ARDS Mortality Prediction Model Using Evolving Clinical Data and Chest Radiograph Analysis
Abstract
1. Introduction
Diagnostic Criteria and Radiological Evidence
2. Materials and Methods
2.1. Study Design
2.2. Inclusion and Exclusion Criteria
2.3. Primary Outcome
2.4. Data Acquisition
2.5. Sample Split and Imputation
2.6. Statistical Analysis
3. Results
3.1. Logistic Regression Analysis
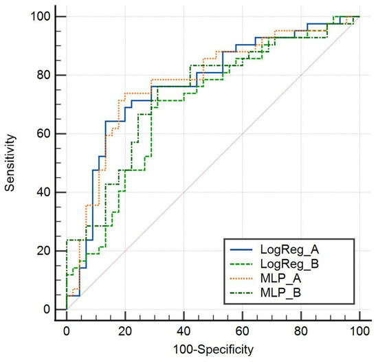
3.2. Model Performance
3.3. Comparative Analysis
3.4. Cross-Validation Significance
4. Discussion
5. Conclusions
Author Contributions
Funding
Institutional Review Board Statement
Informed Consent Statement
Data Availability Statement
Conflicts of Interest
References
- Force, A.D.; Ranieri, V.M.; Rubenfeld, G.D.; Thompson, B.T.; Ferguson, N.D.; Caldwell, E.; Fan, E.; Camporota, L.; Slutsky, A.S. Acute respiratory distress syndrome: The Berlin Definition. JAMA 2012, 307, 2526–2533. [Google Scholar] [CrossRef]
- Matthay, M.A.; Zemans, R.L.; Zimmerman, G.A.; Arabi, Y.M.; Beitler, J.R.; Mercat, A.; Herridge, M.; Randolph, A.G.; Calfee, C.S. Acute respiratory distress syndrome. Nat. Rev. Dis. Primers 2018, 5, 18. [Google Scholar] [CrossRef] [PubMed]
- Ware, L.B.; Matthay, M.A. The acute respiratory distress syndrome. N. Engl. J. Med. 2000, 342, 1334–1349. [Google Scholar] [CrossRef] [PubMed]
- Meyer, N.J.; Gattinoni, L.; Calfee, C.S. Acute respiratory distress syndrome. Lancet 2021, 398, 622–637. [Google Scholar] [CrossRef]
- Grasselli, G.; Calfee, C.S.; Camporota, L.; Poole, D.; Amato, M.B.P.; Antonelli, M.; Arabi, Y.M.; Baroncelli, F.; Beitler, J.R.; Bellani, G.; et al. ESICM guidelines on acute respiratory distress syndrome: Definition, phenotyping and respiratory support strategies. Intensiv. Care Med. 2023, 49, 727–759. [Google Scholar] [CrossRef] [PubMed]
- Matthay, M.A.; Arabi, Y.; Arroliga, A.C.; Bernard, G.; Bersten, A.D.; Brochard, L.J.; Calfee, C.S.; Combes, A.; Daniel, B.M.; Ferguson, N.D.; et al. A New Global Definition of Acute Respiratory Distress Syndrome. Am. J. Respir. Crit. Care Med. 2023, 209, 37–47. [Google Scholar] [CrossRef]
- Yndrome, S.; Etwork, N. Ventilation with lowertidal volumesas compared with traditionaltidal volumes for acute lung injury and the acute respiratory distress syndrome. N. Engl. J. Med. 2000, 342, 1301–1308. [Google Scholar]
- Bos, L.D.J.; Ware, L.B. Acute respiratory distress syndrome: Causes, pathophysiology, and phenotypes. Lancet 2022, 400, 1145–1156. [Google Scholar] [CrossRef]
- Wildi, K.; Livingstone, S.; Palmieri, C.; LiBassi, G.; Suen, J.; Fraser, J. The discovery of biological subphenotypes in ARDS: A novel approach to targeted medicine? J. Intensiv. Care 2021, 9, 14. [Google Scholar] [CrossRef]
- Maddali, M.V.; Churpek, M.; Pham, T.; Rezoagli, E.; Zhuo, H.; Zhao, W.; He, J.; Delucchi, K.L.; Wang, C.; Wickersham, N.; et al. Validation and utility of ARDS subphenotypes identified by machine-learning models using clinical data: An observational, multicohort, retrospective analysis. Lancet Respir. Med. 2022, 10, 367–377. [Google Scholar] [CrossRef]
- Thille, A.W.; Esteban, A.; Fernández-Segoviano, P.; Rodriguez, J.-M.; Aramburu, J.-A.; Peñuelas, O.; Cortés-Puch, I.; Cardinal-Fernández, P.; Lorente, J.A.; Frutos-Vivar, F. Comparison of the Berlin Definition for Acute Respiratory Distress Syndrome with Autopsy. Am. J. Respir. Crit. Care Med. 2013, 187, 761–767. [Google Scholar] [CrossRef] [PubMed]
- Reilly, J.; Calfee, C.; Christie, J. Acute Respiratory Distress Syndrome Phenotypes. Semin. Respir. Crit. Care Med. 2019, 40, 19–30. [Google Scholar] [CrossRef] [PubMed]
- The Recovery Collaborative Group. Dexamethasone in Hospitalized Patients with Covid-19. N. Engl. J. Med. 2021, 384, 693–704. [Google Scholar] [CrossRef]
- Lewis, S.R.; Pritchard, M.W.; Thomas, C.M.; Smith, A.F. Pharmacological agents for adults with acute respiratory distress syndrome. Cochrane Database Syst. Rev. 2019, 7, CD004477. [Google Scholar] [CrossRef] [PubMed]
- Villar, J.; Ferrando, C.; Martínez, D.; Ambrós, A.; Muñoz, T.; Soler, J.A.; Aguilar, G.; Alba, F.; González-Higueras, E.; Conesa, L.A.; et al. Dexamethasone treatment for the acute respiratory distress syndrome: A multicentre, randomised controlled trial. Lancet Respir. Med. 2020, 8, 267–276. [Google Scholar] [CrossRef] [PubMed]
- Le, S.; Pellegrini, E.; Green-Saxena, A.; Summers, C.; Hoffman, J.; Calvert, J.; Das, R. Supervised machine learning for the early prediction of acute respiratory distress syndrome (ARDS). J. Crit. Care 2020, 60, 96–102. [Google Scholar] [CrossRef] [PubMed]
- Bitker, L.; Talmor, D.; Richard, J.C. Imaging the acute respiratory distress syndrome: Past, present and future. Intensiv. Care Med. 2022, 48, 995–1008. [Google Scholar] [CrossRef] [PubMed]
- Reamaroon, N.; Sjoding, M.W.; Gryak, J.; Athey, B.D.; Najarian, K.; Derksen, H. Automated detection of acute respiratory distress syndrome from chest X-Rays using Directionality Measure and deep learning features. Comput. Biol. Med. 2021, 134, 104463. [Google Scholar] [CrossRef]
- Sjoding, M.W.; Taylor, D.; Motyka, J.; Lee, E.; Co, I.; Claar, D.; I McSparron, J.; Ansari, S.; Kerlin, M.P.; Reilly, J.P.; et al. Deep learning to detect acute respiratory distress syndrome on chest radiographs: A retrospective study with external validation. Lancet Digit. Healt. 2021, 3, e340–e348. [Google Scholar] [CrossRef]
- Filippini, D.F.L.; Di Gennaro, E.; van Amstel, R.B.E.; Beenen, L.F.M.; Grasso, S.; Pisani, L.; Bos, L.D.J.; Smit, M.R. Latent class analysis of imaging and clinical respiratory parameters from patients with COVID-19-related ARDS identifies recruitment subphenotypes. Crit. Care 2022, 26, 1–10. [Google Scholar] [CrossRef]
- Giełczyk, A.; Marciniak, A.; Tarczewska, M.; Lutowski, Z. Pre-processing methods in chest X-ray image classification. PLoS ONE 2022, 17, e0265949. [Google Scholar] [CrossRef]
- Moreno, G.; on behalf of the GETGAG Study Group; Rodríguez, A.; Reyes, L.F.; Gomez, J.; Sole-Violan, J.; Díaz, E.; Bodí, M.; Trefler, S.; Guardiola, J.; et al. Corticosteroid treatment in critically ill patients with severe influenza pneumonia: A propensity score matching study. Intensiv. Care Med. 2018, 44, 1470–1482. [Google Scholar] [CrossRef]
- Tsai, M.-J.; For Taiwan Severe Influenza Research Consortium (TSIRC) Investigators; Yang, K.-Y.; Chan, M.-C.; Kao, K.-C.; Wang, H.-C.; Perng, W.-C.; Wu, C.-L.; Liang, S.-J.; Fang, W.-F.; et al. Impact of corticosteroid treatment on clinical outcomes of influenza-associated ARDS: A nationwide multicenter study. Ann. Intensiv. Care 2020, 10, 26. [Google Scholar] [CrossRef]
- National Heart, Lung, and Blood Institute Acute Respiratory Distress Syndrome (ARDS) Clinical Trials Network; Wiedemann, H.P.; Wheeler, A.P.; Bernard, G.R.; Thompson, B.T.; Hayden, D.; Deboisblanc, B.; Connors, A.F.J.; Hite, R.D.; Harabin, A.L. Comparison of Two Fluid-Management Strategies in Acute Lung Injury. N. Engl. J. Med. 2006, 354, 2564–2575. [Google Scholar] [CrossRef]
- Warren, M.A.; Zhao, Z.; Koyama, T.; Bastarache, J.A.; Shaver, C.M.; Semler, M.W.; Rice, T.W.; Matthay, M.A.; Calfee, C.S.; Ware, L.B. Severity scoring of lung oedema on the chest radiograph is associated with clinical outcomes in ARDS. Thorax 2018, 73, 840–846. [Google Scholar] [CrossRef]
- Sedhai, Y.R.; Yuan, M.; Ketcham, S.W.; Co, I.; Claar, D.D.; McSparron, J.I.; Prescott, H.C.; Sjoding, M.W. Validating Measures of Disease Severity in Acute Respiratory Distress Syndrome. Ann. Am. Thorac. Soc. 2021, 18, 1211–1218. [Google Scholar] [CrossRef]
- Jabaudon, M.; Audard, J.; Pereira, B.; Jaber, S.; Lefrant, J.-Y.; Blondonnet, R.; Godet, T.; Futier, E.; Lambert, C.; Bazin, J.-E.; et al. Early Changes Over Time in the Radiographic Assessment of Lung Edema Score Are Associated With Survival in ARDS. Chest 2020, 158, 2394–2403. [Google Scholar] [CrossRef] [PubMed]
- Constantin, J.-M.; Jabaudon, M.; Lefrant, J.-Y.; Jaber, S.; Quenot, J.-P.; Langeron, O.; Ferrandière, M.; Grelon, F.; Seguin, P.; Ichai, C.; et al. Personalised mechanical ventilation tailored to lung morphology versus low positive end-expiratory pressure for patients with acute respiratory distress syndrome in France (the LIVE study): A multicentre, single-blind, randomised controlled trial. Lancet Respir. Med. 2019, 7, 870–880. [Google Scholar] [CrossRef] [PubMed]
- Valk, C.M.A.; Zimatore, C.; Mazzinari, G.; Pierrakos, C.; Sivakorn, C.; Dechsanga, J.; Grasso, S.; Beenen, L.; Bos, L.D.J.; Paulus, F.; et al. The Prognostic Capacity of the Radiographic Assessment for Lung Edema Score in Patients With COVID-19 Acute Respiratory Distress Syndrome—An International Multicenter Observational Study. Front. Med. 2022, 8, 772056. [Google Scholar] [CrossRef] [PubMed]
- Herrmann, J.; Adam, E.H.; Notz, Q.; Helmer, P.; Sonntagbauer, M.; Ungemach-Papenberg, P.; Sanns, A.; Zausig, Y.; Steinfeldt, T.; Torje, I.; et al. COVID-19 Induced Acute Respiratory Distress Syndrome—A Multicenter Observational Study. Front. Med. 2020, 7, 599533. [Google Scholar] [CrossRef] [PubMed]
- Mongodi, S.; Santangelo, E.; Bouhemad, B.; Vaschetto, R.; Mojoli, F. Personalised mechanical ventilation in acute respiratory distress syndrome: The right idea with the wrong tools? Lancet Respir. Med. 2019, 7, e38. [Google Scholar] [CrossRef] [PubMed]
- Pierrakos, C.; Smit, M.R.; Pisani, L.; Paulus, F.; Schultz, M.J.; Constantin, J.-M.; Chiumello, D.; Mojoli, F.; Mongodi, S.; Bos, L.D.J. Lung Ultrasound Assessment of Focal and Non-focal Lung Morphology in Patients With Acute Respiratory Distress Syndrome. Front. Physiol. 2021, 12, 1482. [Google Scholar] [CrossRef] [PubMed]



| Variables | Categorical (n = 110) | |||||
|---|---|---|---|---|---|---|
| Mortality (target: NS) | Non-Survivors | n = 52 | 47.3% | |||
| Survived | n = 58 | 52.7% | ||||
| Gender | Male | n = 68 | 61.2% | |||
| Female | n = 42 | 38.2% | ||||
| Continuous | ||||||
| Average. ± s.d | Median | Mode | Min–Max | Cv | Missing (%) | |
| Age | 63.2 ±11.87 | 64 | 64 | 26:83 | 0.19 | 0 |
| P/F_d1 | 148.50± 52.92 | 147.5 | 150 | 51:297 | 0.36 | 2 (2%) |
| P/F_d3 | 163.73 ± 53.07 | 160 | 118 | 52:365 | 0.32 | 1 (1%) |
| PS_d1 | 16.22 ± 3.19 | 16 | 16 | 8:26 | 0.20 | 3 (3%) |
| PS_d3 | 15.49 ± 3.50 | 18 | 16 | 0:26 | 0.23 | 7 (6%) |
| PEEP_d1 | 12.76 ± 3.29 | 14 | 14 | 6:20 | 0.26 | 0 (0%) |
| PEEP_d3 | 11.61 ± 3.49 | 12 | 12 | 0:22 | 0.30 | 5 (5%) |
| PaCO2_d1 | 45.84 ± 11.36 | 44.6 | 46 | 18.1:89 | 0.25 | 1 (1%) |
| PaCO2_d3 | 47.32 ± 9.61 | 46.2 | 40.3 | 26.4:90.6 | 0.20 | 2 (2%) |
| Model | AUCméd | AUCp | CA | Ss | PPV | Sp | F1 |
|---|---|---|---|---|---|---|---|
| LogReg_A | 0.770 | 0.784 | 0.747 | 0.714 | 0.750 | 0.778 | 0.732 |
| LogReg_B | 0.701 | 0.751 | 0.678 | 0.643 | 0.675 | 0.711 | 0.659 |
| Bayesian t-test | P_AB | 0.739 | 0.886 | 0.769 | 0.875 | 0.758 | 0.864 |
| P_BA | 0.261 | 0.114 | 0.231 | 0.122 | 0.242 | 0.136 | |
| P5%_AB | 0.364 | 0.630 | 0.568 | 0.734 | 0.547 | 0.713 | |
| P5%_BA | 0.062 | 0.026 | 0.104 | 0.204 | 0.107 | 0.056 | |
| Pneg5% | 0.574 | 0.453 | 0.328 | 0.230 | 0.346 | 0.230 |
| Metrics | LogReg_Train95%CI | LogReg_CV95%CI | LogReg_Test95%CI | ΔCV_Train | ΔTest Train |
|---|---|---|---|---|---|
| AUCmed | 0.820 [0.723–0.894] | 0.770 [0.667–0.853] | 0.862 [0.654–0.969] | −0.092 | 0.042 |
| AUCp | 0.820 | 0.784 | 0.862 | −0.036 | 0.042 |
| CA | 0.782 [0.681–0.863] | 0.747 [0.643–0.834] | 0.783 [0.563–0.926] | −0.035 | −0.0 |
| F1 | 0.776 [0.672–0.859] | 0.732 [0.623–0.824] | 0.783 [0.563–0.926] | −0.044 | 0.007 |
| PPV | 0.767 [0.623–0889] | 0.750 [0.588–0.873] | 0.692 [0.385–0.909] | −0.026 | 0.084 |
| NPV | 0.795 [0.647- 0.902] | 0.744 [0.596- 0.861] | 0.900 [0.555–0.997] | −0.051 | 0.105 |
| Ss | 0.787 [0.633–0.898] | 0.714 [0.554–0.843] | 0.900 [0.555–0.997] | −0.073 | 0.113 |
| Sp | 0.778 [0.629–0.888] | 0.778 [0.629–0.888] | 0.692 [0.385–0.909] | 0.000 | −0.086 |
| Metric | LogReg_A | LogReg_B | ΔA-B |
|---|---|---|---|
| AUCmed | 0.770 95%CI [0.667–0.853] | 0.701 95%CI [0.593–0.794] | 0.069 |
| CA | 0.747 95%CI [0.643–0.834] | 0.678 95%CI [0.569–0.774] | 0.069 |
| PPV | 0.750 95%CI [0.588–0.873] | 0.675 95%CI [0.509–0.814] | 0.075 |
| Sensitivity | 0.714 95%CI [0.554–0.843] | 0.643 95%CI [0.480–0.784] | 0.071 |
| NPV | 0.744 95%CI [0.596–0.861] | 0.714 95%CI [0.554- 0.843] | 0.081 |
| Specificity | 0.778 95%CI [0.629–0.888] | 0.711 95%CI [0.560–0.834] | 0.067 |
| F1 | 0.732 95%CI [0.623–0.824] | 0.659 95%CI [0.546–0.760] | 0.073 |
Disclaimer/Publisher’s Note: The statements, opinions and data contained in all publications are solely those of the individual author(s) and contributor(s) and not of MDPI and/or the editor(s). MDPI and/or the editor(s) disclaim responsibility for any injury to people or property resulting from any ideas, methods, instructions or products referred to in the content. |
© 2024 by the authors. Licensee MDPI, Basel, Switzerland. This article is an open access article distributed under the terms and conditions of the Creative Commons Attribution (CC BY) license (https://creativecommons.org/licenses/by/4.0/).
Share and Cite
Cysneiros, A.; Galvão, T.; Domingues, N.; Jorge, P.; Bento, L.; Martin-Loeches, I. ARDS Mortality Prediction Model Using Evolving Clinical Data and Chest Radiograph Analysis. Biomedicines 2024, 12, 439. https://doi.org/10.3390/biomedicines12020439
Cysneiros A, Galvão T, Domingues N, Jorge P, Bento L, Martin-Loeches I. ARDS Mortality Prediction Model Using Evolving Clinical Data and Chest Radiograph Analysis. Biomedicines. 2024; 12(2):439. https://doi.org/10.3390/biomedicines12020439
Chicago/Turabian StyleCysneiros, Ana, Tiago Galvão, Nuno Domingues, Pedro Jorge, Luis Bento, and Ignacio Martin-Loeches. 2024. "ARDS Mortality Prediction Model Using Evolving Clinical Data and Chest Radiograph Analysis" Biomedicines 12, no. 2: 439. https://doi.org/10.3390/biomedicines12020439
APA StyleCysneiros, A., Galvão, T., Domingues, N., Jorge, P., Bento, L., & Martin-Loeches, I. (2024). ARDS Mortality Prediction Model Using Evolving Clinical Data and Chest Radiograph Analysis. Biomedicines, 12(2), 439. https://doi.org/10.3390/biomedicines12020439

