Female Aging Affects Coilin Pattern in Mouse Cumulus Cells
Abstract
1. Introduction
2. Materials and Methods
2.1. Collection of Cumulus Cells
2.2. Immunofluorescence Microscopy
2.3. Electron Microscopy
2.4. Quantitative Image Analysis
2.5. Statistical Analysis
2.6. Analysis of External Transcriptome Data
3. Results
3.1. Morphology and Distribution of Coilin-Containing Bodies
3.1.1. Fluorescent Microscopy
3.1.2. Electron Microscopy
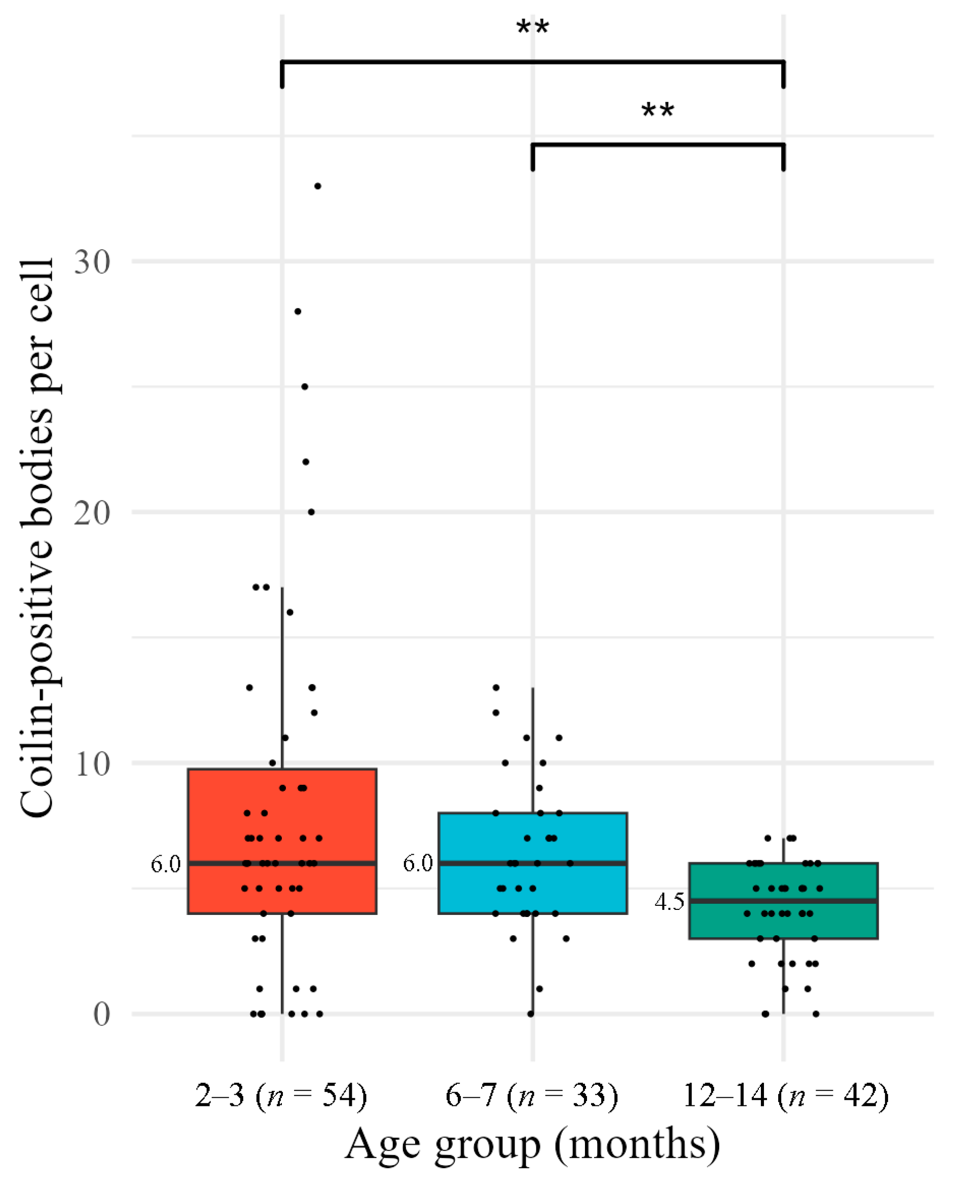
3.2. Age-Related Dynamics of Coilin Bodies
3.3. Re-Analysis of Published Transcriptome Data
4. Discussion
5. Conclusions
Supplementary Materials
Author Contributions
Funding
Institutional Review Board Statement
Informed Consent Statement
Data Availability Statement
Acknowledgments
Conflicts of Interest
Abbreviations
| CB | Cajal body |
| CC | Cumulus cell |
| GC | Granulosa cell |
| HLB | Histone locus body |
| IEM | Immunogold/electron microscopy |
| IVF | In vitro fertilization |
| LLPS | Liquid–liquid phase separation |
| NB | Nuclear body |
| PBS | Phosphate-buffered saline |
| TEM | Transmission electron microscopy |
References
- Kushnir, V.A.; Smith, G.D.; Adashi, E.Y. The future of IVF: The new normal in human reproduction. Reprod. Sci. 2022, 29, 849–856. [Google Scholar] [CrossRef]
- Zarqaoui, M.; Zakaria, M.; Louanjli, N.; En-Naciri, N.; Ennaji, M.; Jamil, M.; Kabit, A.; Brahim, S.; Romaissa, B. Follicular fluid aspiration and oocyte retrieval techniques, several flushing, difficulty situations damage risk to the cumulus complex and complications. Acta Sci. Women’s Health 2020, 2, 24–33. [Google Scholar] [CrossRef]
- Russell, D.L.; Robker, R.L. Cumulus cells. In Encyclopedia of Reproduction, 2nd ed.; Skinner, M.K., Ed.; Academic Press: Cambridge, MA, USA, 2018; Volume 2, pp. 43–46. [Google Scholar] [CrossRef]
- Petríková, J.; Lazúrová, I. Ovarian failure and polycystic ovary syndrome. Autoimmun. Rev. 2012, 11, A471–A478. [Google Scholar] [CrossRef]
- Rosenfield, R.L.; Ehrmann, D.A. The pathogenesis of polycystic ovary syndrome (PCOS): The hypothesis of PCOS as functional ovarian hyperandrogenism revisited. Endocr. Rev. 2016, 37, 467–520. [Google Scholar] [CrossRef]
- Dridi, M.; Chraiet, N.; Batti, R.; Ayadi, M.; Mokrani, A.; Meddeb, K.; Yahiaoui, Y.; Raies, H.; Mezlini, A. Granulosa cell tumor of the ovary: A retrospective study of 31 cases and a review of the literature. Int. J. Surg. Oncol. 2018, 2018, 4547892. [Google Scholar] [CrossRef]
- Sakr, S.; Abdulfatah, E.; Thomas, S.; Al-Wahab, Z.; Beydoun, R.; Morris, R.; Ali-Fehmi, R.; Bandyopadhyay, S. Granulosa cell tumors: Novel predictors of recurrence in early-stage patients. Int. J. Gynecol. Pathol. 2017, 36, 240–252. [Google Scholar] [CrossRef]
- Shi, W.; Wang, D.; Xue, X.; Qiao, S.; Zhang, W.; Shi, J.; Huang, C. Epigenomic landscape of human cumulus cells in premature ovarian insufficiency using single-base resolution methylome and hydroxymethylome. J. Cell. Mol. Med. 2024, 28, e70284. [Google Scholar] [CrossRef]
- Massoud, G.; Spann, M.; Vaught, K.C.; Das, S.; Dow, M.; Cochran, R.; Baker, V.; Segars, J.; Singh, B. Biomarkers assessing the role of cumulus cells on IVF outcomes: A systematic review. J. Assist. Reprod. Genet. 2024, 41, 253–275. [Google Scholar] [CrossRef]
- Albiez, H.; Cremer, M.; Tiberi, C.; Vecchio, L.; Schermelleh, L.; Dittrich, S.; Küpper, K.; Joffe, B.; Thormeyer, T.; von Hase, J.; et al. Chromatin domains and the interchromatin compartment form structurally defined and functionally interacting nuclear networks. Chromosome Res. 2006, 14, 707–733. [Google Scholar] [CrossRef]
- Bellini, M.; Gall, J.G. Coilin shuttles between the nucleus and cytoplasm in Xenopus oocytes. Mol. Biol. Cell 1999, 10, 3425–3434. [Google Scholar] [CrossRef]
- Machyna, M.; Neugebauer, K.M.; Staněk, D. Coilin: The first 25 years. RNA Biol. 2015, 12, 590–596. [Google Scholar] [CrossRef]
- Lam, Y.W.; Lyon, C.E.; Lamond, A.I. Large-scale isolation of Cajal bodies from HeLa cells. Mol. Biol. Cell 2002, 13, 2461–2473. [Google Scholar] [CrossRef]
- Gall, J.G. Cajal bodies: The first 100 years. Annu. Rev. Cell Dev. Biol. 2000, 16, 273–300. [Google Scholar] [CrossRef]
- Sawyer, I.A.; Hager, G.L.; Dundr, M. Specific genomic cues regulate Cajal body assembly. RNA Biol. 2017, 14, 791–803. [Google Scholar] [CrossRef]
- Staněk, D. Cajal bodies and snRNPs—Friends with benefits. RNA Biol. 2017, 14, 671–679. [Google Scholar] [CrossRef]
- Machyna, M.; Heyn, P.; Neugebauer, K.M. Cajal bodies: Where form meets function. Wiley Interdiscip. Rev. RNA 2013, 4, 17–34. [Google Scholar] [CrossRef]
- Staněk, D. Coilin and Cajal bodies. Nucleus 2023, 14, 2256036. [Google Scholar] [CrossRef]
- Hartl, F.U. Cellular homeostasis and aging. Annu. Rev. Biochem. 2016, 85, 1–4. [Google Scholar] [CrossRef]
- Tiku, V.; Jain, C.; Raz, Y.; Nakamura, S.; Heestand, B.; Liu, W.; Späth, M.; Suchiman, H.; Eka, D.; Müller, R.-U.; et al. Small nucleoli are a cellular hallmark of longevity. Nat. Commun. 2017, 8, 16083. [Google Scholar] [CrossRef]
- Hillje, R.; Luzi, L.; Amatori, S.; Persico, G.; Casciaro, F.; Rusin, M.; Fanelli, M.; Pelicci, P.; Giorgio, M. Time makes histone H3 modifications drift in mouse liver. Aging 2022, 14, 4959–4975. [Google Scholar] [CrossRef]
- Babayev, E.; Duncan, F.E. Age-associated changes in cumulus cells and follicular fluid: The local oocyte microenvironment as a determinant of gamete quality. Biol. Reprod. 2022, 106, 351–365. [Google Scholar] [CrossRef]
- El Osmani, N.; Prévostel, C.; Picque Lasorsa, L.; El Harakeh, M.; Radwan, Z.; Mawlawi, H.; El Sabban, M.; Shirinian, M.; Dassouki, Z. Vitamin C enhances co-localization of novel TET1 nuclear bodies with both Cajal and PML bodies in colorectal cancer cells. Epigenetics 2024, 19, 2337142. [Google Scholar] [CrossRef]
- Vogan, J.M.; Collins, K. Dynamics of human telomerase holoenzyme assembly and subunit exchange across the cell cycle. J. Biol. Chem. 2015, 290, 21320–21335. [Google Scholar] [CrossRef] [PubMed]
- Cristofari, G.; Adolf, E.; Reichenbach, P.; Sikora, K.; Terns, R.M.; Terns, M.P.; Lingner, J. Human telomerase RNA accumulation in Cajal bodies facilitates telomerase recruitment to telomeres and telomere elongation. Mol. Cell 2007, 27, 882–889. [Google Scholar] [CrossRef] [PubMed]
- Rubtsova, M.; Dontsova, O. Human telomerase RNA: Telomerase component or more? Biomolecules 2020, 10, 873. [Google Scholar] [CrossRef]
- Ollion, J.; Cochennec, J.; Loll, F.; Escudé, C.; Boudier, T. TANGO: A generic tool for high-throughput 3D image analysis for studying nuclear organization. Bioinformatics 2013, 29, 1840–1841. [Google Scholar] [CrossRef] [PubMed]
- Zenodo. Available online: https://zenodo.org/records/15395330 (accessed on 20 November 2025).
- Isola, J.V.V.; Ocañas, S.R.; Hubbart, C.R.; Ko, S.; Mondal, S.A.; Hense, J.D.; Carter, H.N.C.; Schneider, A.; Kovats, S.; Alberola-Ila, J.; et al. A single-cell atlas of the aging mouse ovary. Nat. Aging 2024, 4, 145–162. [Google Scholar] [CrossRef]
- Bogolyubova, I.O.; Bogolyubov, D.S. Detection of RNA polymerase II in mouse embryos during zygotic genome activation using immunocytochemistry. Methods Mol. Biol. 2017, 1605, 147–159. [Google Scholar] [CrossRef]
- Andrade, L.E.C.; Chan, E.K.L.; Raška, I.; Peebles, C.L.; Roos, G.; Tan, E.M. Human antibody to a novel protein of the nuclear coiled body: Immunological characterization and cDNA cloning of p80-coilin. J. Exp. Med. 1991, 173, 1407–1419. [Google Scholar] [CrossRef]
- Ronneberger, O.; Baddeley, D.; Scheipl, F.; Verveer, P.J.; Burkhardt, H.; Cremer, C.; Fahrmeir, L.; Cremer, T.; Joffe, B. Spatial quantitative analysis of fluorescently labeled nuclear structures: Problems, methods, pitfalls. Chromosome Res. 2008, 16, 523–562. [Google Scholar] [CrossRef]
- Hao, Y.; Stuart, T.; Kowalski, M.H.; Choudhary, S.; Hoffman, P.; Hartman, A.; Srivastava, A.; Molla, G.; Madad, S.; Fernandez-Granda, C.; et al. Dictionary learning for integrative, multimodal and scalable single-cell analysis. Nat. Biotechnol. 2024, 42, 293–304. [Google Scholar] [CrossRef] [PubMed]
- Finak, G.; McDavid, A.; Yajima, M.; Deng, J.; Gersuk, V.; Shalek, A.K.; Slichter, C.K.; Miller, H.W.; McElrath, M.J.; Prlic, M.; et al. MAST: A flexible statistical framework for assessing transcriptional changes and characterizing heterogeneity in single-cell RNA sequencing data. Genome Biol. 2015, 16, 278. [Google Scholar] [CrossRef] [PubMed]
- Bioconductor. Available online: https://bioconductor.org/packages/release/data/annotation/html/org.Mm.eg.db.html (accessed on 20 November 2025).
- Monneron, A.; Bernhard, W. Fine structural organization of the interphase nucleus in some mammalian cells. J. Ultrastruct. Res. 1969, 27, 266–288. [Google Scholar] [CrossRef]
- Ackert, C.L.; Gittens, J.E.I.; O’Brien, M.J.; Eppig, J.J.; Kidder, G.M. Intercellular communication via connexin 43 gap junctions is required for ovarian folliculogenesis in the mouse. Dev. Biol. 2001, 233, 258–270. [Google Scholar] [CrossRef]
- Li, S.-H.; Lin, M.-H.; Hwu, Y.-M.; Lu, C.-H.; Yeh, L.-Y.; Chen, Y.-J.; Lee, R.K.-K. Correlation of cumulus gene expression of GJA1, PRSS35, PTX3, and SERPINE2 with oocyte maturation, fertilization, and embryo development. Reprod. Biol. Endocrinol. 2015, 13, 93. [Google Scholar] [CrossRef]
- Shen, Q.; Chen, M.; Zhao, X.; Liu, Y.; Ren, X.; Zhang, L. Versican expression level in cumulus cells is associated with human oocyte developmental competence. Syst. Biol. Reprod. Med. 2020, 66, 176–184. [Google Scholar] [CrossRef]
- Yung, Y.; Maman, E.; Konopnicki, S.; Cohen, B.; Brengauz, M.; Lojkin, I.; Dal Canto, M.; Fadini, R.; Dor, J.; Hourvitz, A. ADAMTS-1: A new human ovulatory gene and a cumulus marker for fertilization capacity. Mol. Cell. Endocrinol. 2010, 328, 104–108. [Google Scholar] [CrossRef]
- Dragovic, R.A.; Ritter, L.J.; Schulz, S.J.; Amato, F.; Thompson, J.G.; Armstrong, D.T.; Gilchrist, R.B. Oocyte-secreted factor activation of SMAD 2/3 signaling enables initiation of mouse cumulus cell expansion. Biol. Reprod. 2007, 76, 848–857. [Google Scholar] [CrossRef]
- Zhou, F.; Shi, L.-B.; Zhang, S.-Y. Ovarian fibrosis: A phenomenon of concern. Chin. Med. J. 2017, 130, 365–371. [Google Scholar] [CrossRef]
- Jiang, D.; Guo, B.; Lin, F.; Hui, Q.; Tao, K. Effect of THBS1 on the biological function of hypertrophic scar fibroblasts. BioMed Res. Int. 2020, 2020, 8605407. [Google Scholar] [CrossRef] [PubMed]
- Wang, H.; Zhou, Z.; Liu, Y.; Wang, P.; Chen, L.; Qi, S.; Xie, J.; Tang, J. Identification and validation of HOXD3 and UNC5C as molecular signatures in keloid based on weighted gene co-expression network analysis. Genomics 2022, 114, 110403. [Google Scholar] [CrossRef]
- Shang, Y.; Li, Y.; Han, D.; Deng, K.; Gao, W.; Wu, M. LRRC4 deficiency drives premature ovarian insufficiency by disrupting metabolic homeostasis in granulosa cells. Adv. Sci. 2025, 12, 2417717. [Google Scholar] [CrossRef]
- Vasilopoulou, E.; Kolatsi-Joannou, M.; Lindenmeyer, M.T.; White, K.E.; Robson, M.G.; Cohen, C.D.; Sebire, N.J.; Riley, P.R.; Winyard, P.J.; Long, D.A. Loss of endogenous thymosin β4 accelerates glomerular disease. Kidney Int. 2016, 90, 1056–1070. [Google Scholar] [CrossRef]
- Herrmann, J.E.; Shah, R.R.; Chan, A.F.; Zheng, B. EphA4 deficient mice maintain astroglial–fibrotic scar formation after spinal cord injury. Exp. Neurol. 2010, 223, 582–598. [Google Scholar] [CrossRef]
- Zhu, S.; Hou, S.; Lu, Y.; Sheng, W.; Cui, Z.; Dong, T.; Feng, H.; Wan, Q. USP36-mediated deubiquitination of DOCK4 contributes to the diabetic renal tubular epithelial cell injury via Wnt/β-catenin signaling pathway. Front. Cell Dev. Biol. 2021, 9, 638477. [Google Scholar] [CrossRef] [PubMed]
- Adeoye, O.; Olawumi, J.; Opeyemi, A.; Christiania, O. Review on the role of glutathione on oxidative stress and infertility. JBRA Assist. Reprod. 2018, 22, 61–66. [Google Scholar] [CrossRef] [PubMed]
- Lu, L.; Pandey, A.K.; Houseal, M.T.; Mulligan, M.K. The genetic architecture of murine glutathione transferases. PLoS ONE 2016, 11, e0148230. [Google Scholar] [CrossRef]
- Arrigo, A.; Regua, A.T.; Najjar, M.K.; Lo, H.-W. Tumor Suppressor Candidate 2 (TUSC2): Discovery, functions, and cancer therapy. Cancers 2023, 15, 2455. [Google Scholar] [CrossRef]
- Zhang, K.; Zhao, Y.; Chen, X.; Li, Y.; Lan, T.; Chang, M.; Wang, W.; Wang, C.; Zhuang, X.; Zhang, B.; et al. p53 promote oxidative stress, neuroinflammation and behavioral disorders via DDIT4-NF-κB signaling pathway. Redox Biol. 2025, 86, 103836. [Google Scholar] [CrossRef]
- Schmitzová, J.; Cretu, C.; Dienemann, C.; Urlaub, H.; Pena, V. Structural basis of catalytic activation in human splicing. Nature 2023, 617, 842–850. [Google Scholar] [CrossRef]
- Baillat, D.; Wagner, E.J. Integrator: Surprisingly diverse functions in gene expression. Trends Biochem. Sci. 2015, 40, 257–264. [Google Scholar] [CrossRef] [PubMed]
- Staněk, D.; Neugebauer, K.M. The Cajal body: A meeting place for spliceosomal snRNPs in the nuclear maze. Chromosoma 2006, 115, 343–354. [Google Scholar] [CrossRef]
- Staněk, D.; Přidalová-Hnilicová, J.; Novotný, I.; Huranová, M.; Blažíková, M.; Wen, X.; Sapra, A.K.; Neugebauer, K.M. Spliceosomal small nuclear ribonucleoprotein particles repeatedly cycle through Cajal bodies. Mol. Biol. Cell 2008, 19, 2534–2543. [Google Scholar] [CrossRef]
- Tapia, O.; Lafarga, V.; Bengoechea, R.; Palanca, A.; Lafarga, M.; Berciano, M.T. The SMN Tudor SIM-like domain is key to SmD1 and coilin interactions and to Cajal body biogenesis. J. Cell Sci. 2014, 127, 939–946. [Google Scholar] [CrossRef]
- Terns, M.P.; Terns, R.M. Macromolecular complexes: SMN—The master assembler. Curr. Biol. 2001, 11, R862–R864. [Google Scholar] [CrossRef]
- Tucker, K.E.; Massello, L.K.; Gao, L.; Barber, T.J.; Hebert, M.D.; Chan, E.K.; Matera, A.G. Structure and characterization of the murine p80 coilin gene. Coil. J. Struct. Biol. 2000, 129, 269–277. [Google Scholar] [CrossRef]
- Turathum, B.; Gao, E.-M.; Chian, R.-C. The function of cumulus cells in oocyte growth and maturation and in subsequent ovulation and fertilization. Cells 2021, 10, 2292. [Google Scholar] [CrossRef]
- Flurkey, K.; Currer, J.M.; Harrison, D.E. The mouse in aging research. In The Mouse in Biomedical Research, 2nd ed.; Fox, J.G., Barthold, S.W., Davisson, M.T., Newcomer, C.E., Quimby, F.W., Smith, A.L., Eds.; American College Laboratory Animal Medicine: Burlington, MA, USA, 2007; pp. 637–672. [Google Scholar]
- Balough, J.L.; Dipali, S.S.; Velez, K.; Kumar, T.R.; Duncan, F.E. Hallmarks of female reproductive aging in physiologic aging mice. Nat. Aging 2024, 4, 1711–1730. [Google Scholar] [CrossRef] [PubMed]
- Hourvitz, A.; Machtinger, R.; Maman, E.; Baum, M.; Dor, J.; Levron, J. Assisted reproduction in women over 40 years of age: How old is too old? Reprod. BioMed. Online 2009, 19, 599–603. [Google Scholar] [CrossRef] [PubMed]
- Kenny, D.T. The impact of maternal age on clinical pregnancy and spontaneous abortion in women undergoing in vitro fertilization and gamete intra-fallopian transfer. Aust. N. Z. J. Obstet. Gynaecol. 1994, 34, 443–448. [Google Scholar] [CrossRef]
- Brasch, K.; Ochs, R.L. Nuclear bodies (NBs): A newly “rediscovered” organelle. Exp. Cell Res. 1992, 202, 211–223. [Google Scholar] [CrossRef] [PubMed]
- Pirrotta, V.; Li, H.-B. A view of nuclear Polycomb bodies. Curr. Opin. Genet. Dev. 2012, 22, 101–109. [Google Scholar] [CrossRef] [PubMed]
- Šmigová, J.; Juda, P.; Cmarko, D.; Raška, I. Fine structure of the “PcG body” in human U-2 OS cells established by correlative light-electron microscopy. Nucleus 2011, 2, 219–228. [Google Scholar] [CrossRef] [PubMed]
- Strzelecka, M.; Trowitzsch, S.; Weber, G.; Lührmann, R.; Oates, A.C.; Neugebauer, K.M. Coilin-dependent snRNP assembly is essential for zebrafish embryogenesis. Nat. Struct. Mol. Biol. 2010, 17, 403–409. [Google Scholar] [CrossRef]
- Heyn, P.; Salmonowicz, H.; Rodenfels, J.; Neugebauer, K.M. Activation of transcription enforces the formation of distinct nuclear bodies in zebrafish embryos. RNA Biol. 2017, 14, 752–760. [Google Scholar] [CrossRef]
- Ma, T.; Van Tine, B.A.; Wei, Y.; Garrett, M.D.; Nelson, D.; Adams, P.D.; Wang, J.; Qin, J.; Chow, L.T.; Harper, J.W. Cell cycle-regulated phosphorylation of p220 (NPAT) by cyclin E/Cdk2 in Cajal bodies promotes histone gene transcription. Genes Dev. 2000, 14, 2298–2313. [Google Scholar] [CrossRef]
- Zhao, J.; Kennedy, B.; Lawrence, B.; Barbie, D.; Matera, A.; Fletcher, J.; Harlow, E. NPAT links cyclin E-Cdk2 to the regulation of replication-dependent histone gene transcription. Genes Dev. 2000, 14, 2283–2297. [Google Scholar] [CrossRef] [PubMed]
- Duronio, R.J.; Marzluff, W.F. Coordinating cell cycle-regulated histone gene expression through assembly and function of the Histone Locus Body. RNA Biol. 2017, 14, 726–738. [Google Scholar] [CrossRef]
- Barcaroli, D.; Dinsdale, D.; Neale, M.H.; Bongiorno-Borbone, L.; Ranalli, M.; Munarriz, E.; Sayan, A.E.; McWilliam, J.M.; Smith, T.M.; Fava, E.; et al. FLASH is an essential component of Cajal bodies. Proc. Natl. Acad. Sci. USA 2006, 103, 14802–14807. [Google Scholar] [CrossRef]
- Schuetz, A.W.; Whittingham, D.G.; Snowden, R. Alterations in the cell cycle of mouse cumulus granulosa cells during expansion and mucification in vivo and in vitro. Reprod. Fertil. Dev. 1996, 8, 935–943. [Google Scholar] [CrossRef]
- Platani, M.; Goldberg, I.; Swedlow, J.R.; Lamond, A.I. In Vivo analysis of Cajal body movement, separation, and joining in live human cells. J. Cell Biol. 2000, 151, 1561–1574. [Google Scholar] [CrossRef]
- Sleeman, J.E.; Lyon, C.E.; Platani, M.; Kreivi, J.-P.; Lamond, A.I. Dynamic interaction between splicing snRNPs, coiled bodies and nucleoli revealed using snRNP protein fusions to the green fluorescent protein. Exp. Cell Res. 1998, 243, 290–304. [Google Scholar] [CrossRef]
- Trinkle-Mulcahy, L.; Sleeman, J.E. The Cajal body and the nucleolus: “In a relationship” or “It’s complicated”? RNA Biol. 2016, 14, 739–751. [Google Scholar] [CrossRef] [PubMed]
- Gilder, A.S.; Do, P.M.; Carrero, Z.I.; Cosman, A.M.; Broome, H.J.; Velma, V.; Martinez, L.A.; Hebert, M.D. Coilin participates in the suppression of RNA polymerase I in response to cisplatin-induced DNA damage. Mol. Biol. Cell 2011, 22, 1070–1079. [Google Scholar] [CrossRef] [PubMed]
- Matera, A.G. Nuclear bodies: Multifaceted subdomains of the interchromatin space. Trends Cell Biol. 1999, 9, 302–309. [Google Scholar] [CrossRef] [PubMed]
- Machyna, M.; Kehr, S.; Straube, K.; Kappei, D.; Buchholz, F.; Butter, F.; Ule, J.; Hertel, J.; Stadler, P.F.; Neugebauer, K.M. The coilin interactome identifies hundreds of small noncoding RNAs that traffic through Cajal bodies. Mol. Cell 2014, 56, 389–399. [Google Scholar] [CrossRef]
- Massenet, S.; Bertrand, E.; Verheggen, C. Assembly and trafficking of box C/D and H/ACA snoRNPs. RNA Biol. 2017, 14, 680–692. [Google Scholar] [CrossRef]
- Quinodoz, S.A.; Jachowicz, J.W.; Bhat, P.; Ollikainen, N.; Banerjee, A.K.; Goronzy, I.N.; Blanco, M.R.; Chovanec, P.; Chow, A.; Markaki, Y.; et al. RNA promotes the formation of spatial compartments in the nucleus. Cell 2021, 184, 5775–5790.e30. [Google Scholar] [CrossRef]
- Sawyer, I.A.; Dundr, M. Nuclear bodies: Built to boost. J. Cell Biol. 2016, 213, 509–511. [Google Scholar] [CrossRef]
- Smith, K.P.; Carter, K.C.; Johnson, C.V.; Lawrence, J.B. U2 and U1 snRNA gene loci associate with coiled bodies. J. Cell. Biochem. 1995, 59, 473–485. [Google Scholar] [CrossRef]
- Jacobs, E.Y.; Frey, M.R.; Wu, W.; Ingledue, T.C.; Gebuhr, T.C.; Gao, L.; Marzluff, W.F.; Matera, A.G. Coiled bodies preferentially associate with U4, U11, and U12 small nuclear RNA genes in interphase HeLa cells but not with U6 and U7 genes. Mol. Biol. Cell 1999, 10, 1653–1663. [Google Scholar] [CrossRef] [PubMed]
- Matera, A.G. Of coiled bodies, gems, and salmon. J. Cell. Biochem. 1998, 70, 181–192. [Google Scholar] [PubMed]
- Frey, M.R.; Bailey, A.D.; Weiner, A.M.; Matera, A.G. Association of snRNA genes with coiled bodies is mediated by nascent snRNA transcripts. Curr. Biol. 1999, 9, 126–135. [Google Scholar] [CrossRef] [PubMed]
- Cadenas, J.; Adrados, C.S.; Kristensen, S.G.; Macklon, K.T.; Greve, V.H.; Fedder, J.; Mamsen, L.S.; Andersen, C.Y. Transcriptional changes in cumulus cells during in vitro maturation of human oocytes. Mol. Reprod. Dev. 2025, 92, e70035. [Google Scholar] [CrossRef]
- Spector, D.L. SnapShot: Cellular bodies. Cell 2006, 127, 1071. [Google Scholar] [CrossRef]
- Malatesta, M.; Zancanaro, C.; Martin, T.E.; Chan, E.K.; Amalric, F.; Lührmann, R.; Vogel, P.; Fakan, S. Is the coiled body involved in nucleolar functions? Exp. Cell Res. 1994, 211, 415–419. [Google Scholar] [CrossRef]
- Biggiogera, M.; Pellicciari, C. Heterogeneous ectopic RNP-derived structures (HERDS) are markers of transcriptional arrest. FASEB J. 2000, 14, 828–834. [Google Scholar] [CrossRef]
- Hirose, T.; Ideue, T.; Nagai, M.; Hagiwara, M.; Shu, M.-D.; Steitz, J.A. A spliceosomal intron binding protein, IBP160, links position-dependent assembly of intron-encoded box C/D snoRNP to pre-mRNA splicing. Mol. Cell 2006, 23, 673–684. [Google Scholar] [CrossRef]
- De, I.; Bessonov, S.; Hofele, R.; dos Santos, K.; Will, C.L.; Urlaub, H.; Lührmann, R.; Pena, V. The RNA helicase Aquarius exhibits structural adaptations mediating its recruitment to spliceosomes. Nat. Struct. Mol. Biol. 2015, 22, 138–144. [Google Scholar] [CrossRef]
- Baillat, D.; Hakimi, M.-A.; Näär, A.M.; Shilatifard, A.; Cooch, N.; Shiekhattar, R. Integrator, a multiprotein mediator of small nuclear RNA processing, associates with the C-terminal repeat of RNA polymerase II. Cell 2005, 123, 265–276. [Google Scholar] [CrossRef]
- Takata, H.; Nishijima, H.; Maeshima, K.; Shibahara, K.I. The integrator complex is required for integrity of Cajal bodies. J. Cell Sci. 2012, 125, 166–175. [Google Scholar] [CrossRef] [PubMed]
- Albrecht, T.R.; Shevtsov, S.P.; Wu, Y.; Mascibroda, L.G.; Peart, N.J.; Huang, K.L.; Sawyer, I.A.; Tong, L.; Dundr, M.; Wagner, E.J. Integrator subunit 4 is a ‘Symplekin-like’ scaffold that associates with INTS9/11 to form the Integrator cleavage module. Nucleic Acids Res. 2018, 46, 4241–4255. [Google Scholar] [CrossRef] [PubMed]
- Winship, A.L.; Stringer, J.M.; Liew, S.H.; Hutt, K.J. The importance of DNA repair for maintaining oocyte quality in response to anti-cancer treatments, environmental toxins and maternal ageing. Hum. Reprod. Update 2018, 24, 119–134. [Google Scholar] [CrossRef] [PubMed]
- Moffatt, O.; Drury, S.; Tomlinson, M.; Afnan, M.; Sakkas, D. The apoptotic profile of human cumulus cells changes with patient age and after exposure to sperm but not in relation to oocyte maturity. Fertil. Steril. 2002, 77, 1006–1011. [Google Scholar] [CrossRef]
- Herencia-Lagunar, E.; Carrera-Bravo, C.; Castano, E.; Sztacho, M. Unveiling the role of biomolecular condensates in cellular function and cancer. Adv. Biol. Regul. 2025, 98, 101105. [Google Scholar] [CrossRef]










Disclaimer/Publisher’s Note: The statements, opinions and data contained in all publications are solely those of the individual author(s) and contributor(s) and not of MDPI and/or the editor(s). MDPI and/or the editor(s) disclaim responsibility for any injury to people or property resulting from any ideas, methods, instructions or products referred to in the content. |
© 2026 by the authors. Licensee MDPI, Basel, Switzerland. This article is an open access article distributed under the terms and conditions of the Creative Commons Attribution (CC BY) license.
Share and Cite
Anisimov, A.S.; Bogolyubov, D.S.; Bogolyubova, I.O. Female Aging Affects Coilin Pattern in Mouse Cumulus Cells. J. Dev. Biol. 2026, 14, 6. https://doi.org/10.3390/jdb14010006
Anisimov AS, Bogolyubov DS, Bogolyubova IO. Female Aging Affects Coilin Pattern in Mouse Cumulus Cells. Journal of Developmental Biology. 2026; 14(1):6. https://doi.org/10.3390/jdb14010006
Chicago/Turabian StyleAnisimov, Alexey S., Dmitry S. Bogolyubov, and Irina O. Bogolyubova. 2026. "Female Aging Affects Coilin Pattern in Mouse Cumulus Cells" Journal of Developmental Biology 14, no. 1: 6. https://doi.org/10.3390/jdb14010006
APA StyleAnisimov, A. S., Bogolyubov, D. S., & Bogolyubova, I. O. (2026). Female Aging Affects Coilin Pattern in Mouse Cumulus Cells. Journal of Developmental Biology, 14(1), 6. https://doi.org/10.3390/jdb14010006

