Coronary Arteries Lesions in Kawasaki Disease: Risk Factors in an Italian Cohort
Abstract
1. Introduction
2. Materials and Methods
2.1. Patients Selection and Data Review
2.2. Clinical Definitions
2.3. IVIG Treatment Protocols; IVIG Resistance
2.4. Laboratory Analysis
2.5. Cardiac Involvement
2.6. Abdominal Involvement
2.7. Statistical Analysis
3. Results
4. Discussion
5. Conclusions
Author Contributions
Funding
Institutional Review Board Statement
Informed Consent Statement
Data Availability Statement
Conflicts of Interest
References
- McCrindle, B.W.; Rowley, A.H.; Newburger, J.W.; Burns, J.C.; Bolger, A.F.; Gewitz, M.; Baker, A.L.; Jackson, M.A.; Takahashi, M.; Shah, P.B.; et al. Diagnosis, treatment, and long-term management of Kawasaki disease: A scientific statement for health professionals from the American Heart Association. Circulation 2017, 135, e927–e999. [Google Scholar] [CrossRef]
- Orenstein, J.M.; Shulman, S.T.; Fox, L.M.; Baker, S.C.; Takahashi, M.; Bhatti, T.R.; Russo, P.A.; Mierau, G.W.; de Chadarévian, J.P.; Perlman, E.J.; et al. Three Linked Vasculopathic Processes Characterize Kawasaki Disease: A Light and Transmission Electron Microscopic Study. PLoS ONE 2012, 7, e38998. [Google Scholar] [CrossRef]
- Daniels, L.B.; Tjajadi, M.S.; Walford, H.H.; Jimenez-Fernandez, S.; Trofimenko, V.; Fick Jr, D.B.; Phan, H.A.; Linz, P.E.; Nayak, K.; Kahn, A.M.; et al. Prevalence of Kawasaki disease in young adults with suspected myocardial ischemia. Circulation 2012, 125, 2447–2453. [Google Scholar] [CrossRef]
- Kato, H.; Inoue, O.; Toshima, H.; Kawasaki, T.; Fujiwara, H.; Watanabe, T. Adult coronary artery disease probably due to childhood Kawasaki disease. Lancet 1992, 340, 1127–1129. [Google Scholar] [CrossRef] [PubMed]
- Huang, S.-K.; Lin, M.-T.; Chen, H.-C.; Huang, S.-C.; Wu, M.-H. Epidemiology of Kawasaki Disease: Prevalence from National Database and Future Trends Projection by System Dynamics Modeling. J. Pediatr. 2013, 163, 126–131.e1. [Google Scholar] [CrossRef] [PubMed]
- Friedman, K.G.; Gauvreau, K.; Baker, A.; Son, M.B.; Sundel, R.; Dionne, A.; Giorgio, T.; De Ferranti, S.; Newburger, J.W. Primary adjunctive corticosteroid therapy is associated with improved outcomes for patients with Kawasaki disease with coronary artery aneurysms at diagnosis. Arch. Dis. Child. 2021, 106, 247–252. [Google Scholar] [CrossRef] [PubMed]
- Onouchi, Y.; Gunji, T.; Burns, J.C.; Shimizu, C.; Newburger, J.W.; Yashiro, M.; Nakamura, Y.; Yanagawa, H.; Wakui, K.; Fukushima, Y.; et al. ITPKC functional polymorphism associated with Kawasaki disease susceptibility and formation of coronary artery aneurysms. Nat. Genet. 2008, 40, 35–42. [Google Scholar] [CrossRef] [PubMed]
- Uehara, R.; Yashiro, M.; Nakamura, Y.; Yanagawa, H. Kawasaki disease in parents and children. Acta Paediatr. 2003, 92, 694–697. [Google Scholar] [CrossRef]
- Shimizu, C.; Jain, S.; Davila, S.; Hibberd, M.L.; Lin, K.O.; Molkara, D.; Frazer, J.R.; Sun, S.; Baker, A.L.; Newburger, J.W.; et al. Transforming Growth Factor-β Signaling Pathway in Patients with Kawasaki Disease. Circ. Cardiovasc. Genet. 2011, 4, 16–25. [Google Scholar] [CrossRef]
- Fabi, M.; Andreozzi, L.; Corinaldesi, E.; Bodnar, T.; Lami, F.; Cicero, C.; Tchana, B.; Landini, C.; Sprocati, M.; Bigucci, B.; et al. Inability of Asian risk scoring systems to predict intravenous immunoglobulin resistance and coronary lesions in Kawasaki disease in an Italian cohort. Eur. J. Pediatr. 2019, 178, 315–322. [Google Scholar] [CrossRef]
- Kim, T.; Choi, W.; Woo, C.W.; Choi, B.; Lee, J.; Lee, K.; Son, C.; Lee, J. Predictive risk factors for coronary artery abnormalities in Kawasaki disease. Eur. J. Pediatr. 2007, 166, 421–425. [Google Scholar] [CrossRef] [PubMed]
- Son, M.B.F.; Gauvreau, K.; Tremoulet, A.H.; Lo, M.; Baker, A.L.; de Ferranti, S.; Dedeoglu, F.; Sundel, R.P.; Friedman, K.G.; Burns, J.C.; et al. Risk Model Development and Validation for Prediction of Coronary Artery Aneurysms in Kawasaki Disease in a North American Population. J. Am. Heart Assoc. 2019, 8, e011319. [Google Scholar] [CrossRef]
- Honkanen, V.E.A.; McCrindle, B.W.; Laxer, R.M.; Feldman, B.M.; Schneider, R.; Silverman, E.D. Clinical Relevance of the Risk Factors for Coronary Artery Inflammation in Kawasaki Disease. Pediatr. Cardiol. 2003, 24, 122–126. [Google Scholar] [CrossRef] [PubMed]
- Mauro, A.; Fabi, M.; Da Frè, M.; Guastaroba, P.; Corinaldesi, E.; Calabri, G.B.; Giani, T.; Simonini, G.; Rusconi, F.; Cimaz, R. Kawasaki disease: An epidemiological study in central Italy. Pediatr. Rheumatol. 2016, 14, 22. [Google Scholar] [CrossRef] [PubMed]
- Fabi, M.; Corinaldesi, E.; Pierantoni, L.; Mazzoni, E.; Landini, C.; Bigucci, B.; Ancora, G.; Malaigia, L.; Bodnar, T.; Di Fazzio, G.; et al. Gastrointestinal presentation of Kawasaki disease: A red flag for severe disease? PLoS ONE 2018, 13, e0202658. [Google Scholar] [CrossRef]
- Dallaire, F.; Dahdah, N. New Equations and a Critical Appraisal of Coronary Artery Z Scores in Healthy Children. J. Am. Soc. Echocardiogr. 2011, 24, 60–74. [Google Scholar] [CrossRef]
- Tissot, C.; Singh, Y.; Sekarski, N. Echocardiographic Evaluation of Ventricular Function—For the Neonatologist and Pediatric Intensivist. Front. Pediatr. 2018, 6, 79. [Google Scholar] [CrossRef]
- Margossian, R.; Schwartz, M.L.; Prakash, A.; Wruck, L.; Colan, S.D.; Atz, A.M.; Bradley, T.J.; Fogel, M.A.; Hurwitz, L.M.; Marcus, E.; et al. Comparison of Echocardiographic and Cardiac Magnetic Resonance Imaging Measurements of Functional Single Ventricular Volumes, Mass, and Ejection Fraction (from the Pediatric Heart Network Fontan Cross-Sectional Study)—A list of participating institutions and investigators appears in the Appendix. Am. J. Cardiol. 2009, 104, 419–428. [Google Scholar] [CrossRef]
- Asai, T. Evaluation Method for the degree of seriousness in Kawasaki Disease. Pediatr. Int. 1983, 25, 170–175. [Google Scholar] [CrossRef]
- Fukazawa, R.; Kobayashi, J.; Ayusawa, M.; Hamada, H.; Miura, M.; Mitani, Y.; Tsuda, E.; Nakajima, H.; Matsuura, H.; Ikeda, K.; et al. JCS/JSCS 2020 Guideline on Diagnosis and Management of Cardiovascular Sequelae in Kawasaki Disease. Circ. J. 2020, 84, 1348–1407. [Google Scholar] [CrossRef]
- Wang, L.; Zeng, X.; Chen, B. Clinical manifestations and risk factors of coronary artery lesions in children with Kawasaki disease. Medicine 2023, 102, e34939. [Google Scholar] [CrossRef]
- Risk factors for coronary artery lesions in children with Kawasaki disease. Arch. Argent. Pediatr. 2020, 118. [CrossRef]
- Yan, F.; Pan, B.; Sun, H.; Tian, J.; Li, M. Risk Factors of Coronary Artery Abnormality in Children with Kawasaki Disease: A Systematic Review and Meta-Analysis. Front. Pediatr. 2019, 7, 374. [Google Scholar] [CrossRef]
- Qiu, H.; Jia, C.; Wang, Z.; He, Y.; Rong, X.; Wu, R.; Chu, M.; Shi, H. Prognosis and Risk Factors of Coronary Artery Lesions before Immunoglobulin Therapy in Children with Kawasaki Disease. Balk. Med. J. 2020, 37, 324–329. [Google Scholar] [CrossRef]
- McCrindle, B.W.; Li, J.S.; Minich, L.L.; Colan, S.D.; Atz, A.M.; Takahashi, M.; Vetter, V.L.; Gersony, W.M.; Mitchell, P.D.; Newburger, J.W.; et al. Coronary Artery Involvement in Children with Kawasaki Disease. Circulation 2007, 116, 174–179. [Google Scholar] [CrossRef]
- Namba, T.; Takeuchi, A.; Matsumoto, N.; Tsuge, M.; Yashiro, M.; Tsukahara, H.; Yorifuji, T. Evaluation of the association of birth order and group childcare attendance with Kawasaki disease using data from a nationwide longitudinal survey. Front. Pediatr. 2023, 11. [Google Scholar] [CrossRef] [PubMed]
- Belay, E.D.; Maddox, R.A.; Holman, R.C.; Curns, A.T.; Ballah, K.; Schonberger, L.B. Kawasaki Syndrome and Risk Factors for Coronary Artery Abnormalities. Pediatr. Infect Dis. J. 2006, 25, 245–249. [Google Scholar] [CrossRef]
- Ouldali, N.; Dellepiane, R.M.; Torreggiani, S.; Mauri, L.; Beaujour, G.; Beyler, C.; Cucchetti, M.; Dumaine, C.; La Vecchia, A.; Melki, I.; et al. Development of a score for early identification of children with Kawasaki disease requiring second-line treatment in multi-ethnic populations in Europe: A multicentre retrospective cohort study. Lancet Reg. Health 2022, 22, 100481. [Google Scholar] [CrossRef] [PubMed]
- Fernandez-Cooke, E.; Barrios Tascón, A.; Sánchez-Manubens, J.; Antón, J.; Grasa Lozano, C.D.; Aracil Santos, J.; Villalobos Pinto, E.; Clemente Garulo, D.; Mercader Rodríguez, B.; Bustillo Alonso, M.; et al. Epidemiological and clinical features of Kawasaki disease in Spain over 5 years and risk factors for aneurysm development. (2011–2016): KAWA-RACE study group. PLoS ONE 2019, 14, e0215665. [Google Scholar] [CrossRef]
- Türkuçar, S.; Kaya, Ü.; Çakmak, F.; Haşlak, F.; Demir, F.; Karabulut, E.; Makay, B.; Bilginer, Y.; Ayaz, N.A.; Sözeri, B.; et al. Risk factors for coronary arterial involvement in Turkish children with Kawasaki disease: A multicenter retrospective study. Turk. J. Pediatr. 2023, 65, 64–72. [Google Scholar] [CrossRef]
- Makino, N.; Nakamura, Y.; Yashiro, M.; Kosami, K.; Matsubara, Y.; Ae, R.; Aoyama, Y.; Yanagawa, H. Nationwide epidemiologic survey of Kawasaki disease in Japan, 2015–2016. Pediatr. Int. 2019, 61, 397–403. [Google Scholar] [CrossRef] [PubMed]
- Doan, N.-H.; Sivilay, N.; Shimizu, C.; Nguyen, H.; Bainto, E.; Nguyen, Q.; Tremoulet, A.H.; Burns, J.C. Incidence and Severity of Kawasaki Disease Among Vietnamese Children. Pediatr. Infect. Dis. J. 2022, 41, e487–e489. [Google Scholar] [CrossRef] [PubMed]
- Kuo, H.-C. Diagnosis, Progress, and Treatment Update of Kawasaki Disease. Int. J. Mol. Sci. 2023, 24, 13948. [Google Scholar] [CrossRef]
- Tsuda, E.; Tsujii, N.; Hayama, Y. Stenotic Lesions and the Maximum Diameter of Coronary Artery Aneurysms in Kawasaki Disease. J. Pediatr. 2018, 194, 165–170.e2. [Google Scholar] [CrossRef]
- Lega, J.C.; Bozio, A.; Cimaz, R.; Veyrier, M.; Floret, D.; Ducreux, C.; Reix, P.; Di Filippo, S. Extracoronary echocardiographic findings as predictors of coronary artery lesions in the initial phase of Kawasaki disease. Arch. Dis. Child. 2013, 98, 97–102. [Google Scholar] [CrossRef]
- Printz, B.F.; Sleeper, L.A.; Newburger, J.W.; Minich, L.L.; Bradley, T.; Cohen, M.S.; Frank, D.; Li, J.S.; Margossian, R.; Shirali, G.; et al. Noncoronary Cardiac Abnormalities Are Associated with Coronary Artery Dilation and With Laboratory Inflammatory Markers in Acute Kawasaki Disease. J. Am. Coll. Cardiol. 2011, 57, 86–92. [Google Scholar] [CrossRef] [PubMed]
- Fabi, M.; Andreozzi, L.; Frabboni, I.; Dormi, A.; Corinaldesi, E.; Lami, F.; Cicero, C.; Tchana, B.; Francavilla, R.; Sprocati, M.; et al. Non-coronary cardiac events, younger age, and IVIG unresponsiveness increase the risk for coronary aneurysms in Italian children with Kawasaki disease. Clin. Rheumatol. 2021, 40, 1507–1514. [Google Scholar] [CrossRef]
- Wang, Y.; Huang, S.; Wang, P.; Wu, Y.; Liu, Y.; Pan, Y.; Dong, J.; Fan, Z.; Yu, H. Novel Predictive Scoring System for Intravenous Immunoglobulin Resistance Helps Timely Intervention in Kawasaki Disease: The Chinese Experience. J. Immunol. Res. 2023, 2023, 6808323. [Google Scholar] [CrossRef]
- Maggio, M.C.; Corsello, G.; Prinzi, E.; Cimaz, R. Kawasaki disease in Sicily: Clinical description and markers of disease severity. Ital. J. Pediatr. 2016, 42, 92. [Google Scholar] [CrossRef]
- Baek, J.-Y.; Song, M.S. Meta-analysis of factors predicting resistance to intravenous immunoglobulin treatment in patients with Kawasaki disease. Korean J. Pediatr. 2016, 59, 80. [Google Scholar] [CrossRef]
- Maurer, K.; Unsinn, K.M.; Waltner-Romen, M.; Geiger, R.; Gassner, I. Segmental bowel-wall thickening on abdominal ultrasonography: An additional diagnostic sign in Kawasaki disease. Pediatr. Radiol. 2008, 38, 1013–1016. [Google Scholar] [CrossRef]
- Chung, K.J.; Fulton, D.R.; Lapp, R.; Spector, S.; Sahn, D.J. One-year follow-up of cardiac and coronary artery disease in infants and children with Kawasaki disease. Am. Heart J. 1988, 115, 1263–1267. [Google Scholar] [CrossRef] [PubMed]
- Burns, J.C.; Shike, H.; Gordon, J.B.; Malhotra, A.; Schoenwetter, M.; Kawasaki, T. Sequelae of Kawasaki disease in adolescents and young adults. J. Am. Coll. Cardiol. 1996, 28, 253–257. [Google Scholar] [CrossRef] [PubMed]
- Friedman, K.G.; Gauvreau, K.; Hamaoka-Okamoto, A.; Tang, A.; Berry, E.; Tremoulet, A.H.; Mahavadi, V.S.; Baker, A.; deFerranti, S.D.; Fulton, D.R.; et al. Coronary Artery Aneurysms in Kawasaki Disease: Risk Factors for Progressive Disease and Adverse Cardiac Events in the US Population. J. Am. Heart Assoc. 2016, 5, e003289. [Google Scholar] [CrossRef]
- Brown, T.J.; Crawford, S.E.; Cornwall, M.L.; Garcia, F.; Shulman, S.T.; Rowley, A.H. CD8 T Lymphocytes and Macrophages Infiltrate Coronary Artery Aneurysms in Acute Kawasaki Disease. J. Infect. Dis. 2001, 184, 940–943. [Google Scholar] [CrossRef]
- Rowley, A.H.; Eckerley, C.A.; Jäck, H.M.; Shulman, S.T.; Baker, S.C. IgA plasma cells in vascular tissue of patients with Kawasaki syndrome. J. Immunol. 1997, 159, 5946–5955. [Google Scholar] [CrossRef]
- Fabi, M.; Petrovic, B.; Andreozzi, L.; Corinaldesi, E.; Filice, E.; Biagi, C.; Rizzello, A.; Mattesini, B.E.; Bugani, S.; Lanari, M. Circulating Endothelial Cells: A New Possible Marker of Endothelial Damage in Kawasaki Disease, Multisystem Inflammatory Syndrome in Children and Acute SARS-CoV-2 Infection. Int. J. Mol. Sci. 2022, 23, 10106. [Google Scholar] [CrossRef] [PubMed]
- Nakatani, K.; Takeshita, S.; Tsujimoto, H.; Kawamura, Y.; Tokutomi, T.; Sekine, I. Circulating endothelial cells in Kawasaki disease. Clin. Exp. Immunol. 2003, 131, 536–540. [Google Scholar] [CrossRef]
- Nizzoli, M.E.; Merati, G.; Tenore, A.; Picone, C.; Consensi, E.; Perotti, L.; Ferretti, V.V.; Sambo, M.; Di Sabatino, A.; Iotti, G.A.; et al. Circulating endothelial cells in COVID-19. Am. J. Hematol. 2020, 95, 10106. [Google Scholar] [CrossRef]
- Mancuso, P.; Calleri, A.; Cassi, C.; Gobbi, A.; Capillo, M.; Pruneri, G.; Martinelli, G.; Bertolini, F. Circulating Endothelial Cells as a Novel Marker of Angiogenesis. Adv. Exp. Med. Biol. 2003, 522, 83–97. [Google Scholar] [CrossRef]
- Lo, M.H.; Lin, Y.J.; Kuo, H.C.; Wu, Y.H.; Li, T.Y.; Kuo, H.C.; Lin, I.C. Assessment of vascular and endothelial function in Kawasaki disease. Biomed. J. 2023, 46, 100525. [Google Scholar] [CrossRef]
- Chen, Y.; Yang, M.; Zhang, M.; Wang, H.; Zheng, Y.; Sun, R.; Li, X. Single-Cell Transcriptome Reveals Potential Mechanisms for Coronary Artery Lesions in Kawasaki Disease. Arterioscler. Thromb. Vasc. Biol. 2024, 44, 866–882. [Google Scholar] [CrossRef] [PubMed]
- Leung, D.M.; Kurt-Jones, E.; Newburger, J.; Cotran, R.; Burns, J.; Pober, J. Endothelial cell activation and high interleukin-1 secretion in the pathogenesis of acute Kawasaki disease. Lancet 1989, 334, 1298–1302. [Google Scholar] [CrossRef] [PubMed]
- Furukawa, S.; Matsubara, T.; Jujoh, K.; Yone, K.; Sugawara, T.; Sasai, K.; Kato, H.; Yabuta, K. Peripheral blood monocyte/macrophages and serum tumor necrosis factor in Kawasaki disease. Clin Immunol. Immunopathol. 1988, 48, 247–251. [Google Scholar] [CrossRef] [PubMed]
- Rigante, D.; Andreozzi, L.; Fastiggi, M.; Bracci, B.; Natale, M.; Esposito, S. Critical Overview of the Risk Scoring Systems to Predict Non-Responsiveness to Intravenous Immunoglobulin in Kawasaki Syndrome. Int. J. Mol. Sci. 2016, 17, 278. [Google Scholar] [CrossRef]
- Tang, Y.; Liu, Y.; Du, Z.; Wang, Z.; Pan, S. Prediction of coronary artery lesions in children with Kawasaki syndrome based on machine learning. BMC Pediatr. 2024, 24, 158. [Google Scholar] [CrossRef]
- Lam, J.Y.; Shimizu, C.; Tremoulet, A.H.; Bainto, E.; Roberts, S.C.; Sivilay, N.; Gardiner, M.A.; Kanegaye, J.T.; Hogan, A.H.; Salazar, J.C.; et al. A machine-learning algorithm for diagnosis of multisystem inflammatory syndrome in children and Kawasaki disease in the USA: A retrospective model development and validation study. Lancet Digit. Health 2022, 4, e717–e726. [Google Scholar] [CrossRef]
- Van den Eynde, J.; Lachmann, M.; Laugwitz, K.-L.; Manlhiot, C.; Kutty, S. Successfully implemented artificial intelligence and machine learning applications in cardiology: State-of-the-art review. Trends Cardiovasc. Med. 2023, 33, 265–271. [Google Scholar] [CrossRef]
- Harahsheh, A.S.; Shah, S.; Dallaire, F.; Manlhiot, C.; Khoury, M.; Lee, S.; Fabi, M.; Mauriello, D.; Tierney, E.S.S.; Sabati, A.A.; et al. Kawasaki Disease in the Time of COVID-19 and MIS-C: The International Kawasaki Disease Registry. Can. J. Cardiol. 2024, 40, 58–72. [Google Scholar] [CrossRef]
- Marchesi, A.; Rigante, D.; Cimaz, R.; Ravelli, A.; Tarissi de Jacobis, I.; Rimini, A.; Cardinale, F.; Cattalini, M.; De Zorzi, A.; Dellepiane, R.M.; et al. Revised recommendations of the Italian Society of Pediatrics about the general management of Kawasaki disease. Ital. J. Pediatr. 2021, 47, 16. [Google Scholar] [CrossRef]
- Pan, Y.; Fan, Q.; Hu, L. Treatment of immunoglobulin-resistant kawasaki disease: A Bayesian network meta-analysis of different regimens. Front. Pediatr. 2023, 11, 149519. [Google Scholar] [CrossRef] [PubMed]
- Chan, H.; Chi, H.; You, H.; Wang, M.; Zhang, G.; Yang, H.; Li, Q. Indirect-comparison meta-analysis of treatment options for patients with refractory Kawasaki disease. BMC Pediatr. 2019, 19, 158. [Google Scholar] [CrossRef]
- Downie, M.L.; Manlhiot, C.; Collins, T.H.; Chahal, N.; Yeung, R.S.M.; McCrindle, B.W. Factors associated with development of coronary artery aneurysms after Kawasaki disease are similar for those treated promptly and those with delayed or no treatment. Int. J. Cardiol. 2017, 236, 157–161. [Google Scholar] [CrossRef] [PubMed]
- Taslakian, E.N.; Wi, C.I.; Seol, H.Y.; Boyce, T.G.; Johnson, J.N.; Ryu, E.; King, K.S.; Juhn, Y.J.; Choi, B.S. Long-term incidence of Kawasaki disease in a North American community: A population-based study. Pediatr. Cardiol. 2021, 42, 1033–1040. [Google Scholar] [CrossRef] [PubMed]

| Variable | CALs (Tot = 135) |
|---|---|
| Ectasia, n (%) | 68 (50.3%) |
| Aneurysms, n (%) | 67 (49.7%) |
| Acute phase, n (%) | 50 (74.6%) |
| Small aneurysms, n (%) | 40 (80%) |
| Medium aneurysms, n (%) | 9 (18%) |
| Giant aneurysms, n (%) | 1 (2%) |
| Subacute phase, n (%) | 17 (25.4%) |
| Small aneurysms, n (%) | 3 (17.6%) |
| Medium aneurysms, n (%) | 10 (58.8%) |
| Giant aneurysms, n (%) | 4 (23.5%) |
| Variable | Aneurysms, n (%) |
|---|---|
| Asian children, n (%) | 12 (85.7%) |
| Non-asian children, n (%) | 55 (45.5%) |
| Age at onset < 6 months, n (%) | 15 (88.2%) |
| Age at onset > 6 months, n (%) | 52 (44.4%) |
| Age at onset < 18 months, n (%) | 27 (57.4%) |
| Age at onset > 18 months, n (%) | 40 (47.6%) |
| Incomplete KD, n (%) | 39 (60.9%) |
| Complete KD, n (%) | 28 (39.4%) |
| IVIG responders, n (%) | 44 (53.0%) |
| IVIG non-responders, n (%) | 17 (60.7%) |
| Summer, n (%) | 13 (54.2%) |
| Other seasons, n (%) | 54 (49.5%) |
| Variable | No CALs | CALs | p Value |
|---|---|---|---|
| Total | 382 (73.9%) | 135 (26.1%) | |
| Male gender, n (%) | 223 (70.5%) | 93 (29.4%) | 0.031 |
| Age | |||
| Mean age ± SD, months | 44.1 ± 38.4 | 36.5 ± 34.1 | 0.045 |
| Age at onset < 6 months, n (%) | 30 (63.8%) | 17 (36.2%) | 0.093 |
| Age at onset < 12 months, n (%) | 70 (70.7%) | 29 (29.3%) | 0.395 |
| Age at onset < 18 months, n (%) | 95 (66.9%) | 47 (33.1%) | 0.022 |
| Ethnicity | 0.014 | ||
| Caucasian, n (%) | 342 (75.7%) | 110 (24.3%) | |
| Asian, n (%) | 12 (46.1%) | 14 (53.9%) | |
| Afro-American, n (%) | 15 (68.2%) | 7 (31.8%) | |
| Mixed, n (%) | 13 (76.5%) | 4 (23.5%) | |
| Seasonality | 0.290 | ||
| Winter, n (%) | 124 (71.3%) | 50 (28.7%) | |
| Spring, n (%) | 103 (77.4%) | 30 (22.6%) | |
| Summer, n (%) | 52 (68.4%) | 24 (31.6%) | |
| Autumn, n (%) | 102 (77.8%) | 29 (22.1%) | |
| Clinical presentation | 0.010 | ||
| Complete, n (%) | 256 (78.3%) | 71 (21.7%) | |
| Incomplete, n (%) | 126 (66.3%) | 64 (33.7%) | |
| IVIG responsiveness | 0.051 | ||
| IVIG responders, n (%) | 281 (77.2%) | 83 (22.8%) | |
| IVIG non-responders, n (%) | 57 (67.016.9%) | 28 (32.9%) | |
| Fever duration | |||
| Fever duration, mean ± SD | 8.4 ± 3.9 | 10.8 ± 6.3 | <0.001 |
| Fever < 7 days | 106 (80.9%) | 25 (19.1%) | 0.032 |
| Fever > 7 days, n (%) | 233 (71.5%) | 93 (28.5%) | 0.037 |
| Fever > 10 days, n (%) | 93 (64.1%) | 52 (35.9%) | 0.001 |
| Abdominal symptoms | 238 (73.9%) | 84 (26.0%) | 0.987 |
| Non-coronary cardiac involvement, n (%) | 78 (62.9%) | 46 (37.0%) | 0.001 |
| LV dysfunction, n (%) | 18 (66.7%) | 9 (33.3%) | 0.380 |
| Valvular regurgitation, n (%) | 24 (50%) | 24 (50%) | <0.001 |
| Pericardial effusion, n (%) | 50 (68.5%) | 23 (31.5%) | 0.257 |
| Variable | No CALs (n = 382) | CALs (n = 135) | p Value |
|---|---|---|---|
| WBC × 109 (/L), mean ± SD | 14.7 ± 5.9 | 14.8 ± 7.1 | 0.874 |
| N%, mean ± SD | 68.9 ± 15.4 | 68.7 ± 15.2 | 0.903 |
| L%, mean ± SD | 21.1 ± 12.7 | 21.7 ± 12.6 | 0.658 |
| RBC × 1012 (/L), mean ± SD | 4.3 ± 0.5 | 4.2 ± 0.6 | 0.087 |
| Hb (g/dL), mean ± SD | 11.1 ± 1.2 | 10.9 ± 1.4 | 0.042 |
| PLT × 109 (/L), mean ± SD | 372.8 ± 182.7 | 376.6 ± 177.5 | 0.844 |
| Fibrinogen (mg/dL), mean ± SD | 569.9 ± 173.2 | 537 ± 174.7 | 0.347 |
| AST (UI/L), mean ± SD | 73.9 ± 25 | 62.1 ± 29 | 0.481 |
| ALT (UI/L), mean ± SD | 81.7 ± 42.1 | 68.7 ± 35.8 | 0.323 |
| AST/ALT | 1.33 ± 1.17 | 1.38 ± 0.95 | 0.742 |
| Albumin (g/dL), mean ± SD | 3.5 ± 0.7 | 3.2 ± 0.7 | 0.008 |
| CRP (mg/dL), mean ± SD | 9.2 ± 5.2 | 11 ± 5.4 | 0.008 |
| ESR (mm/h), mean ± SD | 63.9 ± 33.2 | 62 ± 31.1 | 0.701 |
| Na (mEq/L), mean ± SD | 134.5 ± 3.9 | 134.4 ± 3.2 | 0.837 |
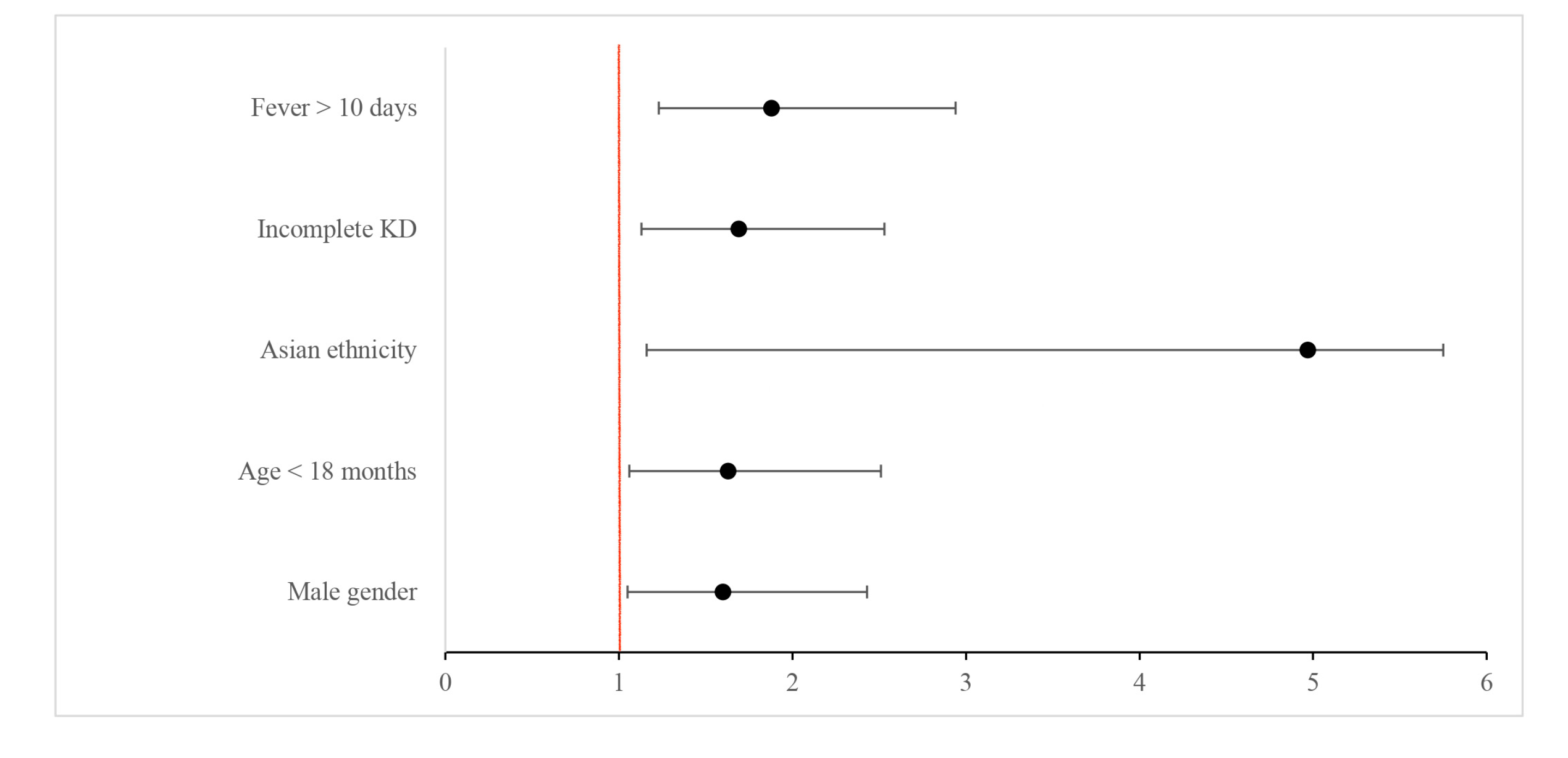
| Variable | OR | CI (95%) | p Value |
|---|---|---|---|
| Fever > 10 days | 1.88 | 1.23–2.94 | 0.004 |
| Incomplete KD | 1.69 | 1.13–2.53 | 0.010 |
| Asian ethnicity | 4.97 | 1.16–5.75 | 0.001 |
| Age < 18 months | 1.63 | 1.06–2.51 | 0.023 |
| Male gender | 1.6 | 1.05–2.43 | 0.026 |
Disclaimer/Publisher’s Note: The statements, opinions and data contained in all publications are solely those of the individual author(s) and contributor(s) and not of MDPI and/or the editor(s). MDPI and/or the editor(s) disclaim responsibility for any injury to people or property resulting from any ideas, methods, instructions or products referred to in the content. |
© 2024 by the authors. Licensee MDPI, Basel, Switzerland. This article is an open access article distributed under the terms and conditions of the Creative Commons Attribution (CC BY) license (https://creativecommons.org/licenses/by/4.0/).
Share and Cite
Morana, E.; Guida, F.; Andreozzi, L.; Frazzoni, L.; Baselli, L.A.; Lami, F.; Corinaldesi, E.; Cicero, C.; Mambelli, L.; Bigucci, B.; et al. Coronary Arteries Lesions in Kawasaki Disease: Risk Factors in an Italian Cohort. Biomedicines 2024, 12, 2010. https://doi.org/10.3390/biomedicines12092010
Morana E, Guida F, Andreozzi L, Frazzoni L, Baselli LA, Lami F, Corinaldesi E, Cicero C, Mambelli L, Bigucci B, et al. Coronary Arteries Lesions in Kawasaki Disease: Risk Factors in an Italian Cohort. Biomedicines. 2024; 12(9):2010. https://doi.org/10.3390/biomedicines12092010
Chicago/Turabian StyleMorana, Elisabetta, Fiorentina Guida, Laura Andreozzi, Leonardo Frazzoni, Lucia Augusta Baselli, Francesca Lami, Elena Corinaldesi, Cristina Cicero, Lorenzo Mambelli, Barbara Bigucci, and et al. 2024. "Coronary Arteries Lesions in Kawasaki Disease: Risk Factors in an Italian Cohort" Biomedicines 12, no. 9: 2010. https://doi.org/10.3390/biomedicines12092010
APA StyleMorana, E., Guida, F., Andreozzi, L., Frazzoni, L., Baselli, L. A., Lami, F., Corinaldesi, E., Cicero, C., Mambelli, L., Bigucci, B., Taddio, A., Ghizzi, C., Cappella, M., Fernicola, P., Lanari, M., Zagari, R. M., & Fabi, M. (2024). Coronary Arteries Lesions in Kawasaki Disease: Risk Factors in an Italian Cohort. Biomedicines, 12(9), 2010. https://doi.org/10.3390/biomedicines12092010

