Relationship between Lung and Brain Injury in COVID-19 Patients: A Hyperpolarized 129Xe-MRI-based 8-Month Follow-Up
Abstract
:1. Introduction
2. Materials and Methods
2.1. 129Xe Lung MRI
2.2. 1H Brain MRI
2.3. CT Scans
2.4. Patients
2.5. Statistical Analysis
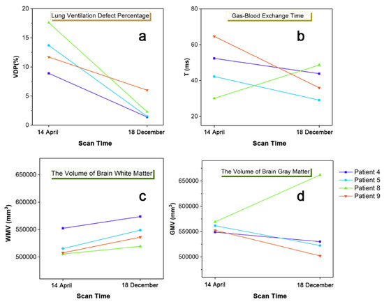
3. Results and Discussion
Author Contributions
Funding
Institutional Review Board Statement
Informed Consent Statement
Data Availability Statement
Conflicts of Interest
References
- Wiersinga, W.J.; Rhodes, A.; Cheng, A.C.; Peacock, S.J.; Prescott, H.C. Pathophysiology, transmission, diagnosis, and treatment of coronavirus disease 2019 (COVID-19): A review. JAMA 2020, 324, 782–793. [Google Scholar] [CrossRef] [PubMed]
- Li, H.; Zhao, X.; Wang, Y.; Lou, X.; Chen, S.; Deng, H.; Shi, L.; Xie, J.; Tang, D.; Zhao, J.; et al. Damaged lung gas exchange function of discharged COVID-19 patients detected by hyperpolarized 129Xe MRI. Sci. Adv. 2021, 7, eabc8180. [Google Scholar] [CrossRef] [PubMed]
- Politi, L.S.; Salsano, E.; Grimaldi, M. Magnetic resonance imaging alteration of the brain in a patient with coronavirus disease 2019 (COVID-19) and anosmia. JAMA Neurol. 2020, 77, 1028–1029. [Google Scholar] [CrossRef] [PubMed]
- Huang, C.; Huang, L.; Wang, Y.; Li, X.; Ren, L.; Gu, X.; Kang, L.; Guo, L.; Liu, M.; Zhou, X.; et al. 6-month consequences of COVID-19 in patients discharged from hospital: A cohort study. Lancet 2021, 397, 220–232. [Google Scholar] [CrossRef]
- China National Health Commission. Chinese Clinical Guidance for COVID-19 Pneumonia Diagnosis and Treatment (8th edition) (2021). Available online: http://www.nhc.gov.cn/xcs/zhengcwj/202105/6f1e8ec6c4a540d99fafef52fc86d0f8/files/4a860a7e85d14d55a22fbab0bbe77cd9.pdf (accessed on 17 February 2022).
- Helms, J.; Kremer, S.; Merdji, H.; Clere-Jehl, R.; Schenck, M.; Kummerlen, C.; Collange, O.; Boulay, C.; Fafi-Kremer, S.; Ohana, M.; et al. Neurologic features in severe SARS-CoV-2 infection. N. Engl. J. Med. 2020, 382, 2268–2270. [Google Scholar] [CrossRef]
- Mao, L.; Jin, H.; Wang, M.; Hu, Y.; Chen, S.; He, Q.; Chang, J.; Hong, C.; Zhou, Y.; Wang, D.; et al. Neurologic manifestations of hospitalized patients with coronavirus disease 2019 in Wuhan, China. JAMA Neurol. 2020, 77, 683–690. [Google Scholar] [CrossRef] [Green Version]
- Veleri, S. Neurotropism of SARS-CoV-2 and neurological diseases of the central nervous system in COVID-19 patients. Exp. Brain Res. 2022, 240, 9–25. [Google Scholar] [CrossRef]
- Yelin, D.; Wirtheim, E.; Vetter, P.; Kalil, A.C.; Bruchfeld, J.; Runold, M.; Guaraldi, G.; Mussini, C.; Gudiol, C.; Pujol, M. Long-term consequences of COVID-19: Research needs. Lancet Infect. Dis. 2020, 20, 1115–1117. [Google Scholar] [CrossRef]
- Wang, C.; Li, H.; Xiao, S.; Li, Z.; Zhao, X.; Xie, J.; Ye, C.; Xia, L.; Lou, X.; Zhou, X. Abnormal dynamic ventilation function of COVID-19 survivors detected by pulmonary free-breathing proton MRI. Eur Radiol. 2022. [Google Scholar] [CrossRef]
- Jiang, W.; Guo, Q.; Luo, Q.; Zhang, X.; Yuan, Y.; Li, H.; Zhou, X. Molecular concentration determination using long-interval Chemical Exchange Inversion Transfer (CEIT) NMR spectroscopy. J. Phys. Chem. Lett. 2021, 12, 8652–8657. [Google Scholar]
- Möller, H.E.; Chen, X.J.; Saam, B.; Hagspiel, K.D.; Johnson, G.A.; Altes, T.A.; de Lange, E.E.; Kauczor, H. MRI of the lungs using hyperpolarized noble gases. Magn. Reson Med. 2002, 47, 1029–1051. [Google Scholar] [CrossRef] [PubMed] [Green Version]
- Albert, M.S.; Cates, G.D.; Driehuys, B.; Happer, W.; Saam, B.; Springer, C.S.; Wishnia, A. Biological magnetic resonance imaging using laser-polarized 129Xe. Nature 1994, 370, 199–201. [Google Scholar] [CrossRef] [PubMed]
- Kaushik, S.S.; Freeman, M.S.; Yoon, S.W.; Liljeroth, M.G.; Stiles, J.V.; Roos, J.E.; Foster, W.S.M.; Rackley, C.R.; McAdams, H.P.; Driehuys, B. Measuring diffusion limitation with a perfusion-limited gas-Hyperpolarized 129Xe gas-transfer spectroscopy in patients with idiopathic pulmonary fibrosis. J. Appl. Physiol. 2014, 117, 577–585. [Google Scholar] [CrossRef] [PubMed] [Green Version]
- Marshall, H.; Stewart, N.J.; Chan, H.F.; Rao, M.; Norquay, G.; Wild, J.M. In vivo methods and applications of xenon-129 magnetic resonance. Prog. Nucl. Mag. Res. SP 2021, 122, 42–62. [Google Scholar] [CrossRef]
- Duan, C.; Deng, H.; Xiao, S.; Xie, J.; Li, H.; Zhao, X.; Han, D.; Sun, X.; Lou, X.; Ye, C.; et al. Accelerate gas diffusion-weighted MRI for lung morphometry with deep learning. Eur. Radiol. 2022, 32, 702–713. [Google Scholar] [CrossRef]
- Wajnberg, A.; Amanat, F.; Firpo, A.; Altman, D.R.; Bailey, M.J.; Mansour, M.; McMahon, M.; Meade, P.; Mendu, D.R.; Muellers, K.; et al. Robust neutralizing antibodies to SARS-CoV-2 infection persist for months. Science 2020, 370, 1227–1230. [Google Scholar] [CrossRef]
- Sterne, J.A.C.; Murthy, S.; Diaz, J.V.; Slutsky, A.S.; Villar, J.; Angus, D.C.; Annane, D.; Azevedo, L.C.P.; Berwanger, O.; Cavalcanti, A.B.; et al. Association between administration of systemic corticosteroids and mortality among critically ill patients with COVID-19: A meta-analysis. JAMA 2020, 324, 1330–1341. [Google Scholar]
- Kabashneh, S.; Ali, H.; Alkassis, S. Multi-organ failure in a patient with diabetes due to COVID-19 with clear lungs. Cureus 2020, 12, e8147. [Google Scholar] [CrossRef]
- Jain, V.; Langham, M.C.; Wehrli, F.W. MRI estimation of global brain oxygen consumption rate. J. Cereb. Blood Flow Metab. 2010, 30, 1598–1607. [Google Scholar] [CrossRef]
- Freygang, W.H.; Sokoloff, L. Quantitative measurements of regional circulation in the central nervous system by the use of radioactive inert gas. Adv. Biol. Med. Phys. 1958, 6, 263–279. [Google Scholar]
- Radmanesh, A.; Derman, A.; Lui, Y.W.; Raz, E.; Loh, J.P.; Hagiwara, M.; Borja, M.J.; Zan, E.; Fatterpekar, G.M. COVID-19–associated diffuse leukoencephalopathy and microhemorrhages. Radiology 2020, 297, E223–E227. [Google Scholar] [CrossRef] [PubMed]
- Lu, Y.; Li, X.; Geng, D.; Mei, N.; Wu, P.; Huang, C.; Jia, T.; Zhao, Y.; Wang, D.; Xiao, A.; et al. Cerebral micro-structural changes in COVID-19 patients–an MRI-based 3-month follow-up study. EClinicalMedicine 2020, 25, 100484. [Google Scholar] [CrossRef] [PubMed]



| Subject No. | Patient 1 | Patient 2 | Patient 3 | Patient 4 | Patient 5 | Patient 6 | Patient 7 | Patient 8 | Patient 9 |
|---|---|---|---|---|---|---|---|---|---|
| Cliniical characteristics | |||||||||
| Date of onset of symptoms | 25 January 2020 | 17 January 2020 | 10 January 2020 | 9 January 2020 | 1 January 2020 | 23 January 2020 | 18 January 2020 | 15 January 2020 | 17 January 2020 |
| Date of discharge | 12 February 2020 | 27 February 2020 | 14 February 2020 | 4 February 2020 | 4 February 2020 | 18 February 2020 | 20 February 2020 | 13 February 2020 | 6 February 2020 |
| Days of hospitalization | 26 | 35 | 32 | 14 | 18 | 20 | 23 | 23 | 16 |
| Age (years) | 53 | 50 | 50 | 51 | 38 | 62 | 50 | 38 | 64 |
| Epidemiological history | Yes | Yes | Yes | Yes | No | No | No | No | No |
| Underlying diseases | No | No | No | No | No | No | No | No | Diabetes |
| Signs and symptoms | |||||||||
| Fever | Yes | Yes | Yes | Yes | Yes | Yes | Yes | Yes | Yes |
| Myalgia | Yes | ||||||||
| Fatigue | Yes | Yes | Yes | ||||||
| Cough | Yes | Yes | Yes | Yes | Yes | ||||
| Chest distress | Yes | Yes | Yes | ||||||
| Dyspnea | Yes | ||||||||
| Tachypnea | Yes | Yes | Yes | ||||||
| Laboratory characteristics | |||||||||
| WBC (×109 cells per L) | 6.88 | 3.99 | 3.57 | 6.33 | 5.98 | 11.29↑ | 9.75↑ | 15.51↑ | 9.58↑ |
| Hemoglobin (g/L) | 145 | 164 | 129 | 122 | 125 | 112 | 109 | 130 | 106 |
| Lymphocyte (109 cells per L) | 1.05 | 0.64 | 1.37 | 1.23 | 1.43 | 0.37↓ | 0.86↓ | 1.08 | 0.72 |
| C-reactive protein (mg/L) | 139.8↑ | 14.4 | 18.5 | 30.6↑ | 32.7↑ | 45.2↑ | 89.8↑ | 68.5↑ | 35.4↑ |
| IL-6 (pg/mL) | 11.69 | 4.5 | 7.32 | 27.63↑ | 24.77↑ | 19.73↑ | 13.63↑ | 6.99 | 20.39↑ |
| Oxygen saturation (%) | 89 | 98 | 88 | 97.6 | 96 | 98 | 93 | 94 | 95 |
| CT evidence of pneumonia imaging features | |||||||||
| Consolidation | Yes | Yes | Yes | Yes | Yes | Yes | Yes | Yes | Yes |
| Ground-glass opacity | Yes | Yes | Yes | Yes | Yes | Yes | Yes | Yes | Yes |
| Bilateral pulmonary infiltration | Yes | Yes | Yes | Yes | Yes | Yes | Yes | Yes | Yes |
Publisher’s Note: MDPI stays neutral with regard to jurisdictional claims in published maps and institutional affiliations. |
© 2022 by the authors. Licensee MDPI, Basel, Switzerland. This article is an open access article distributed under the terms and conditions of the Creative Commons Attribution (CC BY) license (https://creativecommons.org/licenses/by/4.0/).
Share and Cite
Chen, S.; Lan, Y.; Li, H.; Xia, L.; Ye, C.; Lou, X.; Zhou, X. Relationship between Lung and Brain Injury in COVID-19 Patients: A Hyperpolarized 129Xe-MRI-based 8-Month Follow-Up. Biomedicines 2022, 10, 781. https://doi.org/10.3390/biomedicines10040781
Chen S, Lan Y, Li H, Xia L, Ye C, Lou X, Zhou X. Relationship between Lung and Brain Injury in COVID-19 Patients: A Hyperpolarized 129Xe-MRI-based 8-Month Follow-Up. Biomedicines. 2022; 10(4):781. https://doi.org/10.3390/biomedicines10040781
Chicago/Turabian StyleChen, Shizhen, Yina Lan, Haidong Li, Liming Xia, Chaohui Ye, Xin Lou, and Xin Zhou. 2022. "Relationship between Lung and Brain Injury in COVID-19 Patients: A Hyperpolarized 129Xe-MRI-based 8-Month Follow-Up" Biomedicines 10, no. 4: 781. https://doi.org/10.3390/biomedicines10040781
APA StyleChen, S., Lan, Y., Li, H., Xia, L., Ye, C., Lou, X., & Zhou, X. (2022). Relationship between Lung and Brain Injury in COVID-19 Patients: A Hyperpolarized 129Xe-MRI-based 8-Month Follow-Up. Biomedicines, 10(4), 781. https://doi.org/10.3390/biomedicines10040781

