9 pages, 1172 KB  
Article
Antibodies Responses to SARS-CoV-2 in a Large Cohort of Vaccinated Subjects and Seropositive Patients
by Emanuele Amodio, Giuseppina Capra, Alessandra Casuccio, Simona De Grazia, Dario Genovese, Stefano Pizzo, Giuseppe Calamusa, Donatella Ferraro, Giovanni Maurizio Giammanco, Francesco Vitale and Floriana Bonura
Vaccines 2021, 9(7), 714; https://doi.org/10.3390/vaccines9070714 - 1 Jul 2021
Cited by 27 | Viewed by 5663
Abstract
COVID-19 is a current global threat, and the characterization of antibody response is vitally important to update vaccine development and strategies. In this study we assessed SARS-CoV-2 antibody concentrations in SARS-CoV-2 positive patients (N = 272) and subjects vaccinated with the BNT162b2 m-RNA [...] Read more.
COVID-19 is a current global threat, and the characterization of antibody response is vitally important to update vaccine development and strategies. In this study we assessed SARS-CoV-2 antibody concentrations in SARS-CoV-2 positive patients (N = 272) and subjects vaccinated with the BNT162b2 m-RNA COVID-19 vaccine (N = 1256). For each participant, socio-demographic data, COVID-19 vaccination records, serological analyses, and SARS-CoV-2 infection status were collected. IgG antibodies against S1/S2 antigens of SARS-CoV-2 were detected. Almost all vaccinated subjects (99.8%) showed a seropositivity to anti-SARS-COV-2 IgG and more than 80% of vaccinated subjects had IgG concentrations > 200 AU/mL. In a Tobit multivariable regression analysis, SARS-CoV-2 vaccination was statistically significantly associated with increased IgG concentrations (β coef = 266.4; p < 0.001). A statistically significant reduction in SARS-CoV-2 IgG concentrations was found with older age (β coef = −1.96 per year increase; p < 0.001), male sex (β coef = −22.3; p < 0.001), and days after immunization (β coef = −1.67 per day increase; p < 0.001). Our findings could support the vaccination campaigns confirming the high immunogenicity of the SARS-CoV-2 vaccine under investigation with respect to the natural infection. Further studies will be required for evaluating the role of age and days after immunization in the persistence of vaccine antibodies and protection from the disease. Full article
(This article belongs to the Special Issue SARS-CoV-2 Serological Studies around the Globe)
Show Figures

Figure 1

19 pages, 1146 KB  
Review
Healthcare Providers’ Vaccine Perceptions, Hesitancy, and Recommendation to Patients: A Systematic Review
by Cheryl Lin, Jewel Mullen, Danielle Smith, Michaela Kotarba, Samantha J. Kaplan and Pikuei Tu
Vaccines 2021, 9(7), 713; https://doi.org/10.3390/vaccines9070713 - 1 Jul 2021
Cited by 127 | Viewed by 13052
Abstract
Despite vaccines’ effectiveness in reducing the rate of preventable diseases, vaccine hesitancy has threatened public health and economies worldwide. Healthcare providers’ (HCP) communications and behavior strongly influence patient receptivity and uptake. The goal of this review was to examine HCP vaccine perceptions, knowledge, [...] Read more.
Despite vaccines’ effectiveness in reducing the rate of preventable diseases, vaccine hesitancy has threatened public health and economies worldwide. Healthcare providers’ (HCP) communications and behavior strongly influence patient receptivity and uptake. The goal of this review was to examine HCP vaccine perceptions, knowledge, and reservations and how these attitudes affect their recommendations and vaccination practices. Primary research studies published by 16 September 2020 were searched in PubMed, Web of Science, Embase, CINAHL, and PsycINFO. A 14-item scale was developed for survey study and risk of bias appraisal (SSRBA). In total, 96 papers from 34 countries were included, covering 17 vaccines (HPV and influenza vaccines the most studied). Recommendation was positively associated with provider knowledge and experience, beliefs about disease risk, and perceptions of vaccine safety, necessity, and efficacy. HCP vaccination attitudes and practices varied across specialties, vaccines, and countries; demographic impact was inconclusive. Barriers included anticipation of patient/parental concerns or refusal, lacking clear guidelines, time constraints, and cost. For HPV, vaccines were more often recommended to older, female adolescents and by physicians who discussed sexual health. HCPs are vital advocates for patients and the public, but studies indicated a prevalence of provider hesitancy pertaining to inadequate knowledge, low vaccine confidence, and suboptimal uptake themselves. Improving HCP knowledge and assuring their access to information they deem trustworthy are essential to supporting HCPs‘ role as “trusted messengers” to promote vaccine acceptance. Full article
(This article belongs to the Collection Factors Associated with Vaccine Hesitancy)
Show Figures

Figure 1

10 pages, 672 KB  
Article
High Prevalence of Anti-PF4 Antibodies Following ChAdOx1 nCov-19 (AZD1222) Vaccination Even in the Absence of Thrombotic Events
by Evangelos Terpos, Marianna Politou, Ioannis Ntanasis-Stathopoulos, Vangelis Karalis, Efrosyni Merkouri, Despina Fotiou, Maria Gavriatopoulou, Panagiotis Malandrakis, Efstathios Kastritis, Ioannis P. Trougakos and Meletios A. Dimopoulos
Vaccines 2021, 9(7), 712; https://doi.org/10.3390/vaccines9070712 - 1 Jul 2021
Cited by 26 | Viewed by 7932
Abstract
It is unclear whether the ChAdOx1 nCov-19 vaccine can induce the development of anti-PF4 antibodies in vaccinated individuals who have not developed thrombosis. The aim of this prospective study was to evaluate the presence of antibodies against heparin/PF4 in adults who received a [...] Read more.
It is unclear whether the ChAdOx1 nCov-19 vaccine can induce the development of anti-PF4 antibodies in vaccinated individuals who have not developed thrombosis. The aim of this prospective study was to evaluate the presence of antibodies against heparin/PF4 in adults who received a first dose of the ChAdOx1 nCov-19 vaccine, and correlate them with clinical data and antibody responses to the vaccine. We detected non-platelet activating anti-PF4 antibodies in 67% (29/43) of the vaccinated individuals on day 22 following the first dose of the ChAdOx1 nCov-19 vaccine, though these were detected in low titers. Furthermore, there was no correlation between the presence of anti-PF4 IgG antibodies and the baseline clinical characteristics of the patients. Our findings suggest that the ChAdOx1 nCov-19 vaccine can elicit anti-PF4 antibody production even in recipients without a clinical manifestation of thrombosis. The presence of anti-PF4 antibodies was not sufficient to provoke clinically evident thrombosis. Our results offer an important insight into the ongoing investigations regarding the underlying multifactorial pathophysiology of thrombotic events induced by the ChAdOx1 nCov-19 vaccine. Full article
(This article belongs to the Special Issue SARS-CoV-2 Serological Studies around the Globe)
Show Figures

Figure 1

12 pages, 4768 KB  
Review
Bridging the B Cell Gap: Novel Technologies to Study Antigen-Specific Human B Cell Responses
by Henry A. Utset, Jenna J. Guthmiller and Patrick C. Wilson
Vaccines 2021, 9(7), 711; https://doi.org/10.3390/vaccines9070711 - 1 Jul 2021
Cited by 6 | Viewed by 5787
Abstract
The generation of high affinity antibodies is a crucial aspect of immunity induced by vaccination or infection. Investigation into the B cells that produce these antibodies grants key insights into the effectiveness of novel immunogens to induce a lasting protective response against endemic [...] Read more.
The generation of high affinity antibodies is a crucial aspect of immunity induced by vaccination or infection. Investigation into the B cells that produce these antibodies grants key insights into the effectiveness of novel immunogens to induce a lasting protective response against endemic or pandemic pathogens, such as influenza viruses, human immunodeficiency virus, or severe acute respiratory syndrome coronavirus-2. However, humoral immunity has largely been studied at the serological level, limiting our knowledge on the specificity and function of B cells recruited to respond to pathogens. In this review, we cover a number of recent innovations in the field that have increased our ability to connect B cell function to the B cell repertoire and antigen specificity. Moreover, we will highlight recent advances in the development of both ex vivo and in vivo models to study human B cell responses. Together, the technologies highlighted in this review can be used to help design and validate new vaccine designs and platforms. Full article
(This article belongs to the Special Issue Immune Responses to Influenza Virus Antigens)
Show Figures

Figure 1

18 pages, 1379 KB  
Review
Live Viral Vaccine Neurovirulence Screening: Current and Future Models
by Corey May Fulton and Wendy J. Bailey
Vaccines 2021, 9(7), 710; https://doi.org/10.3390/vaccines9070710 - 30 Jun 2021
Cited by 6 | Viewed by 4151
Abstract
Live viral vaccines are one of the most successful methods for controlling viral infections but require strong evidence to indicate that they are properly attenuated. Screening for residual neurovirulence is an important aspect for live viral vaccines against potentially neurovirulent diseases. Approximately half [...] Read more.
Live viral vaccines are one of the most successful methods for controlling viral infections but require strong evidence to indicate that they are properly attenuated. Screening for residual neurovirulence is an important aspect for live viral vaccines against potentially neurovirulent diseases. Approximately half of all emerging viral diseases have neurological effects, so testing of future vaccines will need to be rapid and accurate. The current method, the monkey neurovirulence test (MNVT), shows limited translatability for human diseases and does not account for different viral pathogenic mechanisms. This review discusses the MNVT and potential alternative models, including in vivo and in vitro methods. The advantages and disadvantages of these methods are discussed, and there are promising data indicating high levels of translatability. There is a need to investigate these models more thoroughly and to devise more accurate and rapid alternatives to the MNVT. Full article
(This article belongs to the Special Issue Vaccines for Infectious and Chronic Diseases)
Show Figures

Figure 1

11 pages, 655 KB  
Article
Influenza Vaccination Coverage and Intention to Receive Hypothetical Ebola and COVID-19 Vaccines among Medical Students
by Ewa Talarek, Joanna Warzecha, Marcin Banasiuk and Aleksandra Banaszkiewicz
Vaccines 2021, 9(7), 709; https://doi.org/10.3390/vaccines9070709 - 30 Jun 2021
Cited by 16 | Viewed by 2965
Abstract
The study aimed to determine influenza vaccine uptake among medical students and their intention to receive a hypothetical Ebola or COVID-19 vaccine. This cross-sectional questionnaire-based study was performed in 2015 and 2020 on 675 medical students at the Medical University of Warsaw, Poland. [...] Read more.
The study aimed to determine influenza vaccine uptake among medical students and their intention to receive a hypothetical Ebola or COVID-19 vaccine. This cross-sectional questionnaire-based study was performed in 2015 and 2020 on 675 medical students at the Medical University of Warsaw, Poland. In 2020, the influenza vaccination coverage was 36.5%, and students were almost five times more likely to be vaccinated than in 2015 (OR = 4.8; 95% CI: 3.1–7.5). In 2020, the survey was conducted during the first university campaign targeted at free influenza vaccinations for all students, as well as during the first lockdown in Poland due to the COVID-19 pandemic. In 2020, clinical students (4th–6th study year) were significantly more often vaccinated than preclinical students (p < 0.001), in contrast to 2015. A majority—67.0% and 94.6%—of students expressed their intention to receive a hypothetical Ebola or COVID-19 vaccine, respectively. Among the medical students, influenza vaccination status was a predictor of the intention to receive a COVID-19 vaccine. Influenza vaccine uptake among medical students has increased significantly, but it is still not optimal; thus, further educational efforts are needed to convince those who are hesitant regarding vaccines. A high number of students reported their intention to receive a COVID-19 vaccine, and it is crucial to support their positive attitude about it. Full article
(This article belongs to the Section Influenza Virus Vaccines)
Show Figures

Figure 1

8 pages, 940 KB  
Communication
Serological Response in Lung Transplant Recipients after Two Doses of SARS-CoV-2 mRNA Vaccines
by Madhusudhanan Narasimhan, Lenin Mahimainathan, Andrew E Clark, Amena Usmani, Jing Cao, Ellen Araj, Fernando Torres, Ravi Sarode, Vaidehi Kaza, Chantale Lacelle and Alagarraju Muthukumar
Vaccines 2021, 9(7), 708; https://doi.org/10.3390/vaccines9070708 - 30 Jun 2021
Cited by 58 | Viewed by 4503
Abstract
Background: Lung-transplant (LT) recipients are at high risk for COVID-19 due to immunosuppression and respiratory tropism of SARS-CoV-2. The information on the effect of COVID-19 mRNA vaccines to elicit immunogenic responses after a two-dose (2D) regimen in LT recipients is sparse. Thus, we [...] Read more.
Background: Lung-transplant (LT) recipients are at high risk for COVID-19 due to immunosuppression and respiratory tropism of SARS-CoV-2. The information on the effect of COVID-19 mRNA vaccines to elicit immunogenic responses after a two-dose (2D) regimen in LT recipients is sparse. Thus, we assessed the effect of Pfizer-BioNTech and Moderna mRNA vaccines’ 2D regimen on anti-spike responses in immunocompromised LT recipients. Methods: We utilized serum samples from LT recipients vaccinated for SARS-CoV-2 with 2D of either the Pfizer-BioNTech or Moderna vaccines and 2D-vaccinated naïve (non-transplanted and non-exposed to COVID-19) group. Antibody responses were assessed using the FDA-approved SARS-CoV-2 anti-nucleocapsid protein IgG assay (IgGNC), the SARS-CoV-2 anti-spike protein IgM assay (IgMSP), and the SARS-CoV-2 anti-spike protein IgG II assay (IgGSP). CD4+ T-cell activity was assessed as a marker of immune competence using the ImmuKnow® assay. Results: About 25% (18/73) of SARS-CoV-2 uninfected-LT patients generated a positive spike-IgG response following 2D of vaccines, with 36% (9/25) in the Moderna cohort and only 19% (9/48) in the Pfizer cohort. 2D in LT patients elicited a significantly lesser median IgGSP response (1.7 AU/mL, 95% CI: 0.6–7.5 AU/mL) compared to non-transplanted, uninfected naïve subjects (14,209 AU/mL, 95% CI: 11,261–18,836 AU/mL; p < 0.0001). In LT patients, the Moderna-evoked seropositivity trend was higher than Pfizer. Conclusion: 2D COVID-19 vaccination elicits a dampened serological response in LT patients. Whether assessing other arms of host immunity combined with a higher vaccine dose can better capture and elicit improved immunogenicity in this immunocompromised population warrants investigation. Full article
(This article belongs to the Collection COVID-19 Vaccine Development and Vaccination)
Show Figures

Figure 1

15 pages, 273 KB  
Article
Type 1 Diabetes Patients’ Practice, Knowledge and Attitudes towards Influenza Immunization
by Giulia Dallagiacoma, Agnese Allora, Stefano Salvati, Giulia Cocciolo, Michele Capraro, Anna Lamberti, Sabrina Senatore, Leandro Gentile, Vincenza Gianfredi, Andrea Laurenzi, Chiara Molinari, Amelia Caretto, Marino Faccini, Carlo Signorelli, Marina Scavini and Anna Odone
Vaccines 2021, 9(7), 707; https://doi.org/10.3390/vaccines9070707 - 29 Jun 2021
Cited by 8 | Viewed by 2746
Abstract
Diabetic patients are at higher risk of developing infectious diseases and severe complications, compared to the general population. Almost no data is available in the literature on influenza immunization in people with type 1 diabetes mellitus (T1DM). As part of a broader project [...] Read more.
Diabetic patients are at higher risk of developing infectious diseases and severe complications, compared to the general population. Almost no data is available in the literature on influenza immunization in people with type 1 diabetes mellitus (T1DM). As part of a broader project on immunization in diabetic patients, we conducted a cross-sectional study to: (i) report on seasonal influenza coverage rates in T1DM patients, (ii) explore knowledge, attitudes, and practices (KAPs) towards seasonal influenza in this population, and (iii) identify factors associated with vaccine uptake, including the role of family doctors and diabetologists. A survey was administered to 251 T1DM patients attending the Diabetes Clinic at San Raffaele Research Hospital in Milan, Italy and individual-level coverage data were retrieved from immunization registries. Self-reported seasonal influenza immunization coverage was 36%, which decreased to 21.7% when considering regional immunization registries, far below coverage target of 75%. More than a third (36.2%) of T1DM patients were classified as pro-vaccine, 30.7% as hesitant, 17.9% as uninformed, and 15.1% as anti-vaccine. Diabetologists resulted to be the most trusted source of information on vaccines’ benefits and risks (85.3%) and should be more actively involved in preventive interventions. Our study highlights the importance of developing tailored vaccination campaigns for people with diabetes, including hospital-based programs involving diabetes specialists. Full article
17 pages, 882 KB  
Article
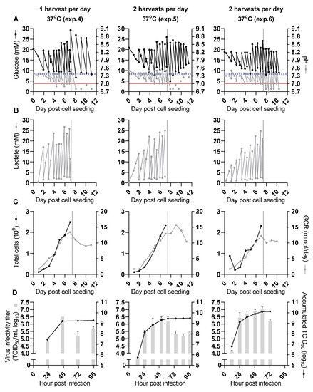
SARS-CoV-2 Production in a Scalable High Cell Density Bioreactor
by Anna Offersgaard, Carlos Rene Duarte Hernandez, Anne Finne Pihl, Rui Costa, Nandini Prabhakar Venkatesan, Xiangliang Lin, Long Van Pham, Shan Feng, Ulrik Fahnøe, Troels Kasper Høyer Scheel, Santseharay Ramirez, Udo Reichl, Jens Bukh, Yvonne Genzel and Judith Margarete Gottwein
Vaccines 2021, 9(7), 706; https://doi.org/10.3390/vaccines9070706 - 29 Jun 2021
Cited by 21 | Viewed by 6780
Abstract
The severe acute respiratory syndrome coronavirus 2 (SARS-CoV-2) pandemic has demonstrated the value of pursuing different vaccine strategies. Vaccines based on whole viruses, a widely used vaccine technology, depend on efficient virus production. This study aimed to establish SARS-CoV-2 production in the scalable [...] Read more.
The severe acute respiratory syndrome coronavirus 2 (SARS-CoV-2) pandemic has demonstrated the value of pursuing different vaccine strategies. Vaccines based on whole viruses, a widely used vaccine technology, depend on efficient virus production. This study aimed to establish SARS-CoV-2 production in the scalable packed-bed CelCradleTM 500-AP bioreactor. CelCradleTM 500-AP bottles with 0.5 L working volume and 5.5 g BioNOC™ II carriers were seeded with 1.5 × 108 Vero (WHO) cells, approved for vaccine production, in animal component-free medium and infected at a multiplicity of infection of 0.006 at a total cell number of 2.2–2.5 × 109 cells/bottle seven days post cell seeding. Among several tested conditions, two harvests per day and a virus production temperature of 33 °C resulted in the highest virus yield with a peak SARS-CoV-2 infectivity titer of 7.3 log10 50% tissue culture infectious dose (TCID50)/mL at 72 h post-infection. Six harvests had titers of ≥6.5 log10 TCID50/mL, and a total of 10.5 log10 TCID50 were produced in ~5 L. While trypsin was reported to enhance virus spread in cell culture, addition of 0.5% recombinant trypsin after infection did not improve virus yields. Overall, we demonstrated successful animal component-free production of SARS-CoV-2 in well-characterized Vero (WHO) cells in a scalable packed-bed bioreactor. Full article
(This article belongs to the Section COVID-19 Vaccines and Vaccination)
Show Figures

Figure 1

1 pages, 137 KB  
Expression of Concern
Expression of Concern: Walach et al. The Safety of COVID-19 Vaccinations—We Should Rethink the Policy. Vaccines 2021, 9, 693
by Vaccines Editorial Office
Vaccines 2021, 9(7), 705; https://doi.org/10.3390/vaccines9070705 - 28 Jun 2021
Cited by 2 | Viewed by 68282
Abstract
The journal is issuing this expression of concern to alert readers to significant concerns regarding the paper cited above [...] Full article
10 pages, 259 KB  
Article
Real-World Acceptance of COVID-19 Vaccines among Healthcare Workers in Perinatal Medicine in China
by Biyun Xu, Xuelian Gao, Xinyue Zhang, Yali Hu, Huixia Yang and Yi-Hua Zhou
Vaccines 2021, 9(7), 704; https://doi.org/10.3390/vaccines9070704 - 27 Jun 2021
Cited by 32 | Viewed by 4294
Abstract
Surveys showed that vaccine hesitancy may influence the acceptance of COVID-19 vaccines in healthcare workers (HCWs) and the general population. Currently, the actual acceptance of COVID-19 vaccination in HCWs has rarely been reported. In the present survey, we investigated the real-world acceptance of [...] Read more.
Surveys showed that vaccine hesitancy may influence the acceptance of COVID-19 vaccines in healthcare workers (HCWs) and the general population. Currently, the actual acceptance of COVID-19 vaccination in HCWs has rarely been reported. In the present survey, we investigated the real-world acceptance of COVID-19 vaccination in HCWs in perinatal medicine during the first three-month period of vaccination in China and to identify the main reason for the decline of vaccination. HCWs (1087) who participated in a Chinese national symposium on perinatal medicine during 16–18 April 2021 were invited to answer a 27-question questionnaire online. A total of 1051 HCWs completed the questionnaire. Of them, 86.2% (906/1051) accepted the COVID-19 vaccination and 13.8% (145/1051) declined the vaccination. Because of the vaccine hesitancy, one-fourth of the vaccinated participants did not accept the vaccination until consulted with others or requested by employers. The main reason for the decline of vaccination in 145 unvaccinated HCWs was the concern about vaccine safety. The results indicate that vaccination request by employers may promote vaccine acceptance. More convincing data on the safety of COVID-19 vaccines appears to be important to increase the acceptance of vaccination. Full article
(This article belongs to the Section COVID-19 Vaccines and Vaccination)
21 pages, 5775 KB  
Article
Development of a Novel Live Attenuated Influenza A Virus Vaccine Encoding the IgA-Inducing Protein
by C. Joaquín Cáceres, Stivalis Cardenas-Garcia, Aarti Jain, L. Claire Gay, Silvia Carnaccini, Brittany Seibert, Lucas M. Ferreri, Ginger Geiger, Algimantas Jasinskas, Rie Nakajima, Daniela S. Rajao, Irina Isakova-Sivak, Larisa Rudenko, Amy L. Vincent, D. Huw Davies and Daniel R. Perez
Vaccines 2021, 9(7), 703; https://doi.org/10.3390/vaccines9070703 - 27 Jun 2021
Cited by 10 | Viewed by 3863
Abstract
Live attenuated influenza virus (LAIV) vaccines elicit a combination of systemic and mucosal immunity by mimicking a natural infection. To further enhance protective mucosal responses, we incorporated the gene encoding the IgA-inducing protein (IGIP) into the LAIV genomes of the cold-adapted A/Leningrad/134/17/57 (H2N2) [...] Read more.
Live attenuated influenza virus (LAIV) vaccines elicit a combination of systemic and mucosal immunity by mimicking a natural infection. To further enhance protective mucosal responses, we incorporated the gene encoding the IgA-inducing protein (IGIP) into the LAIV genomes of the cold-adapted A/Leningrad/134/17/57 (H2N2) strain (caLen) and the experimental attenuated backbone A/turkey/Ohio/313053/04 (H3N2) (OH/04att). Incorporation of IGIP into the caLen background led to a virus that grew poorly in prototypical substrates. In contrast, IGIP in the OH/04att background (IGIP-H1att) virus grew to titers comparable to the isogenic backbone H1att (H1N1) without IGIP. IGIP-H1att- and H1caLen-vaccinated mice were protected against lethal challenge with a homologous virus. The IGIP-H1att vaccine generated robust serum HAI responses in naïve mice against the homologous virus, equal or better than those obtained with the H1caLen vaccine. Analyses of IgG and IgA responses using a protein microarray revealed qualitative differences in humoral and mucosal responses between vaccine groups. Overall, serum and bronchoalveolar lavage samples from the IGIP-H1att group showed trends towards increased stimulation of IgG and IgA responses compared to H1caLen samples. In summary, the introduction of genes encoding immunomodulatory functions into a candidate LAIV can serve as natural adjuvants to improve overall vaccine safety and efficacy. Full article
(This article belongs to the Special Issue Progress on Seasonal and Pandemic Influenza Vaccines)
Show Figures

Figure 1

27 pages, 8879 KB  
Article
Multi-Subunit SARS-CoV-2 Vaccine Design Using Evolutionarily Conserved T- and B- Cell Epitopes
by Burkitkan Akbay, Syed Hani Abidi, Mahmoud A. A. Ibrahim, Zhussipbek Mukhatayev and Syed Ali
Vaccines 2021, 9(7), 702; https://doi.org/10.3390/vaccines9070702 - 26 Jun 2021
Cited by 12 | Viewed by 4750
Abstract
The SARS-CoV-2 pandemic has created a public health crisis worldwide. Although vaccines against the virus are efficiently being rolled out, they are proving to be ineffective against certain emerging SARS-CoV-2 variants. The high degree of sequence similarity between SARS-CoV-2 and other human coronaviruses [...] Read more.
The SARS-CoV-2 pandemic has created a public health crisis worldwide. Although vaccines against the virus are efficiently being rolled out, they are proving to be ineffective against certain emerging SARS-CoV-2 variants. The high degree of sequence similarity between SARS-CoV-2 and other human coronaviruses (HCoV) presents the opportunity for designing vaccines that may offer protection against SARS-CoV-2 and its emerging variants, with cross-protection against other HCoVs. In this study, we performed bioinformatics analyses to identify T and B cell epitopes originating from spike, membrane, nucleocapsid, and envelope protein sequences found to be evolutionarily conserved among seven major HCoVs. Evolutionary conservation of these epitopes indicates that they may have critical roles in viral fitness and are, therefore, unlikely to mutate during viral replication thus making such epitopes attractive candidates for a vaccine. Our designed vaccine construct comprises of twelve T and six B cell epitopes that are conserved among HCoVs. The vaccine is predicted to be soluble in water, stable, have a relatively long half-life, and exhibit low allergenicity and toxicity. Our docking results showed that the vaccine forms stable complex with toll-like receptor 4, while the immune simulations predicted that the vaccine may elicit strong IgG, IgM, and cytotoxic T cell responses. Therefore, from multiple perspectives, our multi-subunit vaccine design shows the potential to elicit a strong immune-protective response against SARS-CoV-2 and its emerging variants while carrying minimal risk for causing adverse effects. Full article
(This article belongs to the Special Issue New Vaccine Technologies and Approaches 2.0)
Show Figures

Figure 1

20 pages, 3097 KB  
Article
Psychological Determinants of COVID-19 Vaccine Acceptance among Healthcare Workers in Kuwait: A Cross-Sectional Study Using the 5C and Vaccine Conspiracy Beliefs Scales
by Mariam Al-Sanafi and Malik Sallam
Vaccines 2021, 9(7), 701; https://doi.org/10.3390/vaccines9070701 - 25 Jun 2021
Cited by 120 | Viewed by 15476
Abstract
Acceptance of coronavirus disease 2019 (COVID-19) vaccination appears as a decisive factor necessary to control the ongoing pandemic. Healthcare workers (HCWs) are among the highest risk groups for infection. The current study aimed to evaluate COVID-19 vaccine acceptance among HCWs in Kuwait, with [...] Read more.
Acceptance of coronavirus disease 2019 (COVID-19) vaccination appears as a decisive factor necessary to control the ongoing pandemic. Healthcare workers (HCWs) are among the highest risk groups for infection. The current study aimed to evaluate COVID-19 vaccine acceptance among HCWs in Kuwait, with identification of the psychological determinants of COVID-19 vaccine hesitancy. The study was conducted using an online anonymous survey distributed between 18 March 2021 and 29 March 2021. The sampling strategy was convenience-based depending on chain-referral sampling. Psychological determinants of COVID-19 vaccine acceptance were assessed using the 5C subscales and the Vaccine Conspiracy Beliefs Scale (VCBS). The total number of study participants was 1019, with the largest group being physicians (28.7%), pharmacists (20.2%), dentists (16.7%), and nurses (12.5%). The overall rate for COVID-19 vaccine acceptance was 83.3%, with 9.0% who were not willing to accept vaccination and 7.7% who were unsure. The highest rate for COVID-19 vaccine acceptance was seen among dentists (91.2%) and physicians (90.4%), while the lowest rate was seen among nurses (70.1%; p < 0.001). A higher level of COVID-19 vaccine hesitancy was found among females, participants with a lower educational level, and HCWs in the private sector. A preference for mRNA vaccine technology and Pfizer-BioNTech COVID-19 vaccine was found among the majority of participants (62.6% and 69.7%, respectively). COVID-19 vaccine hesitancy was significantly linked to the embrace of vaccine conspiracy beliefs. The highest 5C psychological predictors of COVID-19 vaccine acceptance were high levels of collective responsibility and confidence, and lower levels of constraints and calculation. The VCBS and 5C subscales (except the calculation subscale) showed acceptable levels of predicting COVID-19 vaccine acceptance based on receiver operating characteristic analyses. The participants who depended on social media platforms, TV programs, and news releases as their main sources of knowledge about COVID-19 vaccines showed higher rates of COVID-19 vaccine hesitancy. An overall satisfactory level of COVID-19 vaccine acceptance was seen among HCWs in Kuwait, which was among the highest rates reported globally. However; higher levels of vaccine hesitancy were observed among certain groups (females, nurses and laboratory workers, HCWs in the private sector), which should be targeted with more focused awareness programs. HCWs in Kuwait can play a central role in educating their patients and the general public about the benefits of COVID-19 vaccination to halt the spread of SARS-CoV-2, considering the high rates of vaccine hesitancy observed among the general public in Kuwait and the Middle East. Full article
(This article belongs to the Collection Factors Associated with Vaccine Hesitancy)
Show Figures

Figure 1

14 pages, 3184 KB  
Article
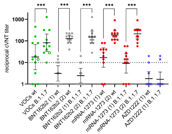
Development of SARS-CoV-2 Specific IgG and Virus-Neutralizing Antibodies after Infection with Variants of Concern or Vaccination
by Franziska Neumann, Ruben Rose, Janine Römpke, Olaf Grobe, Thomas Lorentz, Helmut Fickenscher and Andi Krumbholz
Vaccines 2021, 9(7), 700; https://doi.org/10.3390/vaccines9070700 - 25 Jun 2021
Cited by 25 | Viewed by 6811
Abstract
The humoral immunity after SARS-CoV-2 infection or vaccination was examined. Convalescent sera after infection with variants of concern (VOCs: B.1.1.7, n = 10; B.1.351, n = 1) and sera from 100 vaccinees (Pfizer/BioNTech, BNT162b2, n = 33; Moderna, mRNA-1273, n = 11; AstraZeneca, [...] Read more.
The humoral immunity after SARS-CoV-2 infection or vaccination was examined. Convalescent sera after infection with variants of concern (VOCs: B.1.1.7, n = 10; B.1.351, n = 1) and sera from 100 vaccinees (Pfizer/BioNTech, BNT162b2, n = 33; Moderna, mRNA-1273, n = 11; AstraZeneca, ChAdOx1 nCoV-19/AZD1222, n = 56) were tested for the presence of immunoglobulin G (IgG) directed against the viral spike (S)-protein, its receptor-binding domain (RBD), the nucleoprotein (N) and for virus-neutralizing antibodies (VNA). For the latter, surrogate assays (sVNT) and a Vero-cell based neutralization test (cVNT) were used. Maturity of IgG was determined by measuring the avidity in an immunoblot (IB). Past VOC infection resulted in a broad reactivity of anti-S IgG (100%), anti-RBD IgG (100%), and anti-N IgG (91%), while latter were absent in 99% of vaccinees. Starting approximately two weeks after the first vaccine dose, anti-S IgG (75–100%) and particularly anti-RBD IgG (98–100%) were detectable. After the second dose, their titers increased and were higher than in the convalescents. The sVNT showed evidence of VNA in 91% of convalescents and in 80–100%/100% after first/second vaccine dose, respectively. After the second dose, an increase in VNA titer and IgGs of high avidity were demonstrated by cVNT and IB, respectively. Re-vaccination contributes to a more robust immune response. Full article
Show Figures

Figure 1