23 pages, 1290 KB  
Review
By-Products Revalorization with Non-Thermal Treatments to Enhance Phytochemical Compounds of Fruit and Vegetables Derived Products: A Review
by Marina Cano-Lamadrid and Francisco Artés-Hernández
Foods 2022, 11(1), 59; https://doi.org/10.3390/foods11010059 - 27 Dec 2021
Cited by 72 | Viewed by 8183
Abstract
The aim of this review is to provide comprehensive information about non-thermal technologies applied in fruit and vegetables (F&V) by-products to enhance their phytochemicals and to obtain pectin. Moreover, the potential use of such compounds for food supplementation will also be of particular [...] Read more.
The aim of this review is to provide comprehensive information about non-thermal technologies applied in fruit and vegetables (F&V) by-products to enhance their phytochemicals and to obtain pectin. Moreover, the potential use of such compounds for food supplementation will also be of particular interest as a relevant and sustainable strategy to increase functional properties. The thermal instability of bioactive compounds, which induces a reduction of the content, has led to research and development during recent decades of non-thermal innovative technologies to preserve such nutraceuticals. Therefore, ultrasounds, light stresses, enzyme assisted treatment, fermentation, electro-technologies and high pressure, among others, have been developed and improved. Scientific evidence of F&V by-products application in food, pharmacologic and cosmetic products, and packaging materials were also found. Among food applications, it could be mentioned as enriched minimally processed fruits, beverages and purees fortification, healthier and “clean label” bakery and confectionary products, intelligent food packaging, and edible coatings. Future investigations should be focused on the optimization of ‘green’ non-thermal and sustainable-technologies on the F&V by-products’ key compounds for the full-utilization of raw material in the food industry. Full article
Show Figures

Graphical abstract

20 pages, 863 KB  
Article
Different Effects of Vitamin C-Based Supplements on the Advance of Linseed Oil Component Oxidation and Lipolysis during In Vitro Gastrointestinal Digestion
by Bárbara Nieva-Echevarría, Encarnación Goicoechea, Patricia Sopelana and María D. Guillén
Foods 2022, 11(1), 58; https://doi.org/10.3390/foods11010058 - 27 Dec 2021
Cited by 3 | Viewed by 5869
Abstract
Although widely consumed, dietary supplements based on Vitamin C contain high doses of this compound, whose impact on lipid oxidation during digestion needs to be addressed. Therefore, the effect of seven commercial supplements and of pure l-ascorbic acid and ascorbyl palmitate on [...] Read more.
Although widely consumed, dietary supplements based on Vitamin C contain high doses of this compound, whose impact on lipid oxidation during digestion needs to be addressed. Therefore, the effect of seven commercial supplements and of pure l-ascorbic acid and ascorbyl palmitate on linseed oil during in vitro gastrointestinal digestion was tackled. The advance of lipid oxidation was studied through the generation of oxidation compounds, the degradation of polyunsaturated fatty acyl chains and of gamma-tocopherol, by employing Proton Nuclear Magnetic Resonance. Supplements containing exclusively l-ascorbic acid enhanced the advance of linseed oil oxidation during digestion. This was evidenced by increased formation of linolenic-derived conjugated hydroxy-dienes and alkanals and by the generation of conjugated keto-dienes and reactive alpha,beta-unsaturated aldehydes, such as 4,5-epoxy-2-alkenals; moreover, gamma-tocopherol was completely degraded. Conversely, supplements composed of mixtures of ascorbic acid/salt with citric acid and carotenes, and of ascorbyl palmitate, protected linseed oil against oxidation and reduced gamma-tocopherol degradation. The study through Solid Phase Microextraction-Gas Chromatography/Mass Spectrometry of the volatile compounds of the digests corroborated these findings. Furthermore, a decreased lipid bioaccessibility was noticed in the presence of the highest dose of l-ascorbic acid. Both the chemical form of Vitamin C and the presence of other ingredients in dietary supplements have shown to be of great relevance regarding oxidation and hydrolysis reactions occurring during lipid digestion. Full article
Show Figures

Graphical abstract

13 pages, 6321 KB  
Review
A Review on the Structure and Anti-Diabetic (Type 2) Functions of β-Glucans
by Yujun Wan, Xiaojuan Xu, Robert G. Gilbert and Mitchell A. Sullivan
Foods 2022, 11(1), 57; https://doi.org/10.3390/foods11010057 - 27 Dec 2021
Cited by 18 | Viewed by 5195
Abstract
Type 2 diabetes, a long-term chronic metabolic disease, causes severe and increasing economic and health problems globally. There is growing evidence that β-glucans can function as bioactive macromolecules that help control type 2 diabetes with minimal side effects. However, conflicting conclusions about [...] Read more.
Type 2 diabetes, a long-term chronic metabolic disease, causes severe and increasing economic and health problems globally. There is growing evidence that β-glucans can function as bioactive macromolecules that help control type 2 diabetes with minimal side effects. However, conflicting conclusions about the antidiabetic activities of β-glucans have been published, potentially resulting from incomplete understanding of their precise structural characteristics. This review aims to increase clarity on the structure–function relationships of β-glucans in treating type 2 diabetes by examining detailed structural and conformational features of naturally derived β-glucans, as well as both chemical and instrumental methods used in their characterization, and their underlying anti-diabetic mechanisms. This may help to uncover additional structure and function relationships and to expand applications of β-glucans. Full article
Show Figures

Figure 1

18 pages, 438 KB  
Review
Temporal Change in Iron Content of Vegetables and Legumes in Australia: A Scoping Review
by Erica Eberl, Alice Shimin Li, Zi Yin Joanne Zheng, Judy Cunningham and Anna Rangan
Foods 2022, 11(1), 56; https://doi.org/10.3390/foods11010056 - 27 Dec 2021
Cited by 12 | Viewed by 6043
Abstract
Studies in UK and US have reported a temporal decline in the iron content of plant-based foods. Limited research on this topic has been conducted in Australia. The aim of this scoping review was to provide a comprehensive evaluation on the temporal change [...] Read more.
Studies in UK and US have reported a temporal decline in the iron content of plant-based foods. Limited research on this topic has been conducted in Australia. The aim of this scoping review was to provide a comprehensive evaluation on the temporal change in iron content of Australian vegetables and legumes from 1900 onward. A systematic search of electronic databases, websites, backward reference searching, and Australian food composition tables was conducted. A total of 34 articles and six versions of Australian food composition databases published between 1930s to 2021, were included in this review. Overall, iron content of vegetables and legumes were assessed at limited time points and geographical origin, cultivars, sampling and analytical techniques varied across studies. The majority of vegetables had similar iron content between two or more timepoints but decreases of 30–50% were noted for sweet corn, red-skinned potatoes, cauliflower and green beans while increases of 150–300% were seen for Hass avocadoes, mushrooms and silverbeet. More pronounced reductions in iron content were observed for legumes, with higher and more variable values reported pre-2000 compared to recent years. Due to limited data and variations in sampling and analytical techniques, no definitive conclusions could be established. As plant-based diets are becoming more popular, consistent monitoring of the nutrient composition of staple plant-based foods is strongly recommended. Full article
(This article belongs to the Special Issue Recent Advances in the Biological Functions of Plant-Based Foods)
Show Figures

Figure 1

15 pages, 1867 KB  
Article
Rapid Differentiation of Unfrozen and Frozen-Thawed Tuna with Non-Destructive Methods and Classification Models: Bioelectrical Impedance Analysis (BIA), Near-Infrared Spectroscopy (NIR) and Time Domain Reflectometry (TDR)
by Sonia Nieto-Ortega, Ángela Melado-Herreros, Giuseppe Foti, Idoia Olabarrieta, Graciela Ramilo-Fernández, Carmen Gonzalez Sotelo, Bárbara Teixeira, Amaya Velasco and Rogério Mendes
Foods 2022, 11(1), 55; https://doi.org/10.3390/foods11010055 - 27 Dec 2021
Cited by 12 | Viewed by 4826
Abstract
The performances of three non-destructive sensors, based on different principles, bioelectrical impedance analysis (BIA), near-infrared spectroscopy (NIR) and time domain reflectometry (TDR), were studied to discriminate between unfrozen and frozen-thawed fish. Bigeye tuna (Thunnus obesus) was selected as a model to [...] Read more.
The performances of three non-destructive sensors, based on different principles, bioelectrical impedance analysis (BIA), near-infrared spectroscopy (NIR) and time domain reflectometry (TDR), were studied to discriminate between unfrozen and frozen-thawed fish. Bigeye tuna (Thunnus obesus) was selected as a model to evaluate these technologies. The addition of water and additives is usual in the fish industry, thus, in order to have a wide range of possible commercial conditions, some samples were injected with different water solutions (based on different concentrations of salt, polyphosphates and a protein hydrolysate solution). Three different models, based on partial least squares discriminant analysis (PLS-DA), were developed for each technology. This is a linear classification method that combines the properties of partial least squares (PLS) regression with the classification power of a discriminant technique. The results obtained in the evaluation of the test set were satisfactory for all the sensors, giving NIR the best performance (accuracy = 0.91, error rate = 0.10). Nevertheless, the classification accomplished with BIA and TDR data resulted also satisfactory and almost equally as good, with accuracies of 0.88 and 0.86 and error rates of 0.14 and 0.15, respectively. This work opens new possibilities to discriminate between unfrozen and frozen-thawed fish samples with different non-destructive alternatives, regardless of whether or not they have added water. Full article
Show Figures

Figure 1

21 pages, 2327 KB  
Article
Nanoencapsulation of Mandarin Essential Oil: Fabrication, Characterization, and Storage Stability
by Amer Ali Mahdi, Qais Ali Al-Maqtari, Jalaleldeen Khaleel Mohammed, Waleed Al-Ansi, Sahibzada Muhammad Aqeel, Haiying Cui and Lin Lin
Foods 2022, 11(1), 54; https://doi.org/10.3390/foods11010054 - 27 Dec 2021
Cited by 37 | Viewed by 4396
Abstract
This study evaluates the combined efficiency of whey protein isolate (WPI) with maltodextrin (MD) and gum arabic (GA), as a delivery system for encapsulating Citrus reticulata essential oil (CEO). The wall materials blended at different rates were produced to obtain seven formulations of [...] Read more.
This study evaluates the combined efficiency of whey protein isolate (WPI) with maltodextrin (MD) and gum arabic (GA), as a delivery system for encapsulating Citrus reticulata essential oil (CEO). The wall materials blended at different rates were produced to obtain seven formulations of nanocapsules (NCEO), namely NCEO-GA, NCEO-MD, NCEO-WPI, NCEO-GA/MD, NCEO-GA/WPI, NCEO-MD/WPI, and NCEO-GA/MD/WPI. The interaction between CEO and WPI was simulated by molecular docking. Findings showed that the physicochemical characteristics and storage stability of formulations containing WPI were considerably improved. The NCEO-GA/MD/WPI formulation demonstrated the optimum values of encapsulation efficiency (92.08%), highest glass transition temperature (79.11 °C), high crystallinity (45.58%), high thermal stability (mass loss at 100 °C < 5%), and also had the highest antioxidant activity and lowest peroxide value after storage. This study demonstrated that combining WPI with MD and GA, as wall material encapsulation, can produce nanocapsules with superior properties to those created using polysaccharides individually. Full article
(This article belongs to the Section Food Packaging and Preservation)
Show Figures

Figure 1

16 pages, 932 KB  
Article
Generation Z Young People’s Perception of Sexist Female Stereotypes about the Product Advertising in the Food Industry: Influence on Their Purchase Intention
by Guillermo Bermúdez-González, Eva María Sánchez-Teba, María Dolores Benítez-Márquez and Amanda Montiel-Chamizo
Foods 2022, 11(1), 53; https://doi.org/10.3390/foods11010053 - 27 Dec 2021
Cited by 5 | Viewed by 10038
Abstract
Previous studies have generated important insights into consumer behavior. However, no study has addressed how to persuade young people belonging to Generation Z to increase the purchase intention of food products from a gender perspective. Drawing on ambivalent sexism theory, this paper explores [...] Read more.
Previous studies have generated important insights into consumer behavior. However, no study has addressed how to persuade young people belonging to Generation Z to increase the purchase intention of food products from a gender perspective. Drawing on ambivalent sexism theory, this paper explores the influence of the attitude toward advertising and the ethical judgment to predict consumers’ food product purchase intention. We applied a quantitative method, partial least squares structural equation modeling, to 105 individuals. Two advertisements with different food products and female role stereotype categories are using: (1) women in a traditional role or housewife’s role (benevolent sexism), and (2) women in a decorative role or physical attractiveness (hostile). However, the results show that attitude toward advertising has a direct and positive influence on purchase intention in advertisement with benevolent sexism. In addition, the effect of ethical judgment on consumers’ food product purchase intention is not significant. In the advertisement with hostile sexism, both—attitude toward advertising and ethical judgment—directly and positively impact purchase intention. The study provides a novelty conceptual model in the food industry for Generation Z and recommendations on the use of female sexist stereotypes in food and beverage advertising. Full article
(This article belongs to the Section Sensory and Consumer Sciences)
Show Figures

Figure 1

14 pages, 1678 KB  
Article
Textural, Sensory and Volatile Compounds Analyses in Formulations of Sausages Analogue Elaborated with Edible Mushrooms and Soy Protein Isolate as Meat Substitute
by Xinyue Yuan, Wei Jiang, Dianwei Zhang, Huilin Liu and Baoguo Sun
Foods 2022, 11(1), 52; https://doi.org/10.3390/foods11010052 - 27 Dec 2021
Cited by 63 | Viewed by 10338
Abstract
In this study, edible mushroom and soybean protein isolate (SPI) were used to prepare a fibrous meat analogue using thermos-extrusion and the extruded mushroom-based meat analogue as meat replacer was further developed with different formulations in fabricating sausage analogues. The effect of water [...] Read more.
In this study, edible mushroom and soybean protein isolate (SPI) were used to prepare a fibrous meat analogue using thermos-extrusion and the extruded mushroom-based meat analogue as meat replacer was further developed with different formulations in fabricating sausage analogues. The effect of water content (35%, 70% and 100%), three types of edible mushroom (Lentinus edodes, Pleurotus ostreatus, Coprinus comatus and a mixture of equal proportions) and their amounts (from 15% to 100%) on the physicochemical and structural profiles were studied. The results showed that the extruded mushroom-based meat analogue prepared from Coprinus comatus (15% addition) and SPI with a water content of 35% exhibited close textural profiles to real beef. Furthermore, a texture profile analysis (TPA) combined with a principal component analysis (PCA) was conducted to compare and assess the textural traits of the sausage analogues with similar commercial products. The characterization and comparison of the flavor profile of post-processing mushroom-based meat sausage analogues (MMSA) were performed using headspace-phase microextraction (HS-SPME), coupled with gas chromatography-mass spectrometry (GC-MS). A total of 64 volatile compounds were identified, and the content in dried-processing treatment was significantly higher than for steamed-processing, which indicated that the natural fermentation process contributed to the increase in aroma substances in the non-animal sourced sausage. This study developed a feasible method to fabricate a meat replacement and to create high added-value products, which offer an opportunity for developing non-animal products with satisfactory sensory properties and flavor profiles. Full article
(This article belongs to the Topic Innovative Food Processing Technologies)
Show Figures

Figure 1

13 pages, 3784 KB  
Article
Xylitol and Maltitol Improve the Rheological Property of Kappa-Carrageenan
by Min Huang, Yihan Mao, Yuzhu Mao and Hongshun Yang
Foods 2022, 11(1), 51; https://doi.org/10.3390/foods11010051 - 27 Dec 2021
Cited by 13 | Viewed by 5022
Abstract
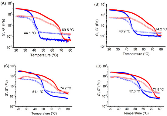
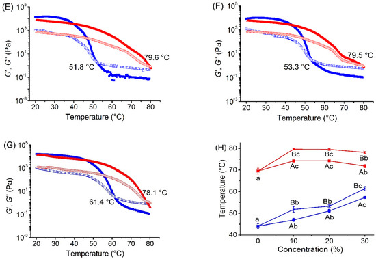
To further extend the use of κ-carrageenan (κ-C) in real food systems (such as beverages), the understanding of gelation properties of κ-C with the presence of food ingredients is critical. The effects of xylitol and maltitol (up to 30 wt %) on the [...] Read more.
To further extend the use of κ-carrageenan (κ-C) in real food systems (such as beverages), the understanding of gelation properties of κ-C with the presence of food ingredients is critical. The effects of xylitol and maltitol (up to 30 wt %) on the rheological and structural properties of κ-C were inspected by means of rheometer and Fourier transform infrared (FTIR). With the addition of xylitol, the gelation temperature increased from 44.1 to 57.3 °C, while the gelation temperature increased from 44.1 to 61.4 °C in maltitol systems. With the increasing concentration of both xylitol and maltitol, the values of fractal dimension df and complex modulus G* of κ-C increased, while the relaxation exponent n decreased from 0.87 to 0.39 of xylitol and 0.87 to 0.78 of maltitol, respectively. These indicated that the gel networks of aqueous κ-C were improved by the addition of xylitol and maltitol. The FTIR results showed that the interaction between κ-C and these polyols contributed to the increase of hydrogen bonds. The effects of maltitol on κ-C were stronger than those of xylitol because of more equatorial-OH bonds in maltitol. These findings contribute to a better understanding of the gelation processes of κ-C/polyols systems. Full article
(This article belongs to the Section Food Physics and (Bio)Chemistry)
Show Figures

Graphical abstract

13 pages, 1976 KB  
Article
Optimization of Commercial Microwave Assisted-Extraction Conditions for Recovery of Phenolics from Lemon-Scented Tee Tree (Leptospermum petersonii) and Comparison with Other Extraction Techniques
by Md Saifullah, Taiwo Olusesan Akanbi, Rebecca McCullum and Quan Van Vuong
Foods 2022, 11(1), 50; https://doi.org/10.3390/foods11010050 - 26 Dec 2021
Cited by 19 | Viewed by 4788
Abstract
The lemon-scented tea tree (LSTT) is an Australian native herb and is a rich source of essential oil and phenolics. The ETHOS X extraction system is known as a commercial microwave-assisted extraction (MAE) system for extracting bioactive compounds from plant materials. This study [...] Read more.
The lemon-scented tea tree (LSTT) is an Australian native herb and is a rich source of essential oil and phenolics. The ETHOS X extraction system is known as a commercial microwave-assisted extraction (MAE) system for extracting bioactive compounds from plant materials. This study investigated the influence of soaking time, radiation time, microwave power, and sample to solvent ratio on the extraction efficiency of polyphenols and antioxidant properties from lemon-scented tea tree leaves and optimized the extraction conditions using response surface methodology (RSM). The effectiveness of ETHOS X was further compared with ultrasound-assisted extraction (UAE) and shaking water bath (SWB) techniques. The results revealed that soaking time did not significantly affect the recovery of phenolics from the leaves (p > 0.05). Thus, soaking is not required for the ETHOS X extraction of polyphenols from LSTT leaves. RSM was successfully applied to explore the impact of ETHOS X extraction conditions and optimize the extraction conditions. Radiation time significantly affects the recovery yield of phenolics (p < 0.05) positively, whereas irradiation power and sample to solvent ratio adversely influenced the extraction yields of phenolics. The optimal ETHOS X extraction conditions were: radiation time of 60 min, irradiation power of 600 W, and sample to solvent ratio of 2 g/100 mL. Under these conditions, 119.21 ± 7.09 mg of phenolic, 85.31 ± 4.55 mg of flavonoids, and 137.51 ± 12.52 mg of proanthocyanidins can be extracted from a gram of dried LSTT leaves. In comparison with UAE and SWB, ETHOS X is not more effective for the extraction of phenolics than UAE and SWB. However, this technique can save half of the solvent volume compared to UAE and SWB techniques. Full article
(This article belongs to the Special Issue High-Value Products from Food Wastes)
Show Figures

Figure 1

21 pages, 13348 KB  
Article
Cherry Polyphenol Extract Ameliorated Dextran Sodium Sulfate-Induced Ulcerative Colitis in Mice by Suppressing Wnt/β-Catenin Signaling Pathway
by Fuhua Li, Huiming Yan, Ling Jiang, Jichun Zhao, Xiaojuan Lei and Jian Ming
Foods 2022, 11(1), 49; https://doi.org/10.3390/foods11010049 - 26 Dec 2021
Cited by 20 | Viewed by 4917
Abstract
Ulcerative colitis (UC) is a chronic and nonspecific inflammatory disease of the colon and rectum, and its etiology remains obscure. Cherry polyphenols showed potential health-promoting effects. However, both the protective effect and mechanism of cherry polyphenols on UC are still unclear. This study [...] Read more.
Ulcerative colitis (UC) is a chronic and nonspecific inflammatory disease of the colon and rectum, and its etiology remains obscure. Cherry polyphenols showed potential health-promoting effects. However, both the protective effect and mechanism of cherry polyphenols on UC are still unclear. This study aimed to investigate the potential role of the free polyphenol extract of cherry in alleviating UC and its possible mechanism of action. Our study revealed that the free polyphenol extract of cherry management significantly alleviated UC symptoms, such as weight loss, colon shortening, the thickening of colonic mucous layer, etc. The free polyphenol extract of cherry treatment also introduced a significant reduction in levels of malondialdehyde (MDA), myeloperoxidase (MPO) and nitric oxide (NO), while causing a significant elevation in levels of catalase (CAT), glutathione (GSH-Px), superoxide dismutase (SOD), as well as the downregulation of pro-inflammatory cytokines. This indicated that such positive effects were performed through reducing oxidative damage or in a cytokine-specific manner. The immunofluorescence analysis of ZO-1 and occludin proteins declared that the free polyphenol extract of cherry had the potential to prompt intestinal barrier function. The reduced expression levels of β-catenin, c-myc, cyclin D1 and GSK-3β suggested that the cherry extract performed its positive effect on UC by suppressing the Wnt/β-ctenin pathway. This finding may pave the way into further understanding the mechanism of cherry polyphenols ameliorating ulcerative colitis. Full article
Show Figures

Graphical abstract

18 pages, 2725 KB  
Article
Effect of the Seasonal Climatic Variations on the Flavonoid Accumulation in Vitis vinifera cvs. ‘Muscat Hamburg’ and ‘Victoria’ Grapes under the Double Cropping System
by Hao-Cheng Lu, Wei-Kai Chen, Yu Wang, Xian-Jin Bai, Guo Cheng, Chang-Qing Duan, Jun Wang and Fei He
Foods 2022, 11(1), 48; https://doi.org/10.3390/foods11010048 - 25 Dec 2021
Cited by 4 | Viewed by 3171
Abstract
Under the double cropping system, berries usually showed significant quality variations in the summer and winter seasons. In the two-year/four-consecutive-season study, two table grapes of ‘Muscat Hamburg’ and ‘Victoria’ were investigated to determine the phenolic compounds in their berries. Different from those of [...] Read more.
Under the double cropping system, berries usually showed significant quality variations in the summer and winter seasons. In the two-year/four-consecutive-season study, two table grapes of ‘Muscat Hamburg’ and ‘Victoria’ were investigated to determine the phenolic compounds in their berries. Different from those of the summer season, the berries in the winter season suffered no high-temperature stress since veraison to harvest in 2014 and 2015. The variations in the season temperatures led to a higher anthocyanin concentration in the winter season berries of ‘Muscat Hamburg’ grapes than that in the summer berries, while the summer season berries had higher proportions of acylated and methylated anthocyanins than those in the winter season berries. Similar to the anthocyanins, the winter season berries also had a higher flavonol concentration in both varieties. Transcriptome analysis showed that the upregulated genes involved in the flavonoid pathway in the winter season berries were agreed with the changes found in the metabolites. However, the influence of the growing seasons on the flavanols was not consistent in the two varieties, and the variations in VviLARs between the grapes of ‘Muscat Hamburg’ and ‘Victoria’ might be the cause. This research helped us better understand the double cropping system and how the climate factors affected the phenolic compounds in the double cropping system. Full article
(This article belongs to the Section Foodomics)
Show Figures

Figure 1

28 pages, 2475 KB  
Article
Biological Potential and Chemical Profile of European Varieties of Ilex
by Natalia Pachura, Robert Kupczyński, Jordan Sycz, Agata Kuklińska, Anna Zwyrzykowska-Wodzińska, Katarzyna Wińska, Aleksandra Owczarek, Piotr Kuropka, Renata Nowaczyk, Przemysław Bąbelewski and Antoni Szumny
Foods 2022, 11(1), 47; https://doi.org/10.3390/foods11010047 - 25 Dec 2021
Cited by 9 | Viewed by 4214
Abstract
Plants of the genus Ilex are widespread throughout the world, with its best-known representative being Ilex paraguraiensis from South America. The European species Ilex aquifolium shows similarities in its terpenoid, sugar and phenolic acid profiles. Using aqueous extracts of Ilex aquifolium as a [...] Read more.
Plants of the genus Ilex are widespread throughout the world, with its best-known representative being Ilex paraguraiensis from South America. The European species Ilex aquifolium shows similarities in its terpenoid, sugar and phenolic acid profiles. Using aqueous extracts of Ilex aquifolium as a supplement in Wistar rats showed that, despite the lack of caffeine, it had strong hypocholesterolemic effects. In addition, a reduction in oxidative lipid degradation and a decrease in hepatic steatosis in histopathological studies were observed. The results of this study suggest that extracts from the European species Ilex aquifolium may have potential as an alternative treatment for hyperlipidemia. Full article
Show Figures

Graphical abstract

17 pages, 1470 KB  
Article
A Three-Stage Solidification Model for Food Particles
by Seshasai Srinivasan
Foods 2022, 11(1), 46; https://doi.org/10.3390/foods11010046 - 24 Dec 2021
Cited by 2 | Viewed by 3239
Abstract
A three-stage solidification model for food droplets has been implemented in a computational fluid dynamics code. It comprises of an initial cooling stage that is based on the principles of convective heat transfer. This is followed by the solidification period that is initiated [...] Read more.
A three-stage solidification model for food droplets has been implemented in a computational fluid dynamics code. It comprises of an initial cooling stage that is based on the principles of convective heat transfer. This is followed by the solidification period that is initiated once the droplet cools to a phase change temperature. Finally, when the droplet is completely solidified, the tempering phase begins where the droplet cools to the temperature of the ambient air. The model has been validated with respect to the experimental data for cocoa butter. Additional simulations were made in which the crystallization behavior of the cocoa butter droplets in relation to the droplet size, ambient air temperature and the relative drop-gas velocity was investigated. It was found that the crystallization time is exponentially related to the droplet size. Further, it increased with the ambient temperature, but decreased with the relative drop-gas velocity. Overall, the results suggest operating at the extreme values of the process parameters, requiring high amount of energy, to minimize the crystallization time. It was concluded that there is a need for optimizing the operating conditions of the powder production process to minimize the energy requirement of the system while maintaining a reasonable crystallization time. Full article
Show Figures

Figure 1

15 pages, 1306 KB  
Article
Peeling Affects the Nutritional Properties of Carrot Genotypes
by Giulia Conversa, Anna Bonasia, Giuseppe Natrella, Corrado Lazzizera and Antonio Elia
Foods 2022, 11(1), 45; https://doi.org/10.3390/foods11010045 - 24 Dec 2021
Cited by 7 | Viewed by 5261
Abstract
Peeling may result in changes in carrot’s nutritional properties; therefore, the present study focused on its effect on the retention of principal nutrients (minerals, sugars, organic acids) and antioxidants (carotenoids and phenols) in the peeled roots of two landraces (‘Carota a punta lunga’—CPL [...] Read more.
Peeling may result in changes in carrot’s nutritional properties; therefore, the present study focused on its effect on the retention of principal nutrients (minerals, sugars, organic acids) and antioxidants (carotenoids and phenols) in the peeled roots of two landraces (‘Carota a punta lunga’—CPL and ‘Carota a punta tonda’—CPT) and a hybrid cultivar (‘Presto’) grown in the area of the “Salterns of Margherita di Savoia” area (Puglia region). The peel had a higher concentration of cations (+92%), organic acids (+103%), carotenoids (+42%), and phenolic acids (seven times) than root flesh. For each chemical class, the most abundant components were K, malic acid, ß-carotene, and chlorogenic acid, respectively. The two landraces stand out for the accumulation of the phenolic acids and ß-carotene, whereas the peel of ‘Presto’ was distinguished by the concentration of Ca and ascorbic and pyruvic acids. The root flesh had a greater accumulation of simple sugars, nitrate (mainly in CPL), oxalic acid, and in particular in the flesh of ‘Presto’, of Na and Cl. For local varieties, peel removal seems to impact the nutritional and antioxidative properties of carrots more consistently compared to the advanced cultivar, since it represents on average 21% and 59% of the total carotenoids and phenols, respectively, of the intact roots. Full article
(This article belongs to the Section Plant Foods)
Show Figures

Figure 1