First Spanish Experience with Stereotactic MR-Guided Adaptive Radiotherapy (SMART) in Borderline Resectable and Locally Advanced Pancreatic Cancer: A Prospective Study
Abstract
1. Introduction
2. Materials and Methods
2.1. Study Design and Patient Selection
2.2. Simulation and Treatment Planning
Follow-Up and Outcome Assessment
- Local control (LC): Absence of progression in the primary tumor and regional lymph nodes (RECIST v1.1).
- Overall survival (OS): Time from diagnosis to death or last follow-up.
- Distant progression-free survival (DPFS): Time from diagnosis to first distant metastasis.
- Progression-free survival (PFS): Time from diagnosis to progression, death, or last contact.
- Treatment-free interval (TFI): Time from the last SMART fraction to the appearance of distant metastases.
2.3. Statistical Analysis
3. Results
3.1. Treatment Characteristics
3.2. Toxicity and Outcomes
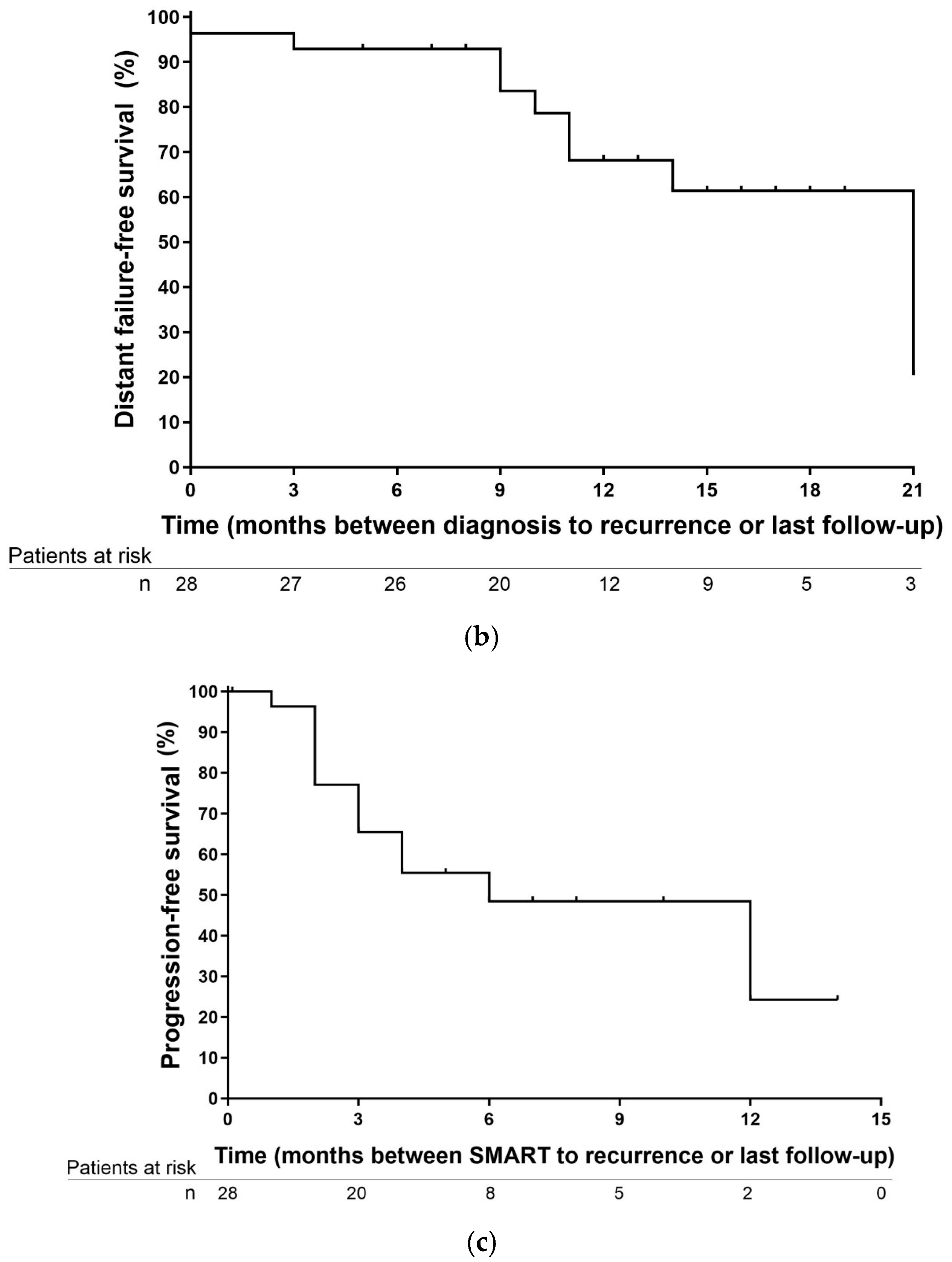
3.3. Oncologic Outcomes
4. Discussion
5. Conclusions
Author Contributions
Funding
Institutional Review Board Statement
Informed Consent Statement
Data Availability Statement
Conflicts of Interest
Abbreviations
| SMART | Ablative Stereotactic MR-guided Adaptive Radiation Therapy |
| BED | Biologically Effective Dose |
| BRPC | Borderline Resectable Pancreatic Cancer |
| bSSFP | Balanced Steady-State Free Precession |
| CA 19-9 | Carbohydrate Antigen 19-9 |
| CT | Computed Tomography |
| CTCAE | Common Terminology Criteria for Adverse Events |
| CTV | Clinical Target Volume |
| DFFS | Distant Failure-Free Survival |
| DIBH | Deep Inspiration Breath Hold |
| DVH | Dose–Volume Histogram |
| ECOG | Eastern Cooperative Oncology Group |
| ENI | Elective Nodal Irradiation |
| GTV | Gross Tumor Volume |
| IMRT | Intensity-Modulated Radiation Therapy |
| LAPC | Locally Advanced Pancreatic Cancer |
| LC | Local Control |
| MRI | Magnetic Resonance Imaging |
| MRgRT | Magnetic Resonance-guided Radiotherapy |
| MR-LINAC | Magnetic Resonance Linear Accelerator |
| OAR | Organ at Risk |
| OS | Overall Survival |
| PDAC | Pancreatic Ductal Adenocarcinoma |
| PET-CT | Positron Emission Tomography–Computed Tomography |
| PFS | Progression-Free Survival |
| PTV | Planning Target Volume |
| PTV_High/PTV\_opt | High-dose Planning Target Volume (Optimized) |
| PTV_Low | Low-dose Planning Target Volume |
| RTT | Radiation Therapist |
| SBRT | Stereotactic Body Radiation Therapy |
| TFI | Treatment-Free Interval |
| TRUFI | True Fast Imaging with Steady-State Precession |
| ULN | Upper Limit of Normal |
References
- Mizrahi, J.D.; Surana, R.; Valle, J.W.; Shroff, R.T. Pancreatic cancer. Lancet 2020, 395, 2008–2020. [Google Scholar] [CrossRef]
- Red Española de Registros de Cáncer (REDECAN). Las Cifras del Cáncer en España 2024. Available online: https://redecan.org/storage/documentation/442e1d1a-4040-4674-81cf-5e6a67af6458.pdf (accessed on 18 May 2025).
- Kleeff, J.; Korc, M.; Apte, M.; La Vecchia, C.; Johnson, C.D.; Biankin, A.V.; Neale, R.E.; Tempero, M.; Tuveson, D.A.; Hruban, R.H. Pancreatic cancer. Nat. Rev. Dis. Primers 2016, 2, 16022. [Google Scholar] [CrossRef]
- Yeo, C.J.; Cameron, J.L.; Lillemoe, K.D.; Sitzmann, J.V.; Hruban, R.H.; Goodman, S.N.; Dooley, W.C.; Coleman, J.; Pitt, H.A. Pancreaticoduodenectomy for Cancer of the Head of the Pancreas: 201 Patients. Ann. Surg. 1995, 221, 721–733. [Google Scholar] [CrossRef]
- Ghaneh, P.; Kleeff, J.; Halloran, C.M.; Raraty, M.; Jackson, R.; Melling, J.; Jones, O.; Palmer, D.H.; Cox, T.F.; Smith, C.J.; et al. The Impact of Positive Resection Margins on Survival and Recurrence Following Resection and Adjuvant Chemotherapy for Pancreatic Ductal Adenocarcinoma. Ann. Surg. 2019, 269, 520–529. [Google Scholar] [CrossRef] [PubMed]
- Conroy, T.; Pfeiffer, P.; Vilgrain, V.; Lamarca, A.; Seufferlein, T.; O’Reilly, E.M.; Hackert, T.; Golan, T.; Prager, G.; Haustermans, K.; et al. Pancreatic Cancer: Clinical Practice Guideline for Diagnosis, Treatment and Follow-Up. Ann. Oncol. 2023, 34, 987–1002. [Google Scholar] [CrossRef] [PubMed]
- Palta, M.; Godfrey, D.; Goodman, K.A.; Hoffe, S.; Dawson, L.A.; Dessert, D.; Hall, W.A.; Herman, J.M.; Khorana, A.A.; Merchant, N.; et al. Radiation Therapy for Pancreatic Cancer: Executive Summary of an ASTRO Clinical Practice Guideline. Pract. Radiat. Oncol. 2019, 9, 322–332. [Google Scholar] [CrossRef]
- National Comprehensive Cancer Network (NCCN). Pancreatic Adenocarcinoma (Version 2.2024). Available online: https://www.nccn.org (accessed on 18 May 2025).
- Tee, M.C.; Krajewski, A.C.; Groeschl, R.T.; Farnell, M.B.; Nagorney, D.M.; Kendrick, M.L.; Cleary, S.P.; Smoot, R.L.; Croome, K.P.; Truty, M.J. Indications and Perioperative Outcomes for Pancreatectomy with Arterial Resection. J. Am. Coll. Surg. 2018, 227, 255–269. [Google Scholar] [CrossRef]
- Versteijne, E.; Vogel, J.A.; Besselink, M.G.; Busch, O.R.C.; Wilmink, J.W.; Daams, J.G.; van Eijck, C.H.J.; Groot Koerkamp, B.; Rasch, C.R.N.; van Tienhoven, G.; et al. Meta-Analysis Comparing Upfront Surgery with Neoadjuvant Treatment in Patients with Resectable or Borderline Resectable Pancreatic Cancer. Br. J. Surg. 2018, 105, 946–958. [Google Scholar] [CrossRef]
- Huguet, F.; Bouchart, C.; Bruynzeel, A.M.E.; Hawkins, M.A.; Mukherjee, S.; Nuyttens, J.J.; Riou, O.; Scorsetti, M.; Versteijne, E.; Loi, M.; et al. Radiation therapy for locally advanced pancreatic adenocarcinoma: A therapeutic option which should not be forgotten. Letter to the editor regarding: “Pancreatic cancer: ESMO clinical practice guideline for diagnosis, treatment and follow-up” by Huguet et al. Ann. Oncol. 2024, 35, 749. [Google Scholar] [CrossRef] [PubMed]
- Fietkau, R.; Ghadimi, M.; Grützmann, R.; Wittel, U.A.; Jacobasch, L.; Uhl, W.; Croner, R.S.; Bechstein, W.O.; Neumann, U.P.; Waldschmidt, D.; et al. Benefit of Chemoradiotherapy Versus Chemotherapy After Induction Therapy for Conversion of Unresectable Into Resectable Pancreatic Cancer: The Randomized CONKO-007 Trial. J. Clin. Oncol. 2025; ahead of print. [Google Scholar] [CrossRef]
- Hammel, P.; Huguet, F.; van Laethem, J.L.; Goldstein, D.; Glimelius, B.; Artru, P. Effect of chemoradiotherapy vs chemotherapy on survival in patients with locally advanced pancreatic cancer controlled after 4 months of gemcitabine with or without erlotinib: The LAP07 randomized clinical trial. JAMA 2016, 315, 1844–1853. [Google Scholar] [CrossRef]
- Hidalgo, M.; Álvarez, R.; Gallego, J.; Guillén-Ponce, C.; Laquente, B.; Macarulla, T.; Muñoz, A.; Salgado, M.; Vera, R.; Adeva, J.; et al. Consensus guidelines for diagnosis, treatment and follow-up of patients with pancreatic cancer in Spain. Clin. Transl. Oncol. 2017, 19, 667–681. [Google Scholar] [CrossRef]
- Tchelebi, L.T.; Lehrer, E.J.; Trifiletti, D.M.; Cellini, F.; Arcelli, A.; Simoni, N.; Caravatta, L.; Buwenge, M.; Calabrese, A. Basics and frontiers on pancreatic cancer for radiation oncology: Target delineation, SBRT, SIB technique, MRgRT, particle therapy, immunotherapy and clinical guidelines. Cancers 2020, 12, 1729. [Google Scholar] [CrossRef]
- Ocanto, A.; Torres, L.; Montijano, M.; Rincón, D.; Fernández, C.; Sevilla, B.; Gonsalves, D.; Teja, M.; Guijarro, M.; Glaría, L.; et al. MR-LINAC, a new partner in radiation oncology: Current landscape. Cancers 2024, 16, 270. [Google Scholar] [CrossRef]
- Tringale, K.R.; Tyagi, N.; Reyngold, M.; Romesser, P.B.; Wu, A.; O’REilly, E.M.; Varghese, A.M.; Scripes, P.G.; Khalil, D.N.; Park, W.; et al. Stereotactic ablative radiation for pancreatic cancer on a 1.5 Tesla magnetic resonance-linac system. Phys. Imaging Radiat. Oncol. 2022, 24, 88–94. [Google Scholar] [CrossRef] [PubMed]
- Gonsalves, D.; Ocanto, A.; Meilan, E.; Gomez, A.; Dominguez, J.; Torres, L.; Pascual, C.F.; Teja, M.; Linde, M.M.; Guijarro, M.; et al. Feasibility and acute toxicity of hypofractionated radiotherapy on 0.35T MR-LINAC: The first prospective study in Spain. Cancers 2024, 16, 1685. [Google Scholar] [CrossRef] [PubMed]
- ESTRO ACROP. Guidelines for target volume definition in pancreatic cancer. European Society for Radiotherapy and Oncology. Radiother. Oncol. 2021, 154, 60–69. [Google Scholar] [CrossRef] [PubMed]
- Sanford, N.N.; Narang, A.K.; Aguilera, T.A.; Bassetti, M.F.; Chuong, M.D.; Erickson, B.A.; Goodman, K.A.; Herman, J.M.; Intven, M.; Kilcoyne, A.; et al. NRG Oncology international consensus contouring atlas on target volumes and dosing strategies for dose-escalated pancreatic cancer radiation therapy. Int. J. Radiat. Oncol. Biol. Phys. 2025, 121, 918–929. [Google Scholar] [CrossRef]
- Brown, J.M.; Carlson, D.J.; Brenner, D.J. The tumor radiobiology of SRS and SBRT: Are more than the 5 Rs involved? Int. J. Radiat. Oncol. Biol. Phys. 2014, 88, 254–262. [Google Scholar] [CrossRef]
- Krishnan, S.; Chadha, A.S.; Suh, Y.; Chen, H.C.; Rao, A.; Das, P.; Minsky, B.D.; Mahmood, U.; Delclos, M.E.; Sawakuchi, G.O.; et al. Focal radiation therapy dose escalation improves overall survival in locally advanced pancreatic cancer patients receiving induction chemotherapy and consolidative chemoradiation. Int. J. Radiat. Oncol. Biol. Physs. 2016, 94, 755–765. [Google Scholar] [CrossRef]
- Koong, A.C.; Le, Q.T.; Ho, A.; Fong, B.; Fisher, G.; Cho, C.; Ford, J.; Poen, J.; Gibbs, I.C.; Mehta, V.K. Phase I study of stereotactic radiosurgery in patients with locally advanced pancreatic cancer. Int. J. Radiat. Oncol. Biol. Phys. 2004, 58, 1017–1021. [Google Scholar] [CrossRef]
- Glide-Hurst, C.K.; Lee, P.; Yock, A.D.; Olsen, J.R.; Cao, M.; Siddiqui, F.A.; Parker, W.R.; Doemer, A.; Rong, Y.; Kishan, A.U.; et al. Adaptive Radiation Therapy (ART) Strategies and Technical Considerations: A State of the ART Review from NRG Oncology. Int. J. Radiat. Oncol. Biol. Phys. 2021, 109, 1054–1075. [Google Scholar] [CrossRef]
- Rompen, I.F.; Marchetti, A.; Levine, J.; Swett, B.; Galimberti, V.; Han, J.; Riachi, M.E.; Habib, J.R.; Imam, R.; Kaplan, B.; et al. Impact of resection margin status on recurrence and survival in patients with resectable, borderline resectable, and locally advanced pancreatic cancer. Surgery 2025, 180, 109114. [Google Scholar] [CrossRef] [PubMed]
- Webking, S.; Sandoval, M.L.; Chuong, M.D.; Ucar, A.; Aparo, S.; De Zarraga, F.; Sahin, I.; Biachi, T.; Kim, D.W.; Hoffe, S.E.; et al. Ablative 5-fraction stereotactic MRI-guided adaptive radiotherapy for oligometastatic pancreatic adenocarcinoma. Cancer Control 2023, 30, 10732748231219069. [Google Scholar] [CrossRef]
- Bryant, J.; Palm, R.F.; Liveringhouse, C.; Boyer, E.; Hodul, P.; Malafa, M.; Denbo, J.; Kim, D.; Carballido, E.; Fleming, J.B.; et al. Surgical and pathologic outcomes of pancreatic adenocarcinoma (PA) after preoperative ablative stereotactic magnetic resonance image guided adaptive radiation therapy (A-SMART). Adv. Radiat. Oncol. 2022, 7, 101045. [Google Scholar] [CrossRef] [PubMed]
- Michalet, M.; Bordeau, K.; Cantaloube, M.; Valdenaire, S.; Debuire, P.; Simeon, S.; Portales, F.; Draghici, R.; Ychou, M.; Assenat, E.; et al. Stereotactic MR-guided radiotherapy for pancreatic tumors: Dosimetric benefit of adaptation and first clinical results in a prospective registry study. Front. Oncol. 2022, 12, 842402. [Google Scholar] [CrossRef] [PubMed]
- Rudra, S.; Jiang, N.; Rosenberg, S.A.; Olsen, J.R.; Roach, M.C.; Wan, L.; Portelance, L.; Mellon, E.A.; Bruynzeel, A.; Lagerwaard, F.; et al. Using adaptive magnetic resonance image-guided radiation therapy for treatment of inoperable pancreatic cancer. Cancer Med. 2019, 8, 2123–2132. [Google Scholar] [CrossRef]
- Chuong, M.D.; Bryant, J.M.; Herrera, R.; McCulloch, J.; Contreras, J.; Kotecha, R.; Romaguera, T.; Alvarez, D.; Hall, M.D.; Rubens, M.; et al. Dose-escalated magnetic resonance image-guided abdominopelvic reirradiation with continuous intrafraction visualization, soft tissue tracking, and automatic beam gating. Adv. Radiat. Oncol. 2021, 7, 100840. [Google Scholar] [CrossRef]
- Chuong, M.D.; Bryant, J.; Mittauer, K.E.; Hall, M.; Kotecha, R.; Alvarez, D.; Romaguera, T.; Rubens, M.; Adamson, S.; Godley, A.; et al. Ablative 5-fraction stereotactic magnetic resonance–guided radiation therapy with on-table adaptive replanning and elective nodal irradiation for inoperable pancreas cancer. Pract. Radiat. Oncol. 2021, 11, 134–141. [Google Scholar] [CrossRef]



| Organ at Risk (OAR) | Dose Constraint |
|---|---|
| Esophagus, Stomach, Duodenum, | V33 < 0.05 cc |
| Small bowel | V30 < 5 cc |
| Large Bowel | V52.3 < 0.035 cc |
| V32.5 < 20 cc | |
| Liver | Dmean < 15 Gy |
| Aorta | V47 < 10 cc |
| Spinal Cord | Dmax (0.035 cc) < 12 Gy |
| Kidneys | V17.5 < 200 cc |
| Characteristic | Value |
|---|---|
| Age, median (range) | 67 (43–86) |
| Sex |
Male 17 (60.7%)
Female 11 (39.3%) |
| Tumor location |
Head 20 (71.4%)
Body/Tail 8 (28.6%) |
| ECOG |
0: 15 (53.6%)
1: 13 (46.4%) |
| Stage |
Borderline: 7 (25%)
LAPC: 21 (75%) |
| Clinical T |
T1: 1 (3.6%)
T2: 9 (32.1%) T3: 6 (21.4%) T4: 12 (42.9%) |
| Tumor size, median (mm) | 32.7 (15–58) |
| Clinical N |
0: 19 (67.9%)
1: 9 (32.1%) |
| CA 19-9, median (U/mL) | 1029 (136–1923) |
| Chemotherapy regimen |
FOLFIRINOX: 16 (57.1%)
Gemcitabine/Abraxane: 7 (24.6%) FOLFIRI: 1 (3.6%) Other: 4 (14.3%) |
| Chemotherapy cycles, median | 6 (4–12) |
| Radiation dose |
40 Gy: 9 (32.1%)
45 Gy: 5 (17.9%) 50 Gy: 14 (50%) |
| Motion management |
DIBH: 23 (81.1%)
Free breathing: 5 (18.9%) |
Disclaimer/Publisher’s Note: The statements, opinions and data contained in all publications are solely those of the individual author(s) and contributor(s) and not of MDPI and/or the editor(s). MDPI and/or the editor(s) disclaim responsibility for any injury to people or property resulting from any ideas, methods, instructions or products referred to in the content. |
© 2025 by the authors. Licensee MDPI, Basel, Switzerland. This article is an open access article distributed under the terms and conditions of the Creative Commons Attribution (CC BY) license (https://creativecommons.org/licenses/by/4.0/).
Share and Cite
Gonsalves, D.; Ocanto, A.; Meilan, E.; Gomez, A.; Dominguez, J.; Torres, L.; Fernández, C.; Teja, M.; Garrido, I.; Gonzalez, M.; et al. First Spanish Experience with Stereotactic MR-Guided Adaptive Radiotherapy (SMART) in Borderline Resectable and Locally Advanced Pancreatic Cancer: A Prospective Study. Biomedicines 2025, 13, 2390. https://doi.org/10.3390/biomedicines13102390
Gonsalves D, Ocanto A, Meilan E, Gomez A, Dominguez J, Torres L, Fernández C, Teja M, Garrido I, Gonzalez M, et al. First Spanish Experience with Stereotactic MR-Guided Adaptive Radiotherapy (SMART) in Borderline Resectable and Locally Advanced Pancreatic Cancer: A Prospective Study. Biomedicines. 2025; 13(10):2390. https://doi.org/10.3390/biomedicines13102390
Chicago/Turabian StyleGonsalves, Daniela, Abrahams Ocanto, Eduardo Meilan, Alberto Gomez, Jesus Dominguez, Lisselott Torres, Castalia Fernández, Macarena Teja, Isabel Garrido, Maria Gonzalez, and et al. 2025. "First Spanish Experience with Stereotactic MR-Guided Adaptive Radiotherapy (SMART) in Borderline Resectable and Locally Advanced Pancreatic Cancer: A Prospective Study" Biomedicines 13, no. 10: 2390. https://doi.org/10.3390/biomedicines13102390
APA StyleGonsalves, D., Ocanto, A., Meilan, E., Gomez, A., Dominguez, J., Torres, L., Fernández, C., Teja, M., Garrido, I., Gonzalez, M., Gaztañaga, M., Herrero, D., Thuissard, I. J., Andreu, C., Gonzalez, T., González, J. A., Yagüe, J. A., Holgado, E., Alcaraz, D., ... Couñago, F. (2025). First Spanish Experience with Stereotactic MR-Guided Adaptive Radiotherapy (SMART) in Borderline Resectable and Locally Advanced Pancreatic Cancer: A Prospective Study. Biomedicines, 13(10), 2390. https://doi.org/10.3390/biomedicines13102390

