Estimation of Gaze Detection Accuracy Using the Calibration Information-Based Fuzzy System
Abstract
:1. Introduction
- The Euclidean distance is calculated between the user’s calculated gaze and the reference positions obtained during the user calibration. Then, the mean and standard deviations of the Euclidean distances are extracted as the first and second features, respectively. In addition, the change in gaze position for each frame, which is obtained during the user calibration, is extracted as the third feature.
- Developing a fuzzy system that takes these three features as inputs and the accuracy of the final gaze tracking system as an output, the accuracy of the final gaze tracking system is estimated based on the results obtained during the user calibration.
- The validity of the proposed fuzzy-based estimation system is verified experimentally using various types of markers such as static and dynamic markers, and various types of marker displays such as sequential, random, and guiding displays.
| Categories | Method | Advantage | Disadvantage | |
|---|---|---|---|---|
| Not using the estimation model of gaze tracking accuracy | Not conducting a user calibration | Requiring two stereo cameras and five light sources [8] | User convenience increases because of no calibration process | Due to two cameras and multiple illuminators, the system complexity increases, as do the price and system size |
| Calibration using static markers | Calibration by selecting five or nine points [9] | As the number of calibration points increases, the gaze tracking accuracy becomes more accurate | Decrease in user convenience | |
| Nine calibration points [10,11,12,13,14] | Gaze tracking accuracy is affected by the accurate calibration procedure | |||
| One point calibration [15] | ||||
| Four point calibration [16,17] | ||||
| Calibration using dynamic markers and display | Calibration by following a moving target with the eyes [18] | Prevents an inaccurate calibration because the user’s concentration is high compared to the use of static markers | When the movement line of the calibration marker is so complex that it cannot be predicted by the user, the calibration accuracy decreases | |
| When the movements are complex, the user convenience decreases | ||||
| Using the estimation model of gaze tracking accuracy | Gaze tracking accuracy can be estimated using fuzzy system based on the user calibration information from various calibration methods using static, dynamic markers and display | The performance of gaze tracking system can be quantitatively predicted for various calibration markers and display methods | The design of an additional fuzzy rule table and the membership function is necessary | |
| (proposed method) | ||||
2. Proposed Method for Estimating the Accuracy of Gaze Tracking System
2.1. Detection of User’s Pupil Center and Corneal Specular Reflection, and Calculation of Gaze Position
2.1.1. Pupil Center Region Detection Process

2.1.2. Calculating the User’s Gaze Position




2.2. User’s Gaze Tracking Estimation Using a Fuzzy System
2.2.1. Three Features for the Inputs of Fuzzy System, and Fuzzy Membership Function with Rule Table



| Feature 1 | Feature 2 | Feature 3 | Output |
|---|---|---|---|
| L | L | L | L |
| H | L | ||
| H | L | L | |
| H | M | ||
| H | L | L | M |
| H | H | ||
| H | L | H | |
| H | H |
2.2.2. Obtaining the Output of Fuzzy System Using Defuzzification Methods


3. Experiment Results and Discussion

3.1. Various Calibration Marker Types and Display Methods




3.2. Calibration Results and Gaze Detection Accuracy


3.3. Estimation Analysis of Fuzzy Algorithm for User Gaze Tracking Accuracy Using Calibration Information




| Display Method | Seq. | Rand. | Moving | Seq. | Rand. | Seq. | Rand. | ||
|---|---|---|---|---|---|---|---|---|---|
| Marker Type | Cross | Cross | Circle | Gradation | Gradation | Circle | |||
| Real Gaze Error (°) | 0.6363 | 0.6742 | 0.684 | 0.7527 | 0.7697 | 0.8371 | 0.8498 | ||
| Fuzzy system | Min rule | FOM | 0.255 | 0.2299 | 0.3918 | 0.3708 | 0.4461 | 0.4408 | 0.1399 |
| MOM | 0.255 | 0.2768 | 0.4086 | 0.4332 | 0.2763 | 0.3271 | 0.1488 | ||
| LOM | 0.255 | 0.3237 | 0.4254 | 0.4957 | 0.3422 | 0.3143 | 0.1576 | ||
| MeOM | 0.1948 | 0.1991 | 0.2622 | 0.2671 | 0.5737 | 0.5796 | 0.1259 | ||
| COG | 0.3764 | 0.4177 | 0.4688 | 0.4859 | 0.3018 | 0.7411 | 0.3198 | ||
| Max rule | FOM | 0.1107 | 0.1231 | 0.1451 | 0.1106 | 0.4438 | 0.2446 | 0.0931 | |
| MOM | 0.5357 | 0.5278 | 0.5032 | 0.5224 | 0.4165 | 0.4518 | 0.4136 | ||
| LOM | 0.9607 | 0.9324 | 0.8613 | 0.9341 | 0.2692 | 0.2854 | 0.7341 | ||
| MeOM | 0.3122 | 0.3032 | 0.3124 | 0.3201 | 0.464 | 0.6109 | 0.2228 | ||
| COG | 0.5002 | 0.5002 | 0.4991 | 0.5002 | 0.5006 | 0.3433 | 0.4988 | ||
| Method | Correlation Value | Gradient | R2 | ||
|---|---|---|---|---|---|
| Fuzzy system | Min rule | FOM | 0.1093 | 0.5177 | 0.068 |
| MOM | 0.1765 | 0.8036 | 0.1307 | ||
| LOM | 0.158 | 0.7269 | 0.1464 | ||
| MeOM | 0.1756 | 0.5775 | 0.0776 | ||
| COG | 0.5184 | 1.5771 | 0.2593 | ||
| Max rule | FOM | −0.1841 | −0.3851 | 0.1827 | |
| MOM | 0.1481 | 0.3375 | 0.0784 | ||
| LOM | 0.0393 | 0.2843 | 0.0078 | ||
| MeOM | 0.1872 | 0.8416 | 0.1558 | ||
| COG | −0.0134 | 0.0848 | 0.0963 | ||



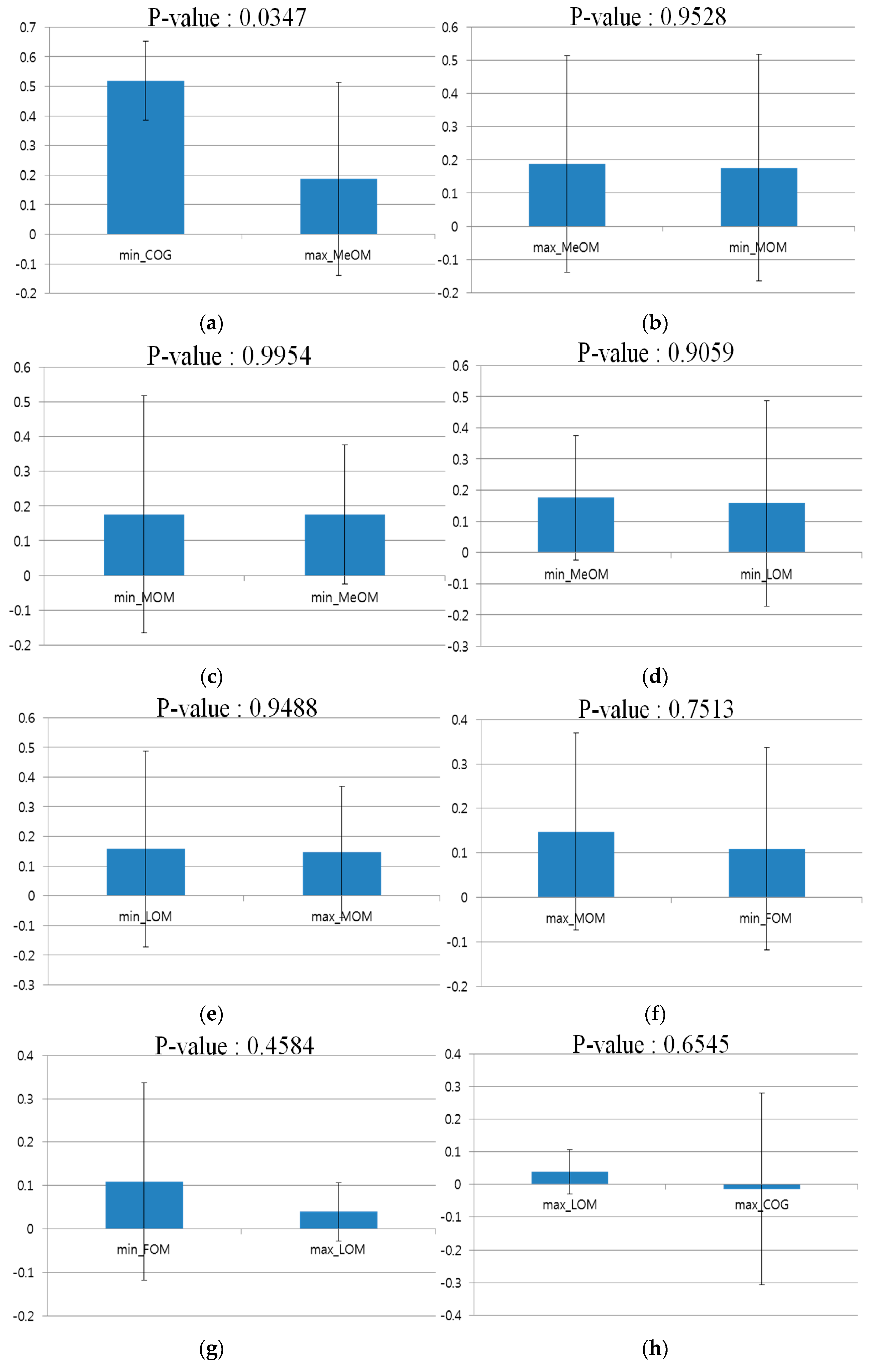
| Defuzzification Methods with Min or Max Rule | p-Value | Cohen’s d | Effect Size |
|---|---|---|---|
| min_COG vs. max_MeOM | 0.0347 | 1.2425 | Large |
| max_MeOM vs. min_MOM | 0.9528 | 0.0301 | Small |
| min_MOM vs. min_MeOM | 0.9954 | 0.003 | Small |
| min_MeOM vs. min_LOM | 0.9059 | 0.0604 | Small |
| min_LOM vs. max_MOM | 0.9488 | 0.0328 | Small |
| max_MOM vs. min_FOM | 0.7513 | 0.1616 | Small |
| min_FOM vs. max_LOM | 0.4584 | 0.3895 | Small |
| max_LOM vs. max_COG | 0.6545 | 0.2324 | Small |
| max_COG vs. max_FOM | 0.355 | 0.4796 | Medium |
4. Conclusions
Acknowledgments
Author Contributions
Conflicts of Interest
References
- Murphy-Chutorian, E.; Trivedi, M.M. Head pose estimation in computer vision: A survey. IEEE Trans. Pattern Anal. Mach. Intell. 2009, 31, 607–626. [Google Scholar] [CrossRef] [PubMed]
- Morimoto, C.H.; Mimica, M.R.M. Eye gaze tracking techniques for interactive applications. Comput. Vis. Image Underst. 2005, 98, 4–24. [Google Scholar] [CrossRef]
- Amarnag, S.; Kumaran, R.S.; Gowdy, J.N. Real time eye tracking for human computer interfaces. In Proceedings of IEEE International Conference on Multimedia and Exposition, Baltimore, MO, USA, 6–9 July 2003; pp. 557–560.
- Jacob, R.J.K. Eye movement-based human-computer interaction techniques: Toward non-command interfaces. In Advances Human-Computer Interaction; Ablex Publishing Co.: Norwood, NJ, USA, 1993; pp. 151–190. [Google Scholar]
- Sibert, L.E.; Jacob, R.J.K. Evaluation of eye gaze interaction. In Proceedings of the SIGCHI Conference on Human Factors in Computing Systems, The Hague, The Netherlands, 1–6 April 2000; pp. 281–288.
- Ohno, T. Quick menu selection task with eye mark. Trans. Inf. Process. Soc. Jpn. 1999, 40, 602–612. [Google Scholar]
- Cho, D.C.; Kim, W.Y. Long-range gaze tracking system for large movements. IEEE Trans. Biomed. Eng. 2013, 60, 3432–3440. [Google Scholar] [CrossRef] [PubMed]
- Model, D.; Eizenman, M. User-calibration-free remote eye-gaze tracking system with extended tracking range. In Proceedings of the 24th Canadian Conference on Electrical and Computer Engineering, Niagara Falls, ON, Canada, 8–11 May 2011; pp. 1268–1271.
- Tobii, X2. Available online: http://www.tobii.com (accessed on 2 July 2015).
- Zhu, Z.; Ji, Q. Novel eye gaze tracking techniques under natural head movement. IEEE Trans. Biomed. Eng. 2007, 54, 2246–2260. [Google Scholar] [PubMed]
- Sigut, J.; Sidha, S.A. Iris center corneal reflection method for gaze tracking using visible light. IEEE Trans. Biomed. Eng. 2011, 58, 411–419. [Google Scholar] [CrossRef] [PubMed]
- Colombo, C.; Bimbo, A.D. Interacting through eyes. Robot. Auton. Syst. 1997, 19, 359–368. [Google Scholar] [CrossRef]
- Morimoto, C.H.; Koons, D.; Amir, A.; Flickner, M.; Zhai, S. Keeping an eye for HCI. In Proceedings of the XII Brazilian Symposium on Computer Graphics and Image Processing, Campinas, Brazil, 17–20 October 1999; pp. 171–176.
- Mimica, M.R.M.; Morimoto, C.H. A computer vision framework for eye gaze tracking. In Proceedings of the XVI Brazilian Symposium on Computer Graphics and Image Processing, São Carlos, Brazil, 12–15 October 2003; pp. 406–412.
- Guestrin, E.D.; Eizenman, M. General theory of remote gaze estimation using the pupil center and corneal reflections. IEEE Trans. Biomed. Eng. 2006, 53, 1124–1133. [Google Scholar] [CrossRef] [PubMed]
- Zhu, J.; Yang, J. Subpixel eye gaze tracking. In Proceedings of IEEE International Conference on Automatic Face and Gesture Recognition, Washington, DC, USA, 20–21 May 2002; pp. 124–129.
- Yoo, D.H.; Chung, M.J. A novel non-intrusive eye gaze estimation using cross-ratio under large head motion. Comput. Vis. Image Underst. 2005, 98, 25–51. [Google Scholar] [CrossRef]
- Pfeuffer, K.; Vidal, M.; Turner, J.; Bulling, A.; Gellersen, H. Pursuit calibration: Making gaze calibration less tedious and more flexible. In Proceedings of the 26th Annual ACM Symposium on User Interface Software and Technology, Andrews, UK, 8–11 October 2013; pp. 261–269.
- Cho, C.W.; Lee, H.C.; Gwon, S.Y.; Lee, J.M.; Jung, D.; Park, K.R.; Kim, H.C.; Cha, J. Binocular gaze detection method using a fuzzy algorithm based on quality measurements. Opt. Eng. 2014, 53. [Google Scholar] [CrossRef]
- Gonzalez, R.C.; Woods, R.E. Digital Image Processing, 2nd ed.; Prentice-Hall: Upper Saddle River, NJ, USA, 2002. [Google Scholar]
- Ding, L.; Goshtasby, A. On the canny edge detector. Pattern Recognit. 2001, 34, 721–725. [Google Scholar] [CrossRef]
- Kirkpatrick, D.G.; Seidel, R. The ultimate planar convex hull algorithm. SIAM J. Comput. 1986, 15, 287–299. [Google Scholar] [CrossRef]
- Lee, H.C.; Lee, W.O.; Cho, C.W.; Gwon, S.Y.; Park, K.R.; Lee, H.; Cha, J. Remote gaze tracking system on a large display. Sensors 2013, 13, 13439–13463. [Google Scholar] [CrossRef] [PubMed]
- Bayu, B.S.; Miura, J. Fuzzy-based illumination normalization for face recognition. In Proceedings of IEEE Workshop on Advanced Robotics and Its Social Impacts, Tokyo, Japan, 7–9 November 2013; pp. 131–136.
- Barua, A.; Mudunuri, L.S.; Kosheleva, O. Why trapezoidal and triangular membership functions work so well: Towards a theoretical explanation. J. Uncertain. Syst. 2014, 8, 164–168. [Google Scholar]
- Zhao, J.; Bose, B.K. Evaluation of membership functions for fuzzy logic controlled induction motor drive. In Proceedings of IEEE 28th Annual Conference of the Industrial Electronics Society, Sevilla, Spain, 5–8 November 2002; pp. 229–234.
- Klir, G.J.; Yuan, B. Fuzzy Sets and Fuzzy Logic-Theory and Applications; Prentice-Hall: Upper Saddle River, NJ, USA, 1995. [Google Scholar]
- Leekwijck, W.V.; Kerre, E.E. Defuzzification: Criteria and classification. Fuzzy Sets Syst. 1999, 108, 159–178. [Google Scholar] [CrossRef]
- Broekhoven, E.V.; Baets, B.D. Fast and accurate center of gravity defuzzification of fuzzy system outputs defined on trapezoidal fuzzy partitions. Fuzzy Sets Syst. 2006, 157, 904–918. [Google Scholar] [CrossRef]
- Kodak Professional High-Speed Infrared Film. Available online: http://www.kodak.com/global/en/professional/support/techPubs/f13/f13.pdf (accessed on 2 July 2015).
- Webcam C600. Available online: https://support.logitech.com/en_us/product/5869 (accessed on 2 July 2015).
- Heo, H.; Lee, W.O.; Shin, K.Y.; Park, K.R. Quantitative Measurement of Eyestrain on 3D Stereoscopic Display Considering the Eye Foveation Model and Edge Information. Sensors 2014, 14, 8577–8604. [Google Scholar] [CrossRef] [PubMed]
- Student’s T-test. Available online: http://en.wikipedia.org/wiki/Student′s_t-test (accessed on 2 July 2015).
- Cohen, J. A power primer. Psychol. Bull. 1992, 112, 155–159. [Google Scholar] [CrossRef] [PubMed]
© 2016 by the authors; licensee MDPI, Basel, Switzerland. This article is an open access article distributed under the terms and conditions of the Creative Commons by Attribution (CC-BY) license (http://creativecommons.org/licenses/by/4.0/).
Share and Cite
Gwon, S.Y.; Jung, D.; Pan, W.; Park, K.R. Estimation of Gaze Detection Accuracy Using the Calibration Information-Based Fuzzy System. Sensors 2016, 16, 60. https://doi.org/10.3390/s16010060
Gwon SY, Jung D, Pan W, Park KR. Estimation of Gaze Detection Accuracy Using the Calibration Information-Based Fuzzy System. Sensors. 2016; 16(1):60. https://doi.org/10.3390/s16010060
Chicago/Turabian StyleGwon, Su Yeong, Dongwook Jung, Weiyuan Pan, and Kang Ryoung Park. 2016. "Estimation of Gaze Detection Accuracy Using the Calibration Information-Based Fuzzy System" Sensors 16, no. 1: 60. https://doi.org/10.3390/s16010060
APA StyleGwon, S. Y., Jung, D., Pan, W., & Park, K. R. (2016). Estimation of Gaze Detection Accuracy Using the Calibration Information-Based Fuzzy System. Sensors, 16(1), 60. https://doi.org/10.3390/s16010060
