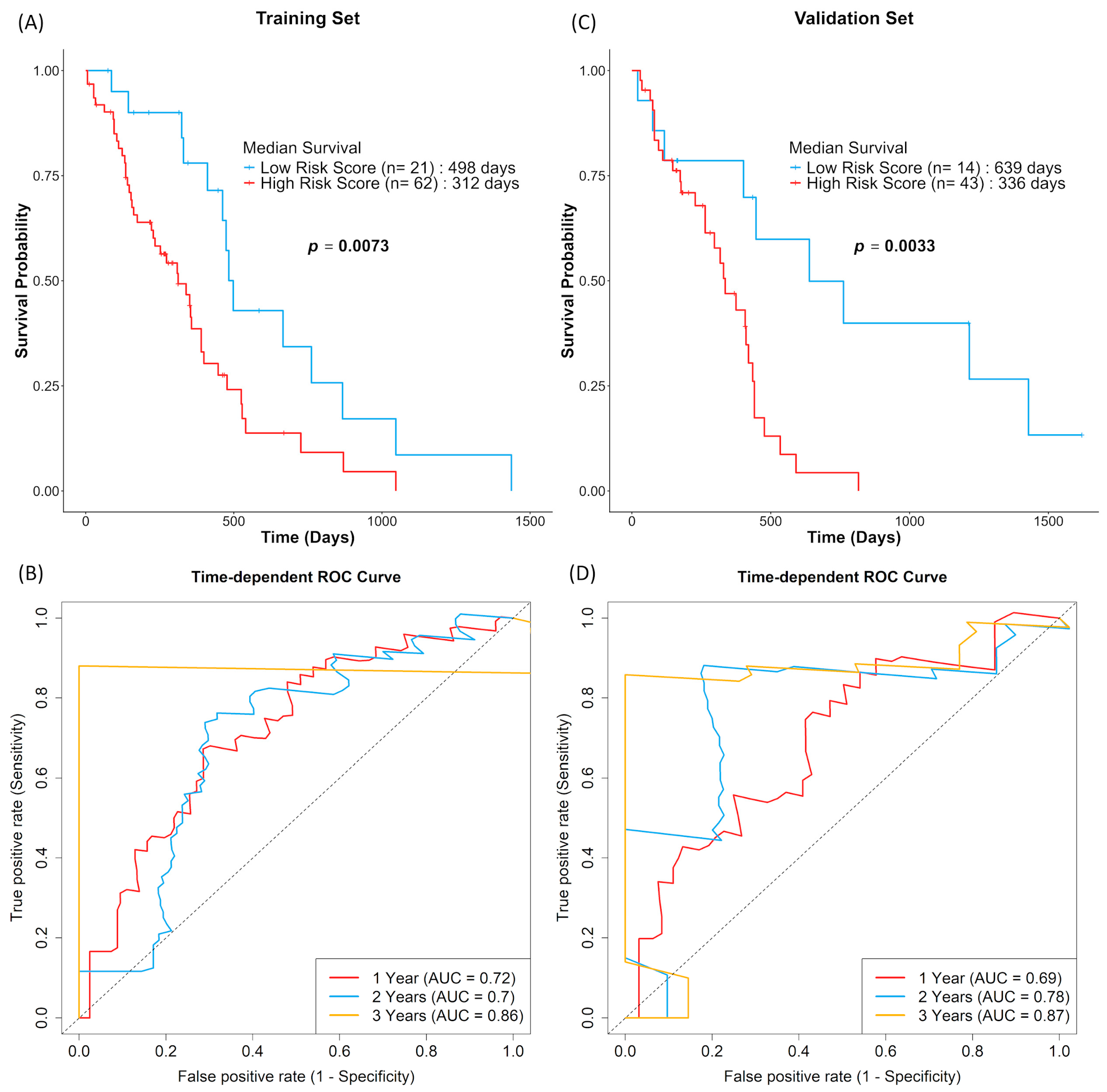
3.3. A 10-NMRG Signature Forms a Risk Score Model That Predicts Prognosis in TCGA and CGGA GBM Cohorts
3.4. GBM with High 10-NMRG Signature Risk Score Is Associated with Immunomodulation and Tumour-Associated Hallmarks
3.5. C3AR1, CLCF1, OSMR, KCNN4 and HTR7 Are Positively Correlated with Immune Activator and Immune Suppressor Genes in GBM
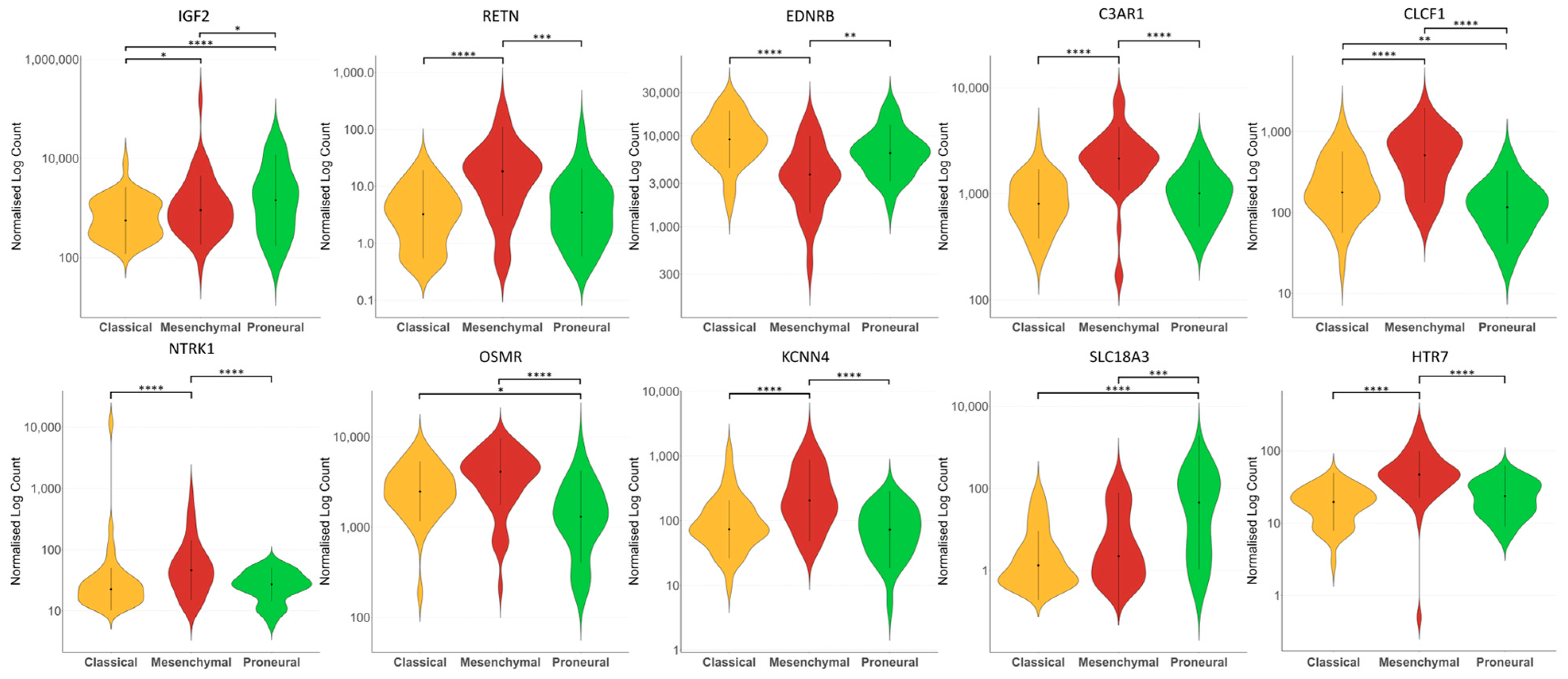
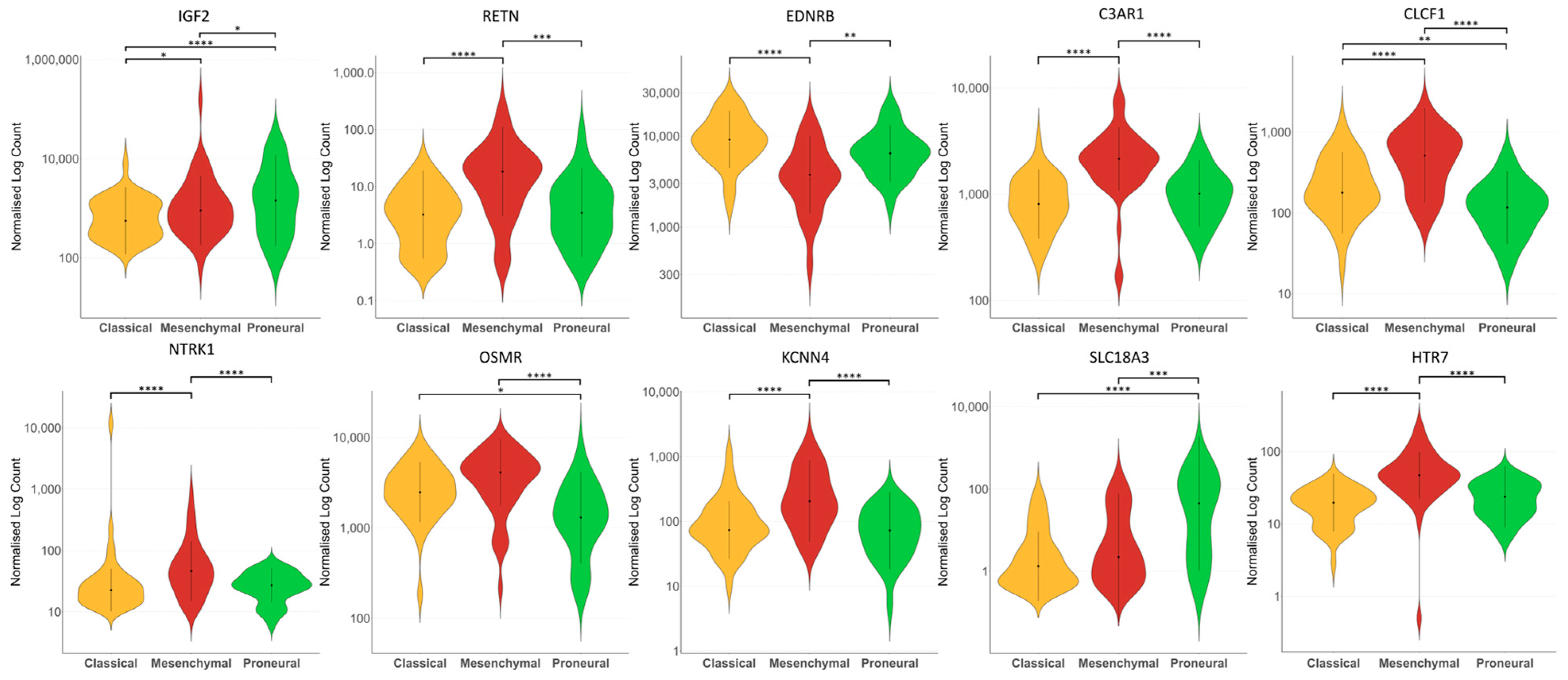
3.6. GBM Mesenchymal Subtype Showed High Expressions of RETN, C3AR1, CLCF1, NTRK1, OSMR, KCNN4, and HTR7 Compared to Classical and Proneural Subtypes
4. Discussion
5. Conclusions
Supplementary Materials
Author Contributions
Funding
Institutional Review Board Statement
Informed Consent Statement
Data Availability Statement
Acknowledgments
Conflicts of Interest
Abbreviations
| NMRGs | Neuromodulation-Related Genes | 
| deNMRGs | Differentially Expressed NMRG | 
| GBM | Glioblastoma, IDH Wildtype | 
| TCGA | The Cancer Genome Atlas | 
| CGGA | Chinese Glioma Genome Atlas | 
| GEO | Gene Expression Omnibus | 
| 10-NMRG | 10-Neuromodulation-Related Gene | 
| GSEA | Gene Set Enrichment Analysis | 
| ASOEA | Active Subnetwork-Oriented Enrichment Analysis | 
| ECM | Extracellular Matrix | 
| CCL | C-C Motif Chemokine Ligand | 
| CXCL | C-X-C Motif Chemokine Ligand | 
| GO | Gene Ontology | 
| EMT | Epithelial-to-Mesenchymal Transition | 
References
- Ostrom, Q.T.; Price, M.; Neff, C.; Cioffi, G.; Waite, K.A.; Kruchko, C.; Barnholtz-Sloan, J.S. CBTRUS Statistical Report: Primary Brain and Other Central Nervous System Tumors Diagnosed in the United States in 2016—2020. Neuro-Oncology 2023, 25, iv1–iv99. [Google Scholar] [CrossRef] [PubMed]
- Ostrom, Q.T.; Price, M.; Neff, C.; Cioffi, G.; Waite, K.A.; Kruchko, C.; Barnholtz-Sloan, J.S. CBTRUS statistical report: Primary brain and other central nervous system tumors diagnosed in the United States in 2015–2019. Neuro-Oncology 2022, 24, v1–v95. [Google Scholar] [CrossRef]
- Palma, C.; Nardelli, F.; Manzini, S.; Maggi, C. Substance P activates responses correlated with tumour growth in human glioma cell lines bearing tachykinin NK1 receptors. Br. J. Cancer 1999, 79, 236–243. [Google Scholar] [CrossRef]
- Lawn, S.; Krishna, N.; Pisklakova, A.; Qu, X.; Fenstermacher, D.A.; Fournier, M.; Vrionis, F.D.; Tran, N.; Chan, J.A.; Kenchappa, R.S. Neurotrophin signaling via TrkB and TrkC receptors promotes the growth of brain tumor-initiating cells. J. Biol. Chem. 2015, 290, 3814–3824. [Google Scholar] [CrossRef] [PubMed]
- Pucci, S.; Fasoli, F.; Moretti, M.; Benfante, R.; Di Lascio, S.; Viani, P.; Daga, A.; Gordon, T.J.; McIntosh, M.; Zoli, M. Choline and nicotine increase glioblastoma cell proliferation by binding and activating α7-and α9-containing nicotinic receptors. Pharmacol. Res. 2021, 163, 105336. [Google Scholar] [CrossRef]
- Thompson, E.G.; Sontheimer, H. Acetylcholine receptor activation as a modulator of glioblastoma invasion. Cells 2019, 8, 1203. [Google Scholar] [CrossRef]
- Piao, Y.; Lu, L.; De Groot, J. AMPA receptors promote perivascular glioma invasion via β1 integrin–dependent adhesion to the extracellular matrix. Neuro-Oncology 2009, 11, 260–273. [Google Scholar] [CrossRef]
- Venkatesh, H.S.; Morishita, W.; Geraghty, A.C.; Silverbush, D.; Gillespie, S.M.; Arzt, M.; Tam, L.T.; Espenel, C.; Ponnuswami, A.; Ni, L. Electrical and synaptic integration of glioma into neural circuits. Nature 2019, 573, 539–545. [Google Scholar] [CrossRef]
- Louis, D.N.; Perry, A.; Wesseling, P.; Brat, D.J.; Cree, I.A.; Figarella-Branger, D.; Hawkins, C.; Ng, H.; Pfister, S.M.; Reifenberger, G. The 2021 WHO classification of tumors of the central nervous system: A summary. Neuro-Oncology 2021, 23, 1231–1251. [Google Scholar] [CrossRef]
- Huang, T.; Yang, Y.; Song, X.; Wan, X.; Wu, B.; Sastry, N.; Horbinski, C.M.; Zeng, C.; Tiek, D.; Goenka, A. PRMT6 methylation of RCC1 regulates mitosis, tumorigenicity, and radiation response of glioblastoma stem cells. Mol. Cell 2021, 81, 1276–1291.e9. [Google Scholar] [CrossRef] [PubMed]
- Xu, L.; Chen, Y.; Huang, Y.; Sandanaraj, E.; Yu, J.S.; Lin, R.Y.-T.; Dakle, P.; Ke, X.-Y.; Chong, Y.K.; Koh, L. Topography of transcriptionally active chromatin in glioblastoma. Sci. Adv. 2021, 7, eabd4676. [Google Scholar] [CrossRef]
- Dobin, A.; Davis, C.A.; Schlesinger, F.; Drenkow, J.; Zaleski, C.; Jha, S.; Batut, P.; Chaisson, M.; Gingeras, T.R. STAR: Ultrafast universal RNA-seq aligner. Bioinformatics 2013, 29, 15–21. [Google Scholar] [CrossRef]
- Li, B.; Dewey, C.N. RSEM: Accurate transcript quantification from RNA-Seq data with or without a reference genome. BMC Bioinform. 2011, 12, 323. [Google Scholar] [CrossRef]
- Goldman, M.J.; Craft, B.; Hastie, M.; Repečka, K.; McDade, F.; Kamath, A.; Banerjee, A.; Luo, Y.; Rogers, D.; Brooks, A.N. Visualizing and interpreting cancer genomics data via the Xena platform. Nat. Biotechnol. 2020, 38, 675–678. [Google Scholar] [CrossRef]
- Cerami, E.; Gao, J.; Dogrusoz, U.; Gross, B.E.; Sumer, S.O.; Aksoy, B.A.; Jacobsen, A.; Byrne, C.J.; Heuer, M.L.; Larsson, E. The cBio cancer genomics portal: An open platform for exploring multidimensional cancer genomics data. Cancer Discov. 2012, 2, 401–404. [Google Scholar] [CrossRef]
- Gao, J.; Aksoy, B.A.; Dogrusoz, U.; Dresdner, G.; Gross, B.; Sumer, S.O.; Sun, Y.; Jacobsen, A.; Sinha, R.; Larsson, E.; et al. Integrative analysis of complex cancer genomics and clinical profiles using the cBioPortal. Sci. Signal. 2013, 6, pl1. [Google Scholar] [CrossRef]
- de Bruijn, I.; Kundra, R.; Mastrogiacomo, B.; Tran, T.N.; Sikina, L.; Mazor, T.; Li, X.; Ochoa, A.; Zhao, G.; Lai, B.; et al. Analysis and Visualization of Longitudinal Genomic and Clinical Data from the AACR Project GENIE Biopharma Collaborative in cBioPortal. Cancer Res. 2023, 83, 3861–3867. [Google Scholar] [CrossRef]
- Vivian, J.; Rao, A.A.; Nothaft, F.A.; Ketchum, C.; Armstrong, J.; Novak, A.; Pfeil, J.; Narkizian, J.; Deran, A.D.; Musselman-Brown, A. Toil enables reproducible, open source, big biomedical data analyses. Nat. Biotechnol. 2017, 35, 314–316. [Google Scholar] [CrossRef] [PubMed]
- Liu, X.; Li, Y.; Qian, Z.; Sun, Z.; Xu, K.; Wang, K.; Liu, S.; Fan, X.; Li, S.; Zhang, Z. A radiomic signature as a non-invasive predictor of progression-free survival in patients with lower-grade gliomas. NeuroImage Clin. 2018, 20, 1070–1077. [Google Scholar] [CrossRef] [PubMed]
- Wang, Y.; Qian, T.; You, G.; Peng, X.; Chen, C.; You, Y.; Yao, K.; Wu, C.; Ma, J.; Sha, Z. Localizing seizure-susceptible brain regions associated with low-grade gliomas using voxel-based lesion-symptom mapping. Neuro-Oncology 2015, 17, 282–288. [Google Scholar] [CrossRef] [PubMed]
- Zhang, K.; Liu, X.; Li, G.; Chang, X.; Li, S.; Chen, J.; Zhao, Z.; Wang, J.; Jiang, T.; Chai, R. Clinical management and survival outcomes of patients with different molecular subtypes of diffuse gliomas in China (2011–2017): A multicenter retrospective study from CGGA. Cancer Biol. Med. 2022, 19, 1460. [Google Scholar] [CrossRef] [PubMed]
- Zhao, Z.; Zhang, K.-N.; Wang, Q.; Li, G.; Zeng, F.; Zhang, Y.; Wu, F.; Chai, R.; Wang, Z.; Zhang, C. Chinese Glioma Genome Atlas (CGGA): A comprehensive resource with functional genomic data from Chinese glioma patients. Genom. Proteom. Bioinform. 2021, 19, 1–12. [Google Scholar] [CrossRef]
- Love, M.I.; Huber, W.; Anders, S. Moderated estimation of fold change and dispersion for RNA-seq data with DESeq2. Genome Biol. 2014, 15, 550. [Google Scholar] [CrossRef] [PubMed]
- Zhu, A.; Ibrahim, J.G.; Love, M.I. Heavy-tailed prior distributions for sequence count data: Removing the noise and preserving large differences. Bioinformatics 2019, 35, 2084–2092. [Google Scholar] [CrossRef]
- Therneau, T.M.; Grambsch, P.M.; Therneau, T.M.; Grambsch, P.M. The Cox Model; Springer: New York, NY, USA, 2000. [Google Scholar]
- Kassambara, A.; Kosinski, M.; Biecek, P.; Fabian, S. Survminer: Drawing Survival Curves Using’ggplot2′, R Package Version 0.4.9.2021; 2021. Available online: https://rpkgs.datanovia.com/survminer/index.html (accessed on 13 October 2025).
- Lausen, B.; Hothorn, T.; Bretz, F.; Schumacher, M. Assessment of optimal selected prognostic factors. Biom. J. J. Math. Methods Biosci. 2004, 46, 364–374. [Google Scholar] [CrossRef]
- Subramanian, A.; Tamayo, P.; Mootha, V.K.; Mukherjee, S.; Ebert, B.L.; Gillette, M.A.; Paulovich, A.; Pomeroy, S.L.; Golub, T.R.; Lander, E.S. Gene set enrichment analysis: A knowledge-based approach for interpreting genome-wide expression profiles. Proc. Natl. Acad. Sci. USA 2005, 102, 15545–15550. [Google Scholar] [CrossRef]
- Liberzon, A.; Birger, C.; Thorvaldsdóttir, H.; Ghandi, M.; Mesirov, J.P.; Tamayo, P. The molecular signatures database hallmark gene set collection. Cell Syst. 2015, 1, 417–425. [Google Scholar] [CrossRef]
- Ulgen, E.; Ozisik, O.; Sezerman, O.U. pathfindR: An R package for comprehensive identification of enriched pathways in omics data through active subnetworks. Front. Genet. 2019, 10, 425394. [Google Scholar] [CrossRef]
- Quinn, T.P.; Richardson, M.F.; Lovell, D.; Crowley, T.M. propr: An R-package for identifying proportionally abundant features using compositional data analysis. Sci. Rep. 2017, 7, 16252. [Google Scholar] [CrossRef]
- Martín-Fernández, J.A.; Palarea-Albaladejo, J.; Olea, R.A. Dealing with zeros. Compos. Data Anal. Theory Appl. 2011, 43–58. [Google Scholar]
- Palarea-Albaladejo, J.; Martín-Fernández, J.A. zCompositions—R package for multivariate imputation of left-censored data under a compositional approach. Chemom. Intell. Lab. Syst. 2015, 143, 85–96. [Google Scholar] [CrossRef]
- Monje, M. The neuroscience of brain cancers. Neuron 2025, 113, 2734–2739. [Google Scholar] [CrossRef] [PubMed]
- Winkler, F.; Venkatesh, H.S.; Amit, M.; Batchelor, T.; Demir, I.E.; Deneen, B.; Gutmann, D.H.; Hervey-Jumper, S.; Kuner, T.; Mabbott, D. Cancer neuroscience: State of the field, emerging directions. Cell 2023, 186, 1689–1707. [Google Scholar] [CrossRef] [PubMed]
- Deb, A.; Deshmukh, B.; Ramteke, P.; Bhati, F.K.; Bhat, M.K. Resistin: A journey from metabolism to cancer. Transl. Oncol. 2021, 14, 101178. [Google Scholar] [CrossRef]
- Sudan, S.K.; Deshmukh, S.K.; Poosarla, T.; Holliday, N.P.; Dyess, D.L.; Singh, A.P.; Singh, S. Resistin: An inflammatory cytokine with multi-faceted roles in cancer. Biochim. Et Biophys. Acta (BBA)-Rev. Cancer 2020, 1874, 188419. [Google Scholar] [CrossRef]
- Huang, J.; Zhou, L.; Deng, K. Prognostic marker C3AR1 is associated with ovarian cancer cell proliferation and immunosuppression in the tumor microenvironment. J. Ovarian Res. 2023, 16, 64. [Google Scholar] [CrossRef]
- Shu, C.; Zha, H.; Long, H.; Wang, X.; Yang, F.; Gao, J.; Hu, C.; Zhou, L.; Guo, B.; Zhu, B. C3a-C3aR signaling promotes breast cancer lung metastasis via modulating carcinoma associated fibroblasts. J. Exp. Clin. Cancer Res. 2020, 39, 11. [Google Scholar] [CrossRef]
- Sims, N.A. Cardiotrophin-like cytokine factor 1 (CLCF1) and neuropoietin (NP) signalling and their roles in development, adulthood, cancer and degenerative disorders. Cytokine Growth Factor Rev. 2015, 26, 517–522. [Google Scholar] [CrossRef]
- Cocco, E.; Scaltriti, M.; Drilon, A. NTRK fusion-positive cancers and TRK inhibitor therapy. Nat. Rev. Clin. Oncol. 2018, 15, 731–747. [Google Scholar] [CrossRef]
- Kim, J.; Lee, Y.; Cho, H.-J.; Lee, Y.-E.; An, J.; Cho, G.-H.; Ko, Y.-H.; Joo, K.M.; Nam, D.-H. NTRK1 fusion in glioblastoma multiforme. PLoS ONE 2014, 9, e91940. [Google Scholar] [CrossRef] [PubMed]
- Masjedi, A.; Hajizadeh, F.; Dargani, F.B.; Beyzai, B.; Aksoun, M.; Hojjat-Farsangi, M.; Zekiy, A.; Jadidi-Niaragh, F. Oncostatin M: A mysterious cytokine in cancers. Int. Immunopharmacol. 2021, 90, 107158. [Google Scholar] [CrossRef] [PubMed]
- Li, Q.-T.; Feng, Y.-M.; Ke, Z.-H.; Qiu, M.-J.; He, X.-X.; Wang, M.-M.; Li, Y.-N.; Xu, J.; Shi, L.-L.; Xiong, Z.-F. KCNN4 promotes invasion and metastasis through the MAPK/ERK pathway in hepatocellular carcinoma. J. Investig. Med. 2020, 68, 68–74. [Google Scholar] [CrossRef] [PubMed]
- Xu, P.; Mo, X.; Xia, R.; Jiang, L.; Zhang, C.; Xu, H.; Sun, Q.; Zhou, G.; Zhang, Y.; Wang, Y. KCNN4 promotes the progression of lung adenocarcinoma by activating the AKT and ERK signaling pathways. Cancer Biomark. 2021, 31, 187–201. [Google Scholar] [CrossRef] [PubMed]
- Karmakar, S.; Lal, G. Role of serotonin receptor signaling in cancer cells and anti-tumor immunity. Theranostics 2021, 11, 5296. [Google Scholar] [CrossRef]
- Soroceanu, L.; Kharbanda, S.; Chen, R.; Soriano, R.H.; Aldape, K.; Misra, A.; Zha, J.; Forrest, W.F.; Nigro, J.M.; Modrusan, Z. Identification of IGF2 signaling through phosphoinositide-3-kinase regulatory subunit 3 as a growth-promoting axis in glioblastoma. Proc. Natl. Acad. Sci. USA 2007, 104, 3466–3471. [Google Scholar] [CrossRef]
- Liu, Y.; Ye, F.; Yamada, K.; Tso, J.L.; Zhang, Y.; Nguyen, D.H.; Dong, Q.; Soto, H.; Choe, J.; Dembo, A. Autocrine endothelin-3/endothelin receptor B signaling maintains cellular and molecular properties of glioblastoma stem cells. Mol. Cancer Res. 2011, 9, 1668–1685. [Google Scholar] [CrossRef]
- Pan, D.-s.; Feng, S.-z.; Cao, P.; Li, J.-j. Endothelin B receptor promotes the proliferation and immune escape of malignant gliomas. Artif. Cells Nanomed. Biotechnol. 2018, 46, 1230–1235. [Google Scholar] [CrossRef]
- Rosberg, R.; Smolag, K.I.; Sjolund, J.; Johansson, E.; Bergelin, C.; Wahlden, J.; Pantazopoulou, V.; Ceberg, C.; Pietras, K.; Blom, A.M. Hypoxia-induced Complement Component 3 Promotes Aggressive Tumor Growth in the Glioblastoma Microenvironment. JCI Insight 2024, 9, e179854. [Google Scholar] [CrossRef]
- Ah-Pine, F.; Malaterre-Septembre, A.; Bedoui, Y.; Khettab, M.; Neal, J.W.; Freppel, S.; Gasque, P. Complement activation and up-regulated expression of anaphylatoxin C3a/C3aR in glioblastoma: Deciphering the links with TGF-β and VEGF. Cancers 2023, 15, 2647. [Google Scholar] [CrossRef]
- Shen, S.-H.; Guo, J.-F.; Huang, J.; Zhang, Q.; Cui, Y. Bromodomain-containing protein 4 activates cardiotrophin-like cytokine factor 1, an unfavorable prognostic biomarker, and promotes glioblastoma in vitro. Ann. Transl. Med. 2022, 10, 475. [Google Scholar] [CrossRef]
- Torre, M.; Vasudevaraja, V.; Serrano, J.; DeLorenzo, M.; Malinowski, S.; Blandin, A.-F.; Pages, M.; Ligon, A.H.; Dong, F.; Meredith, D.M.; et al. Molecular and clinicopathologic features of gliomas harboring NTRK fusions. Acta Neuropathol. Commun. 2020, 8, 107. [Google Scholar] [CrossRef]
- Matsumoto, Y.; Ichikawa, T.; Kurozumi, K.; Otani, Y.; Fujimura, A.; Fujii, K.; Tomita, Y.; Hattori, Y.; Uneda, A.; Tsuboi, N. Annexin A2–STAT3–Oncostatin M receptor axis drives phenotypic and mesenchymal changes in glioblastoma. Acta Neuropathol. Commun. 2020, 8, 42. [Google Scholar] [CrossRef]
- Natesh, K.; Bhosale, D.; Desai, A.; Chandrika, G.; Pujari, R.; Jagtap, J.; Chugh, A.; Ranade, D.; Shastry, P. Oncostatin-M differentially regulates mesenchymal and proneural signature genes in gliomas via STAT3 signaling. Neoplasia 2015, 17, 225–237. [Google Scholar] [CrossRef]
- Sharanek, A.; Burban, A.; Laaper, M.; Heckel, E.; Joyal, J.-S.; Soleimani, V.D.; Jahani-Asl, A. OSMR controls glioma stem cell respiration and confers resistance of glioblastoma to ionizing radiation. Nat. Commun. 2020, 11, 4116. [Google Scholar] [CrossRef]
- Jahani-Asl, A.; Yin, H.; Soleimani, V.D.; Haque, T.; Luchman, H.A.; Chang, N.C.; Sincennes, M.-C.; Puram, S.V.; Scott, A.M.; Lorimer, I.A.J.; et al. Control of glioblastoma tumorigenesis by feed-forward cytokine signaling. Nat. Neurosci. 2016, 19, 798–806. [Google Scholar] [CrossRef] [PubMed]
- D’Alessandro, G.; Catalano, M.; Sciaccaluga, M.; Chece, G.; Cipriani, R.; Rosito, M.; Grimaldi, A.; Lauro, C.; Cantore, G.; Santoro, A.; et al. KCa3.1 channels are involved in the infiltrative behavior of glioblastoma in vivo. Cell Death Dis. 2013, 4, e773. [Google Scholar] [CrossRef]
- Alessandro, G.; Grimaldi, A.; Chece, G.; Porzia, A.; Esposito, V.; Santoro, A.; Salvati, M.; Mainiero, F.; Ragozzino, D.; Di Angelantonio, S.; et al. KCa3.1 channel inhibition sensitizes malignant gliomas to temozolomide treatment. Oncotarget 2016, 7, 30781–30796. [Google Scholar] [CrossRef]
- Mahé, C.; Bernhard, M.; Bobirnac, I.; Keser, C.; Loetscher, E.; Feuerbach, D.; Dev, K.K.; Schoeffter, P. Functional expression of the serotonin 5-HT7 receptor in human glioblastoma cell lines. Br. J. Pharmacol. 2004, 143, 404–410. [Google Scholar] [CrossRef] [PubMed]
- Bikfalvi, A.; da Costa, C.A.; Avril, T.; Barnier, J.-V.; Bauchet, L.; Brisson, L.; Cartron, P.F.; Castel, H.; Chevet, E.; Chneiweiss, H. Challenges in glioblastoma research: Focus on the tumor microenvironment. Trends Cancer 2023, 9, 9–27. [Google Scholar] [CrossRef] [PubMed]
- DeCordova, S.; Shastri, A.; Tsolaki, A.G.; Yasmin, H.; Klein, L.; Singh, S.K.; Kishore, U. Molecular heterogeneity and immunosuppressive microenvironment in glioblastoma. Front. Immunol. 2020, 11, 1402. [Google Scholar] [CrossRef]
- Gieryng, A.; Pszczolkowska, D.; Walentynowicz, K.A.; Rajan, W.D.; Kaminska, B. Immune microenvironment of gliomas. Lab. Investig. 2017, 97, 498–518. [Google Scholar] [CrossRef]
- Piperi, C.; Papavassiliou, K.A.; Papavassiliou, A.G. Pivotal role of STAT3 in shaping glioblastoma immune microenvironment. Cells 2019, 8, 1398. [Google Scholar] [CrossRef]
- Atkinson, G.P.; Nozell, S.E.; Benveniste, E.N. NF-κB and STAT3 signaling in glioma: Targets for future therapies. Expert Rev. Neurother. 2010, 10, 575–586. [Google Scholar] [CrossRef]
- Verhaak, R.G.; Hoadley, K.A.; Purdom, E.; Wang, V.; Qi, Y.; Wilkerson, M.D.; Miller, C.R.; Ding, L.; Golub, T.; Mesirov, J.P. Integrated genomic analysis identifies clinically relevant subtypes of glioblastoma characterized by abnormalities in PDGFRA, IDH1, EGFR, and NF1. Cancer Cell 2010, 17, 98–110. [Google Scholar] [CrossRef]
- Wang, Q.; Hu, B.; Hu, X.; Kim, H.; Squatrito, M.; Scarpace, L.; DeCarvalho, A.C.; Lyu, S.; Li, P.; Li, Y. Tumor evolution of glioma-intrinsic gene expression subtypes associates with immunological changes in the microenvironment. Cancer Cell 2017, 32, 42–56.e46. [Google Scholar] [CrossRef]
- Bouwens Van Der Vlis, T.; Kros, J.; Mustafa, D.; van Wijck, R.; Ackermans, L.; van Hagen, P.; van der Spek, P. The complement system in glioblastoma multiforme. Acta Neuropathol. Commun. 2018, 6, 91. [Google Scholar] [CrossRef]
- Ayala-Lopez, N.; Watts, S.W. Physiology and pharmacology of neurotransmitter transporters. Compr. Physiol. 2021, 11, 2279–2295. [Google Scholar] [CrossRef]
- Colucci-D’Amato, L.; Speranza, L.; Volpicelli, F. Neurotrophic factor BDNF, physiological functions and therapeutic potential in depression, neurodegeneration and brain cancer. Int. J. Mol. Sci. 2020, 21, 7777. [Google Scholar] [CrossRef] [PubMed]
- Van Den Pol, A.N. Neuropeptide transmission in brain circuits. Neuron 2012, 76, 98–115. [Google Scholar] [CrossRef]








| Dataset | Normal Brain | GBM | Paired/Unpaired | 
|---|---|---|---|
| TCGA-GTEx | 211 | 140 | Unpaired | 
| CGGA | 20 | 89 | Unpaired | 
| GSE147352 | 15 | 56 | Unpaired | 
| GSE165595 | 15 | 15 | Paired | 
| Genes | Input Gene List | Number of DEGs | Number of Upregulated Genes | Number of Downregulated Genes | 
|---|---|---|---|---|
| Neuropeptides | 97 | 50 | 25 | 25 | 
| Neuropeptide receptors | 97 | 60 | 22 | 38 | 
| Neurotrophic factors | 26 | 14 | 9 | 5 | 
| Neurotrophic factor receptors | 22 | 16 | 9 | 7 | 
| Neurotransmitter receptors | 131 | 99 | 12 | 87 | 
| Neurotransmitter system-related | 47 | 33 | 9 | 24 | 
| Variable | Characteristics | Univariable Cox | Multivariable Cox | ||||
|---|---|---|---|---|---|---|---|
| HR | 95% CI | p-Value | HR | 95% CI | p-Value | ||
| TCGA | |||||||
| Risk Score | High vs. Low | 2.15 | 1.41–3.27 | <0.001 | 2.86 | 1.36–5.98 | 0.005 | 
| Age | Continuous | 1.03 | 1.01–1.05 | 0.003 | 1.02 | 0.99–1.05 | 0.196 | 
| Gender | Male vs. Female | 0.85 | 0.57–1.28 | 0.444 | 1.14 | 0.55–2.36 | 0.716 | 
| Radiation | Yes vs. No | 0.21 | 0.13–0.34 | <0.001 | 0.14 | 0.06–0.36 | <0.001 | 
| Chemotherapy | Yes vs. No | 0.40 | 0.26–0.62 | <0.001 | 1.88 | 0.72–4.87 | 0.196 | 
| MGMT | Methylated vs. Unmethylated | 0.67 | 0.41–1.10 | 0.112 | 0.63 | 0.30–1.31 | 0.219 | 
| Subtype | Mesenchymal vs. Classical | 1.12 | 0.66–1.92 | 0.675 | 0.92 | 0.44–1.92 | 0.280 | 
| Proneural vs. Classical | 1.37 | 0.76–2.46 | 0.292 | 1.02 | 0.4–2.6 | 0.96 | |
| CGGA | |||||||
| Risk Score | High vs. Low | 2.77 | 1.54–4.99 | <0.001 | 2.41 | 1.27–4.56 | 0.007 | 
| Age | Continuous | 1.02 | 1.00–1.04 | 0.069 | 1.02 | 1.00–1.04 | 0.047 | 
| Gender | Male vs. Female | 1.27 | 0.79–2.06 | 0.321 | 1.48 | 0.85–2.56 | 0.164 | 
| Radiation | Yes vs. No | 0.86 | 0.47–1.58 | 0.634 | 0.83 | 0.49–1.41 | 0.490 | 
| Chemotherapy | Yes vs. No | 0.33 | 0.19–0.57 | <0.001 | 0.57 | 0.29–1.12 | 0.100 | 
| MGMT | Methylated vs. Unmethylated | 0.80 | 0.50–1.28 | 0.347 | 0.44 | 0.25–0.78 | 0.005 | 
| Hallmarks/Pathways | NES | NOM p-Val | FDR q-Val | 
|---|---|---|---|
| MSigDB Hallmark | |||
| TNFA_SIGNALING_VIA_NFKB | 2.03 | <0.0001 | 0.0053 | 
| EPITHELIAL_MESENCHYMAL_TRANSITION | 2.05 | 0.0020 | 0.0076 | 
| COAGULATION | 1.99 | <0.0001 | 0.0076 | 
| HYPOXIA | 1.97 | 0.0020 | 0.0077 | 
| IL6_JAK_STAT3_SIGNALING | 1.91 | 0.0079 | 0.0093 | 
| INFLAMMATORY_RESPONSE | 1.94 | 0.0039 | 0.0095 | 
| KRAS_SIGNALING_UP | 1.86 | 0.0019 | 0.0128 | 
| APICAL_JUNCTION | 1.87 | <0.0001 | 0.0138 | 
| ESTROGEN_RESPONSE_EARLY | 1.81 | <0.0001 | 0.0186 | 
| COMPLEMENT | 1.81 | 0.0039 | 0.0203 | 
| IL2_STAT5_SIGNALING | 1.79 | 0.0098 | 0.0213 | 
| ANGIOGENESIS | 1.71 | 0.0154 | 0.0435 | 
| KEGG_MEDICUS | |||
| IL6_FAMILY_TO_JAK_STAT_SIGNALING_PATHWAY | 1.97 | 0.0020 | 0.0177 | 
| ITGA_B_RHOGAP_RHOA_SIGNALING_PATHWAY | 1.95 | 0.0020 | 0.0182 | 
| ITGA_B_RHOGEF_RHOA_SIGNALING_PATHWAY | 1.97 | 0.0020 | 0.0231 | 
| ITGA_B_FAK_RAC_SIGNALING_PATHWAY | 1.90 | 0.0040 | 0.0281 | 
| IL2_FAMILY_TO_JAK_STAT_SIGNALING_PATHWAY | 1.87 | 0.0038 | 0.0299 | 
| ITGA_B_FAK_CDC42_SIGNALING_PATHWAY | 1.91 | 0.0040 | 0.0309 | 
| HORMONE_LIKE_CYTOKINE_TO_JAK_STAT_SIGNALING_PATHWAY | 1.87 | 0.0060 | 0.0334 | 
| ITGA_B_RHOG_RAC_SIGNALING_PATHWAY | 1.87 | 0.0079 | 0.0338 | 
| ITGA_B_TALIN_VINCULIN_SIGNALING_PATHWAY | 1.98 | 0.0040 | 0.0461 | 
| Reactome | |||
| CELL_SURFACE_INTERACTIONS_AT_THE_VASCULAR_WALL | 1.98 | 0.0019 | 0.0343 | 
| TNF_RECEPTOR_SUPERFAMILY_TNFSF_MEMBERS_ MEDIATING_NON_CANONICAL_NF_KB_PATHWAY | 1.98 | 0.0020 | 0.0379 | 
| DEGRADATION_OF_THE_EXTRACELLULAR_MATRIX | 1.96 | <0.0001 | 0.0388 | 
| ACTIVATION_OF_MATRIX_METALLOPROTEINASES | 1.99 | <0.0001 | 0.0391 | 
| COMPLEMENT_CASCADE | 1.95 | 0.0020 | 0.0415 | 
| COLLAGEN_DEGRADATION | 1.94 | <0.0001 | 0.0450 | 
| NEGATIVE_REGULATION_OF_TCF_DEPENDENT_ SIGNALING_BY_WNT_LIGAND_ANTAGONISTS | 1.92 | <0.0001 | 0.0467 | 
| ANTIMICROBIAL_PEPTIDES | 1.93 | <0.0001 | 0.0472 | 
| INTERLEUKIN_4_AND_INTERLEUKIN_13_SIGNALING | 1.99 | 0.0020 | 0.0473 | 
| Term ID | GO Biological Process | Highest p Value | 
|---|---|---|
| Immunomodulation-related | ||
| GO:0042110 | T cell activation | 3.16 × 10−2 | 
| GO:0050853 | B cell receptor signalling pathway | 2.02 × 10−5 | 
| GO:0007159 | Leukocyte cell–cell adhesion | 1.44 × 10−2 | 
| GO:0030217 | T cell differentiation | 6.30 × 10−5 | 
| GO:0001819 | Positive regulation of cytokine production | 7.93 × 10−5 | 
| GO:0002250 | Adaptive immune response | 9.31 × 10−6 | 
| GO:0043123 | Positive regulation of I-kappaB kinase/NF-kappaB signalling | 2.99 × 10−5 | 
| GO:0050901 | Leukocyte tethering or rolling | 2.10 × 10−2 | 
| GO:0032755 | Positive regulation of interleukin-6 production | 2.77 × 10−3 | 
| GO:0032760 | Positive regulation of tumour necrosis factor production | 2.18 × 10−4 | 
| GO:0019221 | Cytokine-mediated signalling pathway | 9.43 × 10−4 | 
| GO:0051092 | Positive regulation of NF-kappaB transcription factor activity | 2.55 × 10−3 | 
| GO:0031295 | T cell costimulation | 1.54 × 10−2 | 
| GO:0030593 | Neutrophil chemotaxis | 1.55 × 10−2 | 
| GO:0032743 | Positive regulation of interleukin-2 production | 4.76 × 10−2 | 
| GO:0045087 | Innate immune response | 2.19 × 10−2 | 
| EMT/cell-ECM adhesion/matrix remodelling/angiogenesis-related | ||
| GO:0007229 | Integrin-mediated signalling pathway | 1.98 × 10−9 | 
| GO:0034113 | Heterotypic cell–cell adhesion | 4.90 × 10−6 | 
| GO:0071260 | Cellular response to mechanical stimulus | 7.10 × 10−5 | 
| GO:0030335 | Positive regulation of cell migration | 5.27 × 10−6 | 
| GO:0030199 | Collagen fibril organisation | 5.02 × 10−4 | 
| GO:0034446 | Substrate adhesion-dependent cell spreading | 2.28 × 10−6 | 
| GO:0007155 | Cell adhesion | 1.32 × 10−4 | 
| GO:0030574 | Collagen catabolic process | 3.62 × 10−5 | 
| GO:0045109 | Intermediate filament organisation | 1.61 × 10−5 | 
| GO:0070372 | Regulation of ERK1 and ERK2 cascade | 2.67 × 10−5 | 
| GO:0070374 | Positive regulation of ERK1 and ERK2 cascade | 2.81 × 10−4 | 
| GO:0022617 | Extracellular matrix disassembly | 1.81 × 10−4 | 
| GO:0014065 | Phosphatidylinositol 3-kinase signalling | 4.16 × 10−4 | 
| GO:0014068 | Positive regulation of phosphatidylinositol 3-kinase signalling | 1.20 × 10−3 | 
| GO:0045766 | Positive regulation of angiogenesis | 1.41 × 10−5 | 
| GO:0010575 | Positive regulation of vascular endothelial growth factor production | 1.20 × 10−3 | 
| Term ID | KEGG Pathway | Highest p Value | 
| Immunomodulation-related | ||
| hsa04630 | JAK-STAT signalling pathway | 9.61 × 10−9 | 
| hsa04613 | Neutrophil extracellular trap formation | 1.50 × 10−15 | 
| hsa04060 | Cytokine–cytokine receptor interaction | 1.93 × 10−10 | 
| hsa04659 | Th17 cell differentiation | 2.68 × 10−4 | 
| hsa04610 | Complement and coagulation cascades | 8.87 × 10−10 | 
| hsa04064 | NF-kappa B signalling pathway | 2.37 × 10−10 | 
| hsa04062 | Chemokine signalling pathway | 4.68 × 10−3 | 
| hsa04750 | Inflammatory mediator regulation of TRP channels | 1.99 × 10−5 | 
| hsa04670 | Leukocyte transendothelial migration | 7.53 × 10−5 | 
| hsa04668 | TNF signalling pathway | 1.01 × 10−6 | 
| hsa04662 | B cell receptor signalling pathway | 3.62 × 10−6 | 
| hsa04658 | Th1 and Th2 cell differentiation | 8.28 × 10−3 | 
| hsa04660 | T cell receptor signalling pathway | 6.01 × 10−6 | 
| EMT/cell-ECM adhesion/matrix remodelling/angiogenesis-related | ||
| hsa04512 | ECM-receptor interaction | 1.18 × 10−14 | 
| hsa04510 | Focal adhesion | 3.01 × 10−13 | 
| hsa04915 | Oestrogen signalling pathway | 1.88 × 10−9 | 
| hsa04014 | Ras signalling pathway | 7.27 × 10−6 | 
| hsa05205 | Proteoglycans in cancer | 2.79 × 10−8 | 
| hsa04810 | Regulation of actin cytoskeleton | 5.78 × 10−8 | 
| hsa04010 | MAPK signalling pathway | 5.05 × 10−7 | 
| hsa04015 | Rap1 signalling pathway | 1.17 × 10−3 | 
| hsa04520 | Adherens junction | 2.77 × 10−5 | 
| Term ID | Reactome Pathway | Highest p Value | 
| Immunomodulation-related | ||
| R-HSA-173623 | Classical antibody-mediated complement activation | 1.14 × 10−21 | 
| R-HSA-166663 | Initial triggering of complement | 5.71 × 10−22 | 
| R-HSA-977606 | Regulation of complement cascade | 1.06 × 10−21 | 
| R-HSA-166786 | Creation of C4 and C2 activators | 1.22 × 10−20 | 
| R-HSA-166658 | Complement cascade | 7.87 × 10−21 | 
| R-HSA-5690714 | CD22-mediated BCR regulation | 1.51 × 10−15 | 
| R-HSA-983695 | Antigen activates B cell receptor (BCR) leading to generation of second messengers | 3.11 × 10−15 | 
| R-HSA-983705 | Signalling by the B cell receptor (BCR) | 3.17 × 10−11 | 
| R-HSA-5668541 | TNFR2 non-canonical NF-kB pathway | 5.49 × 10−12 | 
| R-HSA-451927 | Interleukin-2 family signalling | 4.84 × 10−7 | 
| R-HSA-512988 | Interleukin-3, Interleukin-5 and GM-CSF signalling | 4.84 × 10−7 | 
| R-HSA-6785807 | Interleukin-4 and Interleukin-13 signalling | 2.83 × 10−8 | 
| R-HSA-5676594 | TNF receptor superfamily (TNFSF) members mediating non-canonical NF-kB pathway | 1.16 × 10−9 | 
| R-HSA-1266695 | Interleukin-7 signalling | 2.04 × 10−2 | 
| EMT/cell-ECM adhesion/matrix remodelling/angiogenesis-related | ||
| R-HSA-1474244 | Extracellular matrix organisation | 8.58 × 10−21 | 
| R-HSA-1474290 | Collagen formation | 6.02 × 10−17 | 
| R-HSA-202733 | Cell surface interactions at the vascular wall | 1.58 × 10−13 | 
| R-HSA-2219530 | Constitutive signalling by aberrant PI3K in cancer | 4.06 × 10−11 | 
| R-HSA-2022090 | Assembly of collagen fibrils and other multimeric structures | 5.64 × 10−12 | 
| R-HSA-2219528 | PI3K/AKT signalling in cancer | 8.74 × 10−10 | 
| R-HSA-6811558 | PI5P, PP2A and IER3 regulate PI3K/AKT signalling | 9.63 × 10−10 | 
| R-HSA-3000157 | Laminin interactions | 1.56 × 10−14 | 
| R-HSA-199418 | Negative regulation of the PI3K/AKT network | 1.85 × 10−9 | 
| R-HSA-9013149 | RAC1 GTPase cycle | 3.79 × 10−5 | 
| R-HSA-8874081 | MET activates PTK2 signalling | 8.36 × 10−11 | 
| R-HSA-216083 | Integrin cell surface interactions | 1.19 × 10−10 | 
| R-HSA-1474228 | Degradation of the extracellular matrix | 8.44 × 10−10 | 
| R-HSA-1257604 | PIP3 activates AKT signalling | 1.67 × 10−5 | 
| Prognostic Genes | Oncogenic Roles in GBM | References | 
|---|---|---|
| IGF2 | 
 | [47] | 
| RETN | 
 | - | 
| EDNRB | 
 | [48,49] | 
| C3AR1 | 
 | [50,51] | 
| CLCF1 | 
 | [52] | 
| NTRK1 | 
 | [42,53] | 
| OSMR | 
 | [54,55,56,57] | 
| KCNN4 | 
 | [58,59] | 
| SLC18A3 | 
 | [6] | 
| HTR7 | 
 | [60] | 
| Disclaimer/Publisher’s Note: The statements, opinions and data contained in all publications are solely those of the individual author(s) and contributor(s) and not of MDPI and/or the editor(s). MDPI and/or the editor(s) disclaim responsibility for any injury to people or property resulting from any ideas, methods, instructions or products referred to in the content. | 
© 2025 by the authors. Licensee MDPI, Basel, Switzerland. This article is an open access article distributed under the terms and conditions of the Creative Commons Attribution (CC BY) license (https://creativecommons.org/licenses/by/4.0/).
Share and Cite
Chow, M.Y.; Liew, S.S.X.; Monif, M.; Kamarudin, M.N.A.; Phon, B.W.S. A Prognostic Neuromodulation-Related Gene Signature Identifies Immunomodulation and Tumour-Associated Hallmarks in Glioblastoma. Biomedicines 2025, 13, 2640. https://doi.org/10.3390/biomedicines13112640
Chow MY, Liew SSX, Monif M, Kamarudin MNA, Phon BWS. A Prognostic Neuromodulation-Related Gene Signature Identifies Immunomodulation and Tumour-Associated Hallmarks in Glioblastoma. Biomedicines. 2025; 13(11):2640. https://doi.org/10.3390/biomedicines13112640
Chicago/Turabian StyleChow, Min Yee, Sylvia Sue Xian Liew, Mastura Monif, Muhamad Noor Alfarizal Kamarudin, and Brandon Wee Siang Phon. 2025. "A Prognostic Neuromodulation-Related Gene Signature Identifies Immunomodulation and Tumour-Associated Hallmarks in Glioblastoma" Biomedicines 13, no. 11: 2640. https://doi.org/10.3390/biomedicines13112640
APA StyleChow, M. Y., Liew, S. S. X., Monif, M., Kamarudin, M. N. A., & Phon, B. W. S. (2025). A Prognostic Neuromodulation-Related Gene Signature Identifies Immunomodulation and Tumour-Associated Hallmarks in Glioblastoma. Biomedicines, 13(11), 2640. https://doi.org/10.3390/biomedicines13112640
 
        


 
       