The Role of Dopamine in Repurposing Drugs for Oncology
Abstract
1. Introduction
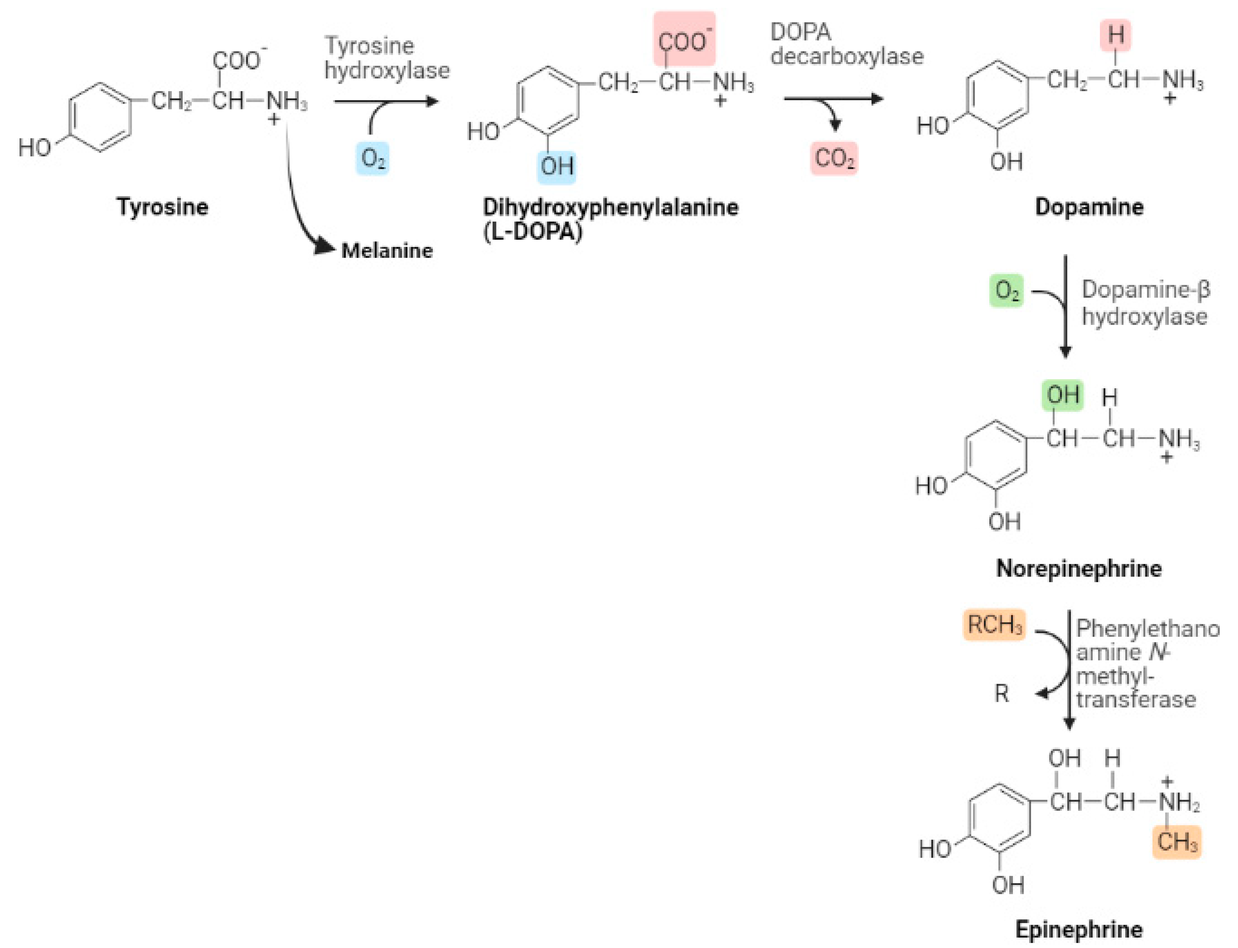
2. Synthesis Cascade via Tyr (Tyrosine)

3. Contradictory Effect of Dopamine in Oncology
4. Repurposed Drugs for Oncology Using Dopamine as the Study Pathway
4.1. The Twelve Promising Targets/Drugs
4.2. Chlorpromazine (Thorazine)
4.3. Trifluoperazine
4.4. Thioridazine
4.5. Droperidol
4.6. Bromocriptine
4.7. Pimozide
4.8. Clozapine
4.9. Risperidone
4.10. Cabergoline
4.11. Olanzapine
4.12. Domperidone
4.13. ONC201
5. Conclusions
Author Contributions
Funding
Institutional Review Board Statement
Informed Consent Statement
Data Availability Statement
Acknowledgments
Conflicts of Interest
References
- De, D.; Upadhyay, P.; Das, A.; Ghosh, A.; Adhikary, A.; Goswami, M.M. Studies on cancer cell death through delivery of dopamine as anti-cancer drug by a newly functionalized cobalt ferrite nano-carrier. Colloids Surf. A Physicochem. Eng. Asp. 2021, 627, 127202. [Google Scholar] [CrossRef]
- Turk, A.Z.; Marchoubeh, M.L.; Fritsch, I.; Maguire, G.A.; SheikhBahaei, S. Dopamine, vocalization, and astrocytes. Brain Lang. 2021, 219, 104970. [Google Scholar] [CrossRef] [PubMed]
- Broome, S.T.; Louangaphay, K.; Keay, K.A.; Leggio, G.M.; Musumeci, G.; Castorina, A. Dopamine: An immune transmitter. Neural Regen. Res. 2020, 15, 2173–2185. [Google Scholar]
- Klein, M.O.; Battagello, D.S.; Cardoso, A.R.; Hauser, D.N.; Bittencourt, J.C.; Correa, R.G. Dopamine: Functions, Signaling, and Association with Neurological Diseases. Cell Mol. Neurobiol. 2019, 39, 31–59. [Google Scholar] [CrossRef]
- Wang, X.; Wang, Z.B.; Luo, C.; Mao, X.Y.; Li, X.; Yin, J.Y.; Zhang, W.; Zhou, H.H.; Liu, Z.Q. The Prospective Value of Dopamine Receptors on Bio-Behavior of Tumor. J. Cancer 2019, 10, 1622–1632. [Google Scholar] [CrossRef]
- Lianos, G.D.; Alexiou, G.A.; Rausei, S.; Galani, V.; Mitsis, M.; Kyritsis, A.P. Repurposing antipsychotic drugs for cancer treatment: Current evidence and future perspectives. Expert Rev. Anticancer Ther. 2022, 22, 131–134. [Google Scholar] [CrossRef] [PubMed]
- Weissenrieder, J.S.; Neighbors, J.D.; Mailman, R.B.; Hohl, R.J. Cancer and the Dopamine D(2) Receptor: A Pharmacological Perspective. J. Pharmacol. Exp. Ther. 2019, 370, 111–126. [Google Scholar] [CrossRef]
- Rosas-Cruz, A.; Salinas-Jazmín, N.; Velázquez, M.A.V. Dopamine receptors in cancer: Are they valid therapeutic targets? Technol. Cancer Res. Treat. 2021, 20, 15330338211027913. [Google Scholar] [CrossRef]
- Grant, C.E.; Flis, A.L.; Ryan, B.M. Understanding the role of dopamine in cancer: Past, present and future. Carcinogenesis 2022, 43, 517–527. [Google Scholar] [CrossRef]
- Speranza, L.; Di Porzio, U.; Viggiano, D.; de Donato, A.; Volpicelli, F. Dopamine: The neuromodulator of long-term synaptic plasticity, reward and movement control. Cells 2021, 10, 735. [Google Scholar] [CrossRef]
- Rubí, B.; Maechler, P. Minireview: New roles for peripheral dopamine on metabolic control and tumor growth: Let’s seek the balance. Endocrinology 2010, 151, 5570–5581. [Google Scholar] [CrossRef] [PubMed]
- Capellino, S.; Claus, M.; Watzl, C. Regulation of natural killer cell activity by glucocorticoids, serotonin, dopamine, and epinephrine. Cell Mol. Immunol. 2020, 17, 705–711. [Google Scholar] [CrossRef] [PubMed]
- Purves, D.; Augustin, G.J.; Fitzpatrick, D.; Hall, W.C.; LaMantia, A.-S.; Mooney, R.D.; Platt, M.L.; White, L.E. (Eds.) Neuroscience, 6th ed.; Oxford University Press: Oxford, UK, 2018. [Google Scholar]
- Wick, M.M.; Kramer, R.A.; Gorman, M. Enhancement of L-dopa incorporation into melanoma by dopa decarboxylase inhibition. J. Investig. Dermatol. 1978, 70, 358–360. [Google Scholar] [CrossRef]
- Kamgar-Dayhoff, P.; Brelidze, T.I. Multifaceted effect of chlorpromazine in cancer: Implications for cancer treatment. Oncotarget 2021, 12, 1406. [Google Scholar] [CrossRef] [PubMed]
- Yang, C.-E.; Lee, W.-Y.; Cheng, H.-W.; Chung, C.-H.; Mi, F.-L.; Lin, C.-W. The antipsychotic chlorpromazine suppresses YAP signaling, stemness properties, and drug resistance in breast cancer cells. Chem. Biol. Interact. 2019, 302, 28–35. [Google Scholar] [CrossRef]
- Lee, W.-Y.; Lee, W.-T.; Cheng, C.-H.; Chen, K.-C.; Chou, C.-M.; Chung, C.-H.; Sun, M.-S.; Cheng, H.-W.; Ho, M.-N.; Lin, C.-W. Repositioning antipsychotic chlorpromazine for treating colorectal cancer by inhibiting sirtuin 1. Oncotarget 2015, 6, 27580. [Google Scholar] [CrossRef]
- Oliva, C.R.; Zhang, W.; Langford, C.; Suto, M.J.; Griguer, C.E. Repositioning chlorpromazine for treating chemoresistant glioma through the inhibition of cytochrome c oxidase bearing the COX4-1 regulatory subunit. Oncotarget 2017, 8, 37568. [Google Scholar] [CrossRef] [PubMed]
- Gil-Ad, I.; Shtaif, B.; Levkovitz, Y.; Nordenberg, J.; Taler, M.; Korov, I.; Weizman, A. Phenothiazines induce apoptosis in a B16 mouse melanoma cell line and attenuate in vivo melanoma tumor growth. Oncol. Rep. 2006, 15, 107–112. [Google Scholar] [CrossRef]
- Zhelev, Z.; Ohba, H.; Bakalova, R.; Hadjimitova, V.; Ishikawa, M.; Shinohara, Y.; Baba, Y. Phenothiazines suppress proliferation and induce apoptosis in cultured leukemic cells without any influence on the viability of normal lymphocytes: Phenothiazines and leukemia. Cancer Chemother. Pharmacol. 2004, 53, 267–275. [Google Scholar] [CrossRef]
- Zong, D.; Zielinska-Chomej, K.; Juntti, T.; Mörk, B.; Lewensohn, R.; Hååg, P.; Viktorsson, K. Harnessing the lysosome-dependent antitumor activity of phenothiazines in human small cell lung cancer. Cell Death Dis. 2014, 5, e1111. [Google Scholar] [CrossRef]
- Jeong, J.Y.; Park, H.; Yoo, H.; Kim, E.J.; Jeon, B.; Lee, J.D.; Kang, D.; Lee, C.J.; Paek, S.H.; Roh, E.J.; et al. Trifluoperazine and Its Analog Suppressed the Tumorigenicity of Non-Small Cell Lung Cancer Cell; Applicability of Antipsychotic Drugs to Lung Cancer Treatment. Biomedicines 2022, 10, 1046. [Google Scholar] [CrossRef] [PubMed]
- Qian, K.; Sun, L.; Zhou, G.; Ge, H.; Meng, Y.; Li, J.; Li, X.; Fang, X. Trifluoperazine as an alternative strategy for the inhibition of tumor growth of colorectal cancer. J. Cell. Biochem. 2019, 120, 15756–15765. [Google Scholar] [CrossRef]
- Tardy, M.; Dold, M.; Engel, R.R.; Leucht, S. Trifluoperazine versus low-potency first-generation antipsychotic drugs for schizophrenia. Cochrane Database Syst. Rev. 2014, 7, CD009396. [Google Scholar] [CrossRef]
- Spengler, G.; Csonka, A.; Molnar, J.; Amaral, L. The Anticancer Activity of the Old Neuroleptic Phenothiazine-type Drug Thioridazine. Anticancer Res. 2016, 36, 5701–5706. [Google Scholar] [CrossRef]
- Huang, J.; Zhao, D.; Liu, Z.; Liu, F. Repurposing psychiatric drugs as anti-cancer agents. Cancer Lett. 2018, 419, 257–265. [Google Scholar] [CrossRef]
- Jackson, C.W.; Sheehan, A.H.; Reddan, J.G. Evidence-based review of the black-box warning for droperidol. Am. J. Health Syst. Pharm. 2007, 64, 1174–1186. [Google Scholar] [CrossRef]
- Perkins, J.; Ho, J.D.; Vilke, G.M.; DeMers, G. American Academy of Emergency Medicine Position Statement: Safety of Droperidol Use in the Emergency Department. J. Emerg. Med. 2015, 49, 91–97. [Google Scholar] [CrossRef]
- Schaub, I.; Lysakowski, C.; Elia, N.; Tramer, M.R. Low-dose droperidol (</=1 mg or </=15 mug kg-1) for the prevention of postoperative nausea and vomiting in adults: Quantitative systematic review of randomised controlled trials. Eur. J. Anaesthesiol. 2012, 29, 286–294. [Google Scholar]
- Holt, R.I.; Barnett, A.H.; Bailey, C.J. Bromocriptine: Old drug, new formulation and new indication. Diabetes Obes. Metab. 2010, 12, 1048–1057. [Google Scholar] [CrossRef] [PubMed]
- McMurray, R.W. Bromocriptine in rheumatic and autoimmune diseases. Semin. Arthritis Rheum. 2001, 31, 21–32. [Google Scholar] [CrossRef] [PubMed]
- Goncalves, J.M.; Silva, C.A.B.; Rivero, E.R.C.; Cordeiro, M.M.R. Inhibition of cancer stem cells promoted by Pimozide. Clin. Exp. Pharmacol. Physiol. 2019, 46, 116–125. [Google Scholar] [CrossRef]
- Shaw, V.; Srivastava, S.; Srivastava, S.K. Repurposing antipsychotics of the diphenylbutylpiperidine class for cancer therapy. Semin. Cancer Biol. 2021, 68, 75–83. [Google Scholar] [CrossRef]
- Abdelaleem, M.; Ezzat, H.; Osama, M.; Megahed, A.; Alaa, W.; Gaber, A.; Shafei, A.; Refaat, A. Prospects for repurposing CNS drugs for cancer treatment. Oncol. Rev. 2019, 13, 411. [Google Scholar] [CrossRef]
- Usta, N.G.; Poyraz, C.A.; Aktan, M.; Duran, A. Clozapine treatment of refractory schizophrenia during essential chemotherapy: A case study and mini review of a clinical dilemma. Ther. Adv. Psychopharmacol. 2014, 4, 276–281. [Google Scholar] [CrossRef] [PubMed]
- Wagner, E.; Siafis, S.; Fernando, P.; Falkai, P.; Honer, W.G.; Roh, A.; Siskind, D.; Leucht, S.; Hasan, A. Efficacy and safety of clozapine in psychotic disorders-a systematic quantitative meta-review. Transl. Psychiatry 2021, 11, 487. [Google Scholar] [CrossRef] [PubMed]
- Gammon, D.; Cheng, C.; Volkovinskaia, A.; Baker, G.B.; Dursun, S.M. Clozapine: Why Is It So Uniquely Effective in the Treatment of a Range of Neuropsychiatric Disorders? Biomolecules 2021, 11, 1030. [Google Scholar] [CrossRef]
- Sachlos, E.; Risueno, R.M.; Laronde, S.; Shapovalova, Z.; Lee, J.H.; Russell, J.; Malig, M.; McNicol, J.D.; Fiebig-Comyn, A.; Graham, M.; et al. Identification of drugs including a dopamine receptor antagonist that selectively target cancer stem cells. Cell 2012, 149, 1284–1297. [Google Scholar] [CrossRef]
- Germann, D.; Kurylo, N.; Han, F. Risperidone. Profiles Drug Subst. Excip. Relat. Methodol. 2012, 37, 313–361. [Google Scholar] [PubMed]
- Möller, H.-J. Risperidone: A review. Expert Opin. Pharmacother. 2005, 6, 803–818. [Google Scholar] [CrossRef]
- Reutfors, J.; Wingard, L.; Brandt, L.; Wang, Y.; Qiu, H.; Kieler, H.; Bahmanyar, S. Risk of breast cancer in risperidone users: A nationwide cohort study. Schizophr. Res. 2017, 182, 98–103. [Google Scholar] [CrossRef]
- Chen, V.C.-H.; Hsu, T.-C.; Lin, C.-F.; Huang, J.-Y.; Chen, Y.-L.; Tzang, B.-S.; McIntyre, R.S. Association of risperidone with gastric cancer: Triangulation method from cell study, animal study, and cohort study. Front. Pharmacol. 2022, 13, 1151. [Google Scholar] [CrossRef]
- Gassó, P.; Mas, S.; Molina, O.; Bernardo, M.; Lafuente, A.; Parellada, E. Neurotoxic/neuroprotective activity of haloperidol, risperidone and paliperidone in neuroblastoma cells. Prog. Neuro-Psychopharmacol. Biol. Psychiatry 2012, 36, 71–77. [Google Scholar] [CrossRef]
- Chen, V.C.-H.; Hsieh, Y.-H.; Lin, T.-C.; Lu, M.-L.; Liao, Y.-T.; Yang, Y.-H.; Hsu, T.-C.; Stewart, R.; Weng, J.-C.; Lee, M.-J. New use for old drugs: The protective effect of risperidone on colorectal cancer. Cancers 2020, 12, 1560. [Google Scholar] [CrossRef] [PubMed]
- Colao, A.; Lombardi, G.; Annunziato, L. Cabergoline. Expert Opin. Pharmacother. 2000, 1, 555–574. [Google Scholar] [CrossRef]
- Del Dotto, P.; Bonuccelli, U. Clinical pharmacokinetics of cabergoline. Clin. Pharmacokinet. 2003, 42, 633–645. [Google Scholar] [CrossRef] [PubMed]
- Batista, R.L.; Musolino, N.R.C.; Cescato, V.A.S.; da Silva, G.O.; Medeiros, R.S.S.; Herkenhoff, C.G.B.; Trarbach, E.B.; Cunha-Neto, M.B. Cabergoline in the Management of Residual Nonfunctioning Pituitary Adenoma: A Single-Center, Open-Label, 2-Year Randomized Clinical Trial. Am. J. Clin. Oncol. 2019, 42, 221–227. [Google Scholar] [CrossRef]
- Costa, R.; Santa-Maria, C.A.; Scholtens, D.M.; Jain, S.; Flaum, L.; Gradishar, W.J.; Clevenger, C.V.; Kaklamani, V.G. A pilot study of cabergoline for the treatment of metastatic breast cancer. Breast Cancer Res. Treat. 2017, 165, 585–592. [Google Scholar] [CrossRef] [PubMed]
- Davis, M.P.; Sanger, G.J. The Benefits of Olanzapine in Palliating Symptoms. Curr. Treat Options Oncol. 2020, 22, 5. [Google Scholar] [CrossRef] [PubMed]
- Saudemont, G.; Prod’Homme, C.; Da Silva, A.; Villet, S.; Reich, M.; Penel, N.; Gamblin, V. The use of olanzapine as an antiemetic in palliative medicine: A systematic review of the literature. BMC Palliat. Care 2020, 19, 56. [Google Scholar] [CrossRef]
- Ji, M.; Cui, J.; Xi, H.; Yang, Y.; Wang, L. Efficacy of olanzapine for quality of life improvement among patients with malignant tumor: A systematic review. Cancer 2019, 2, e1167. [Google Scholar] [CrossRef]
- Sanomachi, T.; Suzuki, S.; Kuramoto, K.; Takeda, H.; Sakaki, H.; Togashi, K.; Seino, S.; Yoshioka, T.; Okada, M.; Kitanaka, C. Olanzapine, an Atypical Antipsychotic, Inhibits Surviving Expression and Sensitizes Cancer Cells to Chemotherapeutic Agents. Anticancer Res. 2017, 37, 6177–6188. [Google Scholar]
- Rossi, M.; Giorgi, G. Domperidone and long QT syndrome. Curr. Drug Saf. 2010, 5, 257–262. [Google Scholar] [CrossRef]
- Sugumar, A.; Singh, A.; Pasricha, P.J. A systematic review of the efficacy of domperidone for the treatment of diabetic gastroparesis. Clin. Gastroenterol. Hepatol. 2008, 6, 726–733. [Google Scholar] [CrossRef] [PubMed]
- Hondeghem, L.M. Domperidone: Limited benefits with significant risk for sudden cardiac death. J. Cardiovasc. Pharmacol. 2013, 61, 218–225. [Google Scholar] [CrossRef]
- Zhang, Q.B.; Zhang, B.H.; Zhang, K.Z.; Meng, X.T.; Jia, Q.A.; Zhang, Q.B.; Bu, Y.; Zhu, X.D.; Ma, D.N.; Ye, B.G.; et al. Moderate swimming suppressed the growth and metastasis of the transplanted liver cancer in mice model: With reference to nervous system. Oncogene 2016, 35, 4122–4131. [Google Scholar] [CrossRef] [PubMed]
- Allen, J.E.; Kline, C.L.B.; Prabhu, V.V.; Wagner, J.; Ishizawa, J.; Madhukar, N.; Lev, A.; Baumeister, M.; Zhou, L.; Lulla, A. Discovery and clinical introduction of first-in-class imipridone ONC201. Oncotarget 2016, 7, 74380. [Google Scholar] [CrossRef] [PubMed]
- Prabhu, V.V.; Morrow, S.; Kawakibi, A.R.; Zhou, L.; Ralff, M.; Ray, J.; Jhaveri, A.; Ferrarini, I.; Lee, Y.; Parker, C. ONC201 and imipridones: Anti-cancer compounds with clinical efficacy. Neoplasia 2020, 22, 725–744. [Google Scholar] [CrossRef] [PubMed]




Disclaimer/Publisher’s Note: The statements, opinions and data contained in all publications are solely those of the individual author(s) and contributor(s) and not of MDPI and/or the editor(s). MDPI and/or the editor(s) disclaim responsibility for any injury to people or property resulting from any ideas, methods, instructions or products referred to in the content. |
© 2023 by the authors. Licensee MDPI, Basel, Switzerland. This article is an open access article distributed under the terms and conditions of the Creative Commons Attribution (CC BY) license (https://creativecommons.org/licenses/by/4.0/).
Share and Cite
Moura, C.; Vale, N. The Role of Dopamine in Repurposing Drugs for Oncology. Biomedicines 2023, 11, 1917. https://doi.org/10.3390/biomedicines11071917
Moura C, Vale N. The Role of Dopamine in Repurposing Drugs for Oncology. Biomedicines. 2023; 11(7):1917. https://doi.org/10.3390/biomedicines11071917
Chicago/Turabian StyleMoura, Catarina, and Nuno Vale. 2023. "The Role of Dopamine in Repurposing Drugs for Oncology" Biomedicines 11, no. 7: 1917. https://doi.org/10.3390/biomedicines11071917
APA StyleMoura, C., & Vale, N. (2023). The Role of Dopamine in Repurposing Drugs for Oncology. Biomedicines, 11(7), 1917. https://doi.org/10.3390/biomedicines11071917

