4 pages, 212 KB  
Editorial
Coastal Wetlands
by Nuria Navarro and Inmaculada Rodríguez-Santalla
J. Mar. Sci. Eng. 2023, 11(4), 767; https://doi.org/10.3390/jmse11040767 - 31 Mar 2023
Cited by 9 | Viewed by 3693
Abstract
Coastal wetlands are valuable and sensitive environments that are among the most productive yet highly threatened systems in the world [...] Full article
(This article belongs to the Special Issue Coastal Wetlands)
16 pages, 3376 KB  
Article
A Fully Coupled Thermo-Hydro-Mechanical-Chemical Model for Methane Hydrate Bearing Sediments Considering the Effect of Ice
by Fanbao Cheng, Xiang Sun, Peng Wu, Zhixiang Chen, Tao Yu, Weiguo Liu, Xin Ju and Yanghui Li
J. Mar. Sci. Eng. 2023, 11(4), 766; https://doi.org/10.3390/jmse11040766 - 31 Mar 2023
Cited by 18 | Viewed by 4068
Abstract
The ice generation is one of the challenges facing the methane hydrate depressurization, which, however, has not been fully addressed by existing numerical models for hydrate-bearing sediments (HBS). In this study, we develop a high-fidelity, fully coupled thermo-hydro-mechanical-chemical numerical model that incorporates the [...] Read more.
The ice generation is one of the challenges facing the methane hydrate depressurization, which, however, has not been fully addressed by existing numerical models for hydrate-bearing sediments (HBS). In this study, we develop a high-fidelity, fully coupled thermo-hydro-mechanical-chemical numerical model that incorporates the effect of ice. The model, developed using COMSOL, takes into account water–ice phase change, thermally induced cryogenic suction and constitutive relation in HBS. It is verified well against the temperature, pressure and cumulative gas production of Masuda’s experiment. The model is then employed to investigate multiphysical responses and gas/water production when ice generation is induced by setting a low outlet pressure. The results reveal that ice forms near the outlet boundary of the specimen center, leading to a reduction in intrinsic permeability and fluid velocity and an increase in the bulk modulus of ice-HBS. This enhanced bulk modulus results in higher porosity under axial load. Although the exothermic effect of ice generation promotes the hydrate dissociation, the effect on cumulative gas production is negligible after the ice melts. A negative correlation between ice saturation and water production rate is observed, indicating that a higher gas–water ratio can be achieved by adjusting the ice duration during hydrate production. The developed coupled model proves to be crucial for understanding the effect of ice on hydrate exploitation. Full article
Show Figures

Figure 1

20 pages, 2910 KB  
Article
An On-Demand Scheduling-Based MAC Protocol for UW-WiFi Networks
by Xiaohe Pan, Jifeng Zhu, Mengzhuo Liu, Xiaoyu Wang, Zheng Peng, Jun Liu and Junhong Cui
J. Mar. Sci. Eng. 2023, 11(4), 765; https://doi.org/10.3390/jmse11040765 - 31 Mar 2023
Cited by 8 | Viewed by 2913
Abstract
Underwater Internet-of-Things (UIoT) is an extension of Internet-of-Things technology in underwater. The underwater acoustic network with WiFi architecture (UW-WiFi), as a specific deployment of UIoT, has been proved to be a promising technique for wide-ranging marine applications. However, due to the unique features [...] Read more.
Underwater Internet-of-Things (UIoT) is an extension of Internet-of-Things technology in underwater. The underwater acoustic network with WiFi architecture (UW-WiFi), as a specific deployment of UIoT, has been proved to be a promising technique for wide-ranging marine applications. However, due to the unique features of underwater acoustic channel, such as long and variable propagation delay, low available bandwidth and high bit error rate, conventional medium access control (MAC) protocols designed for terrestrial WiFi networks need an overhaul to work efficiently for UW-WiFi networks. In consideration of the aforementioned channel features, different demands of nodes to occupy channel resources and the reliability of data transmission, a time sequence-based dynamic on-demand assignment (SDDA) MAC protocol for UW-WiFi networks is proposed in this paper. In SDDA, the collision-free scheduling is integrated with the reservation mechanism, aiming to address the issue of various access requirements of diverse task nodes on channel resources in the UW-WiFi network system. The designed protocol employs propagation delays and the amount of data to be sent by terminal nodes to achieve non-conflict transmissions of control packets and on-demand scheduling of data packets. Additionally, the scheme does not require extra overhead for time synchronization. Comparison simulations demonstrate that SDDA provides considerable benefits in terms of channel utilization, end-to-end delay and packet delivery ratio. At last, the SDDA protocol is implemented and a UW-WiFi network system is set up in the marine environment. The ocean field experiment results agree well with the simulated ones and also verify that the proposed protocol achieve conflict-free on-demand scheduling, fairness among terminal nodes at different ranges and the practicability in actual environments. Full article
(This article belongs to the Special Issue Underwater Wireless Communications: Recent Advances and Challenges)
Show Figures

Figure 1

18 pages, 8363 KB  
Review
Influence of Different Static Equilibrium Calculation Methods on the Dynamic Response of Marine Cables during the Releasing Process: Review and a Case Study
by Dapeng Zhang, Bowen Zhao, Jiyuan Sun, Yi Zhang, Keqiang Zhu and Haoyu Jiang
J. Mar. Sci. Eng. 2023, 11(4), 764; https://doi.org/10.3390/jmse11040764 - 31 Mar 2023
Cited by 10 | Viewed by 4012
Abstract
When analyzing the dynamic characteristics of marine cables, the static equilibrium state must first be calculated; a dynamic analysis can then be carried out based on the static equilibrium. Since the calculation of the static equilibrium is the basis of dynamic calculation, different [...] Read more.
When analyzing the dynamic characteristics of marine cables, the static equilibrium state must first be calculated; a dynamic analysis can then be carried out based on the static equilibrium. Since the calculation of the static equilibrium is the basis of dynamic calculation, different methods for the calculation of the static equilibrium will have important impacts on the dynamic response characteristics of cables, which result in cables having different dynamic characteristics. This paper summarizes the research progress in the effects of different methods for the calculation of the static equilibrium on the dynamic response of marine cables during the releasing process, and current methods for their static calculation are more comprehensively developed as well as being more accurate. To study the influence of different static equilibrium calculation methods, with the reference of some specific parameters of a mooring cable, combined with specific sea conditions, through the necessary simplification of the cable releasing process, based on the lumped mass method, mooring cables are discretized into the lumped mass model, and dynamic analysis models of the releasing process of mooring cables under three methods for the calculation of the static equilibriums (the fast static equilibrium calculation method, the analytic catenary calculation method, and the catenary calculation method) are established. The dynamic characteristics of the spatial configurations of mooring cables based on different static equilibrium calculation methods are obtained through time domain coupling analyses. It was found that if the static equilibrium of a cable is calculated, taking into account gravity, buoyancy, wave current resistance, inertia forces, and the axial stiffness of a cable, then the characteristics of a cable during dynamic descent are closest to that of a real situation. The calculation results have a certain guiding significance for specific engineering practices. Full article
(This article belongs to the Special Issue Young Researchers in Ocean Engineering)
Show Figures

Figure 1

26 pages, 9558 KB  
Article
Ship Anomalous Behavior Detection Using Clustering and Deep Recurrent Neural Network
by Bohan Zhang, Katsutoshi Hirayama, Hongxiang Ren, Delong Wang and Haijiang Li
J. Mar. Sci. Eng. 2023, 11(4), 763; https://doi.org/10.3390/jmse11040763 - 31 Mar 2023
Cited by 45 | Viewed by 8214
Abstract
In this study, we propose a real-time ship anomaly detection method driven by Automatic Identification System (AIS) data. The method uses ship trajectory clustering classes as a normal model and a deep learning algorithm as an anomaly detection tool. The method is divided [...] Read more.
In this study, we propose a real-time ship anomaly detection method driven by Automatic Identification System (AIS) data. The method uses ship trajectory clustering classes as a normal model and a deep learning algorithm as an anomaly detection tool. The method is divided into three main steps: (1) quality maintenance of the original AIS data, (2) extraction of normal ship trajectory clusters using Density-Based Spatial Clustering of Applications with Noise (DBSCAN), in which a segmented improved Dynamic Time Warping (DTW) algorithm is used to measure the degree of trajectory similarity, (3) the clustering results are used as a normative model to train a Bi-directional Gated Recurrent Unit (BiGRU) recurrent neural network, which is used as a trajectory predictor to achieve real-time ship anomaly detection. Experiments were conducted using real AIS data from the port of Tianjin, China. The experimental results are manifold. Firstly, the data pre-processing process effectively improves the quality of raw AIS data. Secondly, the ship trajectory clustering model can accurately classify the traffic flow of different modes in the sea area. Moreover, the trajectory prediction result of the BiGRU model has the smallest error with the actual ship trajectory and has a better trajectory prediction performance compared with the Long Short-Term Memory Network model (LSTM) and Gated Recurrent Unit (GRU). In the final anomaly detection experiment, the detection accuracy and timeliness of the BiGRU model are also higher than LSTM and GRU. Therefore, the proposed method can achieve effective and timely detection of ship anomalous behaviors in terms of position, heading and speed during ship navigation, which provides insight to enhance the intelligence of marine traffic supervision and improve the safety of marine navigation. Full article
(This article belongs to the Special Issue Marine Navigation and Safety at Sea)
Show Figures

Figure 1

29 pages, 1202 KB  
Review
Offshore Fish Farms: A Review of Standards and Guidelines for Design and Analysis
by Yun-Il Chu, Chien-Ming Wang, Hong Zhang, Nagi Abdussamie, Hassan Karampour, Dong-Sheng Jeng, Joerg Baumeister and Per Arild Aland
J. Mar. Sci. Eng. 2023, 11(4), 762; https://doi.org/10.3390/jmse11040762 - 31 Mar 2023
Cited by 21 | Viewed by 9723
Abstract
While moving fish farms to offshore sites can be a more sustainable way to expand farmed fish production, the fish pens have to contend with a harsher environment. Thus, it is necessary to draw on offshore engineering competences for designing and analysing the [...] Read more.
While moving fish farms to offshore sites can be a more sustainable way to expand farmed fish production, the fish pens have to contend with a harsher environment. Thus, it is necessary to draw on offshore engineering competences for designing and analysing the offshore fish farming infrastructure. This paper reviews existing design and analysis guidance from maritime classification and national/international authorities that can be applicable for offshore fish farms. Based on the existing design guidelines, a review of design criteria for offshore fish farms under the following subtopics is provided: design life, design environmental loads, combining environmental loads, and miscellaneous load conditions. This review on the global performance analysis procedures and methods is presented based on practices used for neighbouring industries, such as offshore oil and gas and wind energy production, under the following subtopics: hydrostatic analysis, hydrodynamic analysis, and mooring system analysis with introducing theoretical background and modelling techniques. This paper also highlights limitations and cautions when using these design and analysis methods. Providing this comprehensive information, as well as commentary on their applications, will help engineers and designers to develop offshore fish farming infrastructure with confidence. Full article
(This article belongs to the Special Issue Advances in Offshore Aquaculture and Renewable Energy Production)
Show Figures

Figure 1

17 pages, 5227 KB  
Article
Hybrid Path Planning Using a Bionic-Inspired Optimization Algorithm for Autonomous Underwater Vehicles
by Sarada Prasanna Sahoo, Bikramaditya Das, Bibhuti Bhusan Pati, Fausto Pedro Garcia Marquez and Isaac Segovia Ramirez
J. Mar. Sci. Eng. 2023, 11(4), 761; https://doi.org/10.3390/jmse11040761 - 31 Mar 2023
Cited by 42 | Viewed by 4141
Abstract
This research presents a hybrid approach for path planning of autonomous underwater vehicles (AUVs). During path planning, static obstacles affect the desired path and path distance which result in collision penalties. In this study, the merits of grey wolf optimization (GWO) and genetic [...] Read more.
This research presents a hybrid approach for path planning of autonomous underwater vehicles (AUVs). During path planning, static obstacles affect the desired path and path distance which result in collision penalties. In this study, the merits of grey wolf optimization (GWO) and genetic algorithm (GA) of bionic-inspired algorithms are integrated to implement a hybrid grey wolf optimization (HGWO) algorithm which allows AUVs to reach their destination safely in an obstacle rich environment. The proposed hybrid path planner is employed for path planning of a single AUV based on collision avoidance. It uses the GA as an initialization generator to overcome the random initialization problem of GWO. In this research, the total cost is considered to be a function of path distance and collision penalties. Further, the application of the proposed hybrid path planner is extended for cooperative path planning of AUVs while avoiding collision using communication consensus. Simulation results are obtained for both a single AUV and multiple AUV path planning in a 3D obstacle rich environment using a proportional-derivative controller. The Kruskal–Wallis test is employed for a non-parametric statistical analysis, where the independence of the results given by the algorithms is demonstrated. Full article
(This article belongs to the Special Issue AI for Navigation and Path Planning of Marine Vehicles)
Show Figures

Figure 1

4 pages, 172 KB  
Editorial
The Ice–Ocean Boundary
by Mark Orzech
J. Mar. Sci. Eng. 2023, 11(4), 760; https://doi.org/10.3390/jmse11040760 - 31 Mar 2023
Viewed by 1661
Abstract
The ocean ice layer in polar regions is impacted by a complex and varying range of physical and thermodynamic processes [...] Full article
(This article belongs to the Special Issue The Ice-Ocean Boundary)
18 pages, 3154 KB  
Review
Photogrammetry, from the Land to the Sea and Beyond: A Unifying Approach to Study Terrestrial and Marine Environments
by Torcuato Pulido Mantas, Camilla Roveta, Barbara Calcinai, Cristina Gioia di Camillo, Chiara Gambardella, Chiara Gregorin, Martina Coppari, Teo Marrocco, Stefania Puce, Agnese Riccardi and Carlo Cerrano
J. Mar. Sci. Eng. 2023, 11(4), 759; https://doi.org/10.3390/jmse11040759 - 31 Mar 2023
Cited by 28 | Viewed by 7044
Abstract
The series of technological advances that occurred over the past two decades allowed photogrammetry-based approaches to achieve their actual potential, giving birth to one of the most popular and applied procedures: structure from motion (SfM). The technique expanded rapidly to different environments, from [...] Read more.
The series of technological advances that occurred over the past two decades allowed photogrammetry-based approaches to achieve their actual potential, giving birth to one of the most popular and applied procedures: structure from motion (SfM). The technique expanded rapidly to different environments, from the early ground-based and aerial applications in terrestrial scenarios, to underground and underwater surveys. Nevertheless, the transfer through different media required a period of adaptation that could take anything from years to decades. Only recently, thanks to the emergence of low-cost versatile imaging systems, have airborne and underwater photogrammetry became approachable to a wide range of research budgets, resulting in a popular cost-effective solution for many disciplines. Although numerous review efforts have already been made to resume the current knowledge on photogrammetry, this review summarizes the evolution of the technique in both terrestrial and underwater environments, paying special attention to the transfer of methods and techniques between the two environments. The acquired information helped to identify trends during its development and to highlight the urgency to widen the range of its applications in aquatic habitats in order to fill the current gap of knowledge on their structure and species distribution, delaying the design of proper conservation strategies. Full article
(This article belongs to the Section Physical Oceanography)
Show Figures

Figure 1

19 pages, 4400 KB  
Article
Speed and Fuel Ratio Optimization for a Dual-Fuel Ship to Minimize Its Carbon Emissions and Cost
by You-Chen Shih, Yu-An Tzeng, Chih-Wen Cheng and Chien-Hua Huang
J. Mar. Sci. Eng. 2023, 11(4), 758; https://doi.org/10.3390/jmse11040758 - 31 Mar 2023
Cited by 23 | Viewed by 5461
Abstract
In this study, nondominated sorting genetic algorithm II (NSGA-II) was used to minimize the cost and carbon emissions of a liquefied natural gas (LNG) dual-fuel ship for a given route. This study considered the regulations of emission control areas (ECA) and the European [...] Read more.
In this study, nondominated sorting genetic algorithm II (NSGA-II) was used to minimize the cost and carbon emissions of a liquefied natural gas (LNG) dual-fuel ship for a given route. This study considered the regulations of emission control areas (ECA) and the European Union (EU) Emissions Trading System (ETS) to determine the optimal speed and LNG/oil ratio for the ship. NSGA-II used the arrival time at each port and the LNG usage ratio for each voyage leg as its genes. The time window for arrival, the fuel cost, and potential EU carbon emission regulations were used to estimate the cost of the considered voyage. Moreover, fuel consumption was determined using historical data that were divided by period, machinery, and voyage leg. The results indicated that the optimal speed and fuel ratio could be determined under any given fuel and carbon price profile by using NSGA-II. Finally, the effects of regulations and carbon price differences on the optimal speed and fuel ratio were investigated. The cost minimization solution was susceptible to being affected by the regulations of ECAs and the EU ETS. The speed profile of the cost minimization solution was found to have a tendency to travel at faster-than-average speeds outside ECAs and non-EU regions, and travel slower in ECAs and EU regions. Meanwhile, the selection of fuel type showed that 100% traditional fuel oil in all regions, but with sufficiently high EU carbon permit cost, tends to use 100% LNG in EU regions. Full article
(This article belongs to the Special Issue Energy Efficiency in Marine Vehicles)
Show Figures

Figure 1

20 pages, 3218 KB  
Article
Fuzzy Evaluation of Inland Ship Lock Service Condition Based on Combination Weighting and Matter-Element Extension Cloud Model
by Nini Zhang, Sudong Xu, Liuyan Mao, Meiting Guo, Shuang Tang and Kai Yin
J. Mar. Sci. Eng. 2023, 11(4), 757; https://doi.org/10.3390/jmse11040757 - 31 Mar 2023
Cited by 7 | Viewed by 2338
Abstract
Ship lock as a typical hydraulic structure has become an important node in waterway transportation. Due to the long operating life and high demand of throughput, many locks are under the overloaded operation situation. However, the service condition assessment of ship locks has [...] Read more.
Ship lock as a typical hydraulic structure has become an important node in waterway transportation. Due to the long operating life and high demand of throughput, many locks are under the overloaded operation situation. However, the service condition assessment of ship locks has rarely been directly studied, and there is a lack of an efficient and standardized method owing to the complex structure of the ship lock system. In this paper, a multi-level hierarchical system including 36 indexes was constructed based on the engineering breakdown structure theory. The synthetic weights of indexes were determined by the order relation method and entropy weight method combining subjectivity and objectivity. The extension cloud model combining the extension theory and cloud model was put forward, aiming to deal with the uncertainty of fuzziness and randomness in the evaluation process. Then, two typical locks were investigated, and the numerical scores indicated that their states belong to Level III and Level IV, respectively. The proposed method reveals the structural condition and provides theoretical reference for the maintenance of ship locks, which can be applied with generalizability and operability. Full article
(This article belongs to the Section Ocean Engineering)
Show Figures

Figure 1

21 pages, 5124 KB  
Article
Determination of Current and Future Extreme Sea Levels at the Local Scale in Port-Bouët Bay (Côte d’Ivoire)
by Marcel Kouakou, Frédéric Bonou, Kissao Gnandi, Eric Djagoua, Mouhamed Idrissou and Asaa Abunkudugu
J. Mar. Sci. Eng. 2023, 11(4), 756; https://doi.org/10.3390/jmse11040756 - 31 Mar 2023
Cited by 5 | Viewed by 4865
Abstract
The Port-Bouët Bay shoreline is threatened by extreme sea level (ESL) events, which result from the combination of storm tide, wave run-up, and sea level rise (SLR). This study provides comprehensive scenarios of current and future ESLs at the local scale along the [...] Read more.
The Port-Bouët Bay shoreline is threatened by extreme sea level (ESL) events, which result from the combination of storm tide, wave run-up, and sea level rise (SLR). This study provides comprehensive scenarios of current and future ESLs at the local scale along the bay to understand the evolution of the phenomenon and promote local adaptation. The methodological steps involve first reconstructing historical storm tide and wave run-up data using a hydrodynamic model (D-flow FM) and the empirical model of Stockdon et al. Second, the Generalized Pareto Distribution (GPD) model fitted to the Peaks-Over-Thresholds (POT) method is applied to the data to calculate extreme return levels. Third, we combine the extreme storm tide and wave run-up using the joint probability method to obtain the current ESLs. Finally, the current ESLs are integrated with recent SLR projections to provide future ESL estimates. The results show that the current ESLs are relatively high, with 100-year return levels of 4.37 m ± 0.51, 4.97 m ± 0.57, and 4.48 m ± 0.5 at Vridi, Petit-Bassam, and Sogefiha respectively. By end-century, under the SSP1-2.6, SSP2-4.5, and SSP5-8.5 scenarios, the future SLR is expected to increase the current ESLs by 0.49 m, 0.62 m, and 0.84 m, respectively. This could lead to a more frequent occurrence of the current 100-year return period, happening once every 2 years by 2100, especially under SSP5-8.5. The developed SLR scenarios can be used to assess the potential coastal flood risk in the study area for sustainable and effective coastal management and planning. Full article
(This article belongs to the Special Issue Coastal Risk Prediction, Prevention and Management)
Show Figures

Figure 1

21 pages, 1965 KB  
Article
Risk Assessment of Bauxite Maritime Logistics Based on Improved FMECA and Fuzzy Bayesian Network
by Jiachen Sun, Haiyan Wang and Mengmeng Wang
J. Mar. Sci. Eng. 2023, 11(4), 755; https://doi.org/10.3390/jmse11040755 - 31 Mar 2023
Cited by 13 | Viewed by 3849
Abstract
Because of the many limitations of the traditional failure mode effect and criticality analysis (FMECA), an integrated risk assessment model with improved FMECA, fuzzy Bayesian networks (FBN), and improved evidence reasoning (ER) is proposed. A new risk characterization parameter system is constructed in [...] Read more.
Because of the many limitations of the traditional failure mode effect and criticality analysis (FMECA), an integrated risk assessment model with improved FMECA, fuzzy Bayesian networks (FBN), and improved evidence reasoning (ER) is proposed. A new risk characterization parameter system is constructed in the model. A fuzzy rule base system based on the confidence structure is constructed by combining fuzzy set theory with expert knowledge, and BN reasoning technology is used to realize the importance ranking of the hazard degree of maritime logistics risk events. The improved ER based on weight distribution and matrix analysis can effectively integrate the results of risk event assessment and realize the hazard evaluation of the maritime logistics system from the overall perspective. The effectiveness and feasibility of the model are verified by carrying out a risk assessment on the maritime logistics of importing bauxite to China. The research results show that the priority of risk events in the maritime logistics of bauxite are “pirates or terrorist attacks” and “workers’ riots or strikes” in sequence. In addition, the bauxite maritime logistics system is at a medium- to high-risk level as a whole. The proposed model is expected to provide a systematic risk assessment model and framework for the engineering field. Full article
(This article belongs to the Special Issue Maritime Security and Risk Assessments)
Show Figures

Figure 1

20 pages, 14915 KB  
Article
Bending Deformation and Ultimate Moment Calculation of Screen Pipes in Offshore Sand Control Completion
by Yudan Peng, Guangming Fu, Baojiang Sun, Xiaohui Sun, Jiying Chen and Segen F. Estefen
J. Mar. Sci. Eng. 2023, 11(4), 754; https://doi.org/10.3390/jmse11040754 - 31 Mar 2023
Cited by 6 | Viewed by 3155
Abstract
Horizontal wells, extended-reach wells, and multi-branch wells were often used to exploit subsea oil and gas efficiently. However, during the sand control screen completion of those wells, the sand control screen pipe was easily deformed. Failure occurred when passing through the bending section [...] Read more.
Horizontal wells, extended-reach wells, and multi-branch wells were often used to exploit subsea oil and gas efficiently. However, during the sand control screen completion of those wells, the sand control screen pipe was easily deformed. Failure occurred when passing through the bending section due to the large bending section in the wellbore trajectory. A parametric analysis model of the screen pipe was established based on ABAQUS and Python software under pure bending load first. Then, deformation patterns and mechanisms were identified and discussed. The effects of parameters on the screen pipe bending deformation patterns and the ultimate moment were analyzed. Finally, an empirical formula for calculating the ultimate moment of the screen pipe was established. The results showed that the deformation of the screen pipe was complex, and three deformation patterns were related to the hole parameters. Due to an increase in the diameter and number of circumferential and axial holes, the ultimate moment of the screen pipe gradually decreased, and the circumferential holes had a more significant effect on the ultimate moment than the axial holes. The established empirical formula could accurately calculate the ultimate moment of the screen pipe, and the average difference between the formula and numerical simulation results was 3.25%. Full article
(This article belongs to the Special Issue Subsea Pipelines)
Show Figures

Figure 1

17 pages, 3555 KB  
Article
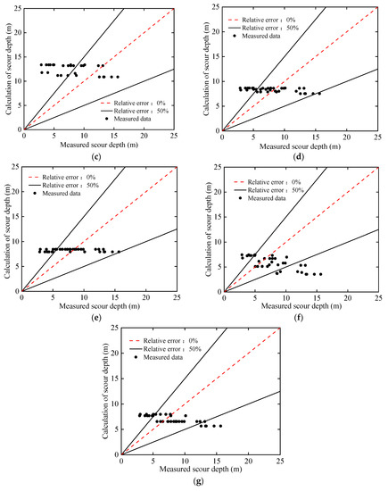
Local Scour Depth Prediction of Offshore Wind Power Monopile Foundation Based on GMDH Method
by Zhiyue Li, Guoliang Dai, Shuo Du, Haoran Ouyang, Tao Hu, Hongbo Liu and Zhongwei Li
J. Mar. Sci. Eng. 2023, 11(4), 753; https://doi.org/10.3390/jmse11040753 - 31 Mar 2023
Cited by 5 | Viewed by 3069
Abstract
In recent years, Chinese offshore wind farms have experienced varying degrees of foundation scour since their completion. The maximum scour depth of pile foundations has far exceeded the design scour depth, which seriously threatens the safety of wind turbines. Among the current scour [...] Read more.
In recent years, Chinese offshore wind farms have experienced varying degrees of foundation scour since their completion. The maximum scour depth of pile foundations has far exceeded the design scour depth, which seriously threatens the safety of wind turbines. Among the current scour depth prediction formulas, the values calculated by the Chinese specification 65-1, 65-2 formula are small and the prediction results are on the dangerous side. The calculated value of the American Hec-18 formula is safe but conservative. The prediction formula of other specifications has a large deviation from the actual situation. Based on the available test data, the main factors influencing the local scour depth of pile foundations, the gauge analysis method, and the group method of data handling (GMDH), this paper proposes a prediction formula for the local scour depth of monopile foundation under the action of wave–current. In addition, monopile scour flume experiments were conducted. Combining the experimental data of the flume test and the scour monitoring data of the Rudong wind farm in Jiangsu, the calculated values of the depth prediction equation in this paper and the Chinese code equation, DNV code equation, HEC-18 equation, Rudolph equation, and Raaijmakers equation were compared and analyzed. The results show that the relative error, mean relative error, variance, and normalized variance between the predicted and measured values of this paper’s formula are smaller than those of other prediction formulas. The formula in this paper has a high calculation accuracy and practical application value. Full article
(This article belongs to the Section Ocean Engineering)
Show Figures

Figure 1