Predicting Soil Infiltration and Horizon Thickness for a Large-Scale Water Balance Model in an Arid Environment
Abstract
:1. Introduction
2. Area Descriptions and Methods
2.1. Research Area and Measurement Sites
2.2. Analyzed Data Set
2.2.1. Infiltration Data
2.2.2. Horizon Thickness Data
2.2.3. Vegetation Data
2.3. Data Analysis and Development of Prediction Equation
3. Results
3.1. Relationships between Infiltration Parameters and Vegetation Data
3.2. Prediction of Infiltration Parameters from Vegetation Data
3.3. Prediction of Horizon Thickness from Vegetation Data
4. Discussion
5. Conclusions
Acknowledgments
Author Contributions
Conflicts of Interest
References
- Guo, W.; Wang, C.; Zeng, X.; Ma, T.; Yang, H. Subgrid Parameterization of the Soil Moisture Storage Capacity for a Distributed Rainfall-Runoff Model. Water 2015, 7, 2691–2706. [Google Scholar] [CrossRef]
- Sanjay, K.S.; Mohanty, B.P.; Zhu, J. Including topography and vegetation attributes for developing pedotransfer functions. Soil Sci. Soc. Am. J. 2006, 70, 1430–1440. [Google Scholar]
- Barshad, I. Factors affecting clay formation. In Proceedings of the 6th National Conference on Clays and Clay Mineralogy, Berkeley, CA, USA, 19–23 August 1957; pp. 110–132.
- Nye, P.H.; Greenland, D.J. The Soil under Shifting Cultivation; Commonwealth Bureau of Soils: Harpenden, UK, 1960. [Google Scholar]
- Giltrap, D.J. Mathematical Techniques for Soil Survey Design. Ph.D. Thesis, University of Oxford, Oxford, UK, 1977. [Google Scholar]
- Chilès, J.P.; Delfiner, P. Geostatistics: Modeling Spatial Uncertainty; Wiley: New York, NY, USA, 1999. [Google Scholar]
- McKenzie, N.J.; Austin, M.P. A quantitative Australian approach to medium and small scale surveys based on soil stratigraphy and environmental correlation. Geoderma 1993, 57, 329–355. [Google Scholar] [CrossRef]
- Gallant, J.C.; Wilson, J.P. Primary Topographic Attributes. In Terrain Analysis; Wilson, J.P., Gallant, J.C., Eds.; John Wiley & Sons, Inc.: New York, NY, USA, 2000; pp. 51–85. [Google Scholar]
- Maynard, J.J.; Johnson, M.G. Scale-dependency of LiDAR derived terrain attributes in quantitative soil-landscape modeling: Effects of grid resolution vs. neighborhood extent. Geoderma 2014, 230, 29–40. [Google Scholar] [CrossRef]
- McSweeney, K.; Gessler, P.E.; Slater, B.; Hammer, R.D.; Bell, J.C.; Petersen, G.W. Towards a new framework for modeling the soil-landscape continuum. In Factors of Soil Formation: A Fiftieth Anniversary Retrospective; Amundson, R.G., Tandarich, J., Harden, J., Singer, M., Luxmoore, R.J., Bartels, J.M., Eds.; Soil Science Society of America, Inc.: Madison, WI, USA, 1994; pp. 127–145. [Google Scholar]
- Thompson, J.A.; Pena-Yewtukhiw, E.M.; Grove, J.H. Soil-landscape modeling across a physiographic region: Topographic patterns and model transportability. Geoderma 2006, 133, 57–70. [Google Scholar] [CrossRef]
- Moore, I.D.; Gessler, P.E.; Nielsen, G.A.; Peterson, G.A. Soil attribute prediction using terrain analysis. Soil Sci. Soc. Am. J. 1993, 57, 443–452. [Google Scholar] [CrossRef]
- Gessler, P.E.; Moore, I.D.; McKenzie, N.J.; Ryan, P.J. Soil–landscape modeling and the spatial prediction of soil attributes. Int. J. Geogr. Inf. Syst. 1995, 9, 421–432. [Google Scholar] [CrossRef]
- Chaplot, V.; Walter, C.; Curmi, P. Improving soil hydromorphy prediction according to DEM resolution and available pedological data. Geoderma 2000, 97, 405–422. [Google Scholar] [CrossRef]
- Park, S.J.; McSweeney, K.; Lowery, B. Identification of the spatial distribution of soils using a process-based terrain characterization. Geoderma 2001, 103, 249–272. [Google Scholar] [CrossRef]
- McBratney, A.; Mendonça, S.M.; Minasny, B. On digital soil mapping. Geoderma 2003, 117, 3–52. [Google Scholar] [CrossRef]
- Donohue, R.J.; Roderick, M.L.; McVicar, T.R. On the importance of including vegetation dynamics in Budyko's hydrological model. Hydrol. Earth Syst. Sci. 2007, 11, 983–995. [Google Scholar] [CrossRef]
- Gasch, C.K.; Huzurbazar, S.V.; Stahl, P.D. Small-scale spatial heterogeneity of soil properties in undisturbed and reclaimed sagebrush steppe. Soil Till Res. 2015, 153, 42–47. [Google Scholar] [CrossRef]
- Feng, Q.; Zhao, W.; Qiu, Y.; Zhao, M.; Zhong, L. Spatial Heterogeneity of Soil Moisture and the Scale Variability of Its Influencing Factors: A Case Study in the Loess Plateau of China. Water 2013, 5, 1226–1242. [Google Scholar] [CrossRef]
- De Carvalho, W.; Chagas, C.D.; Lagacherie, P.; Calderano, B.; Bhering, S.B. Evaluation of statistical and geostatistical models of digital soil properties mapping in tropical mountain regions. Rev. Bras. Cienc. Solo 2014, 38, 706–717. [Google Scholar] [CrossRef]
- Fu, T.; Chen, H.; Zhang, W.; Nie, Y.; Gao, P.; Wang, K. Spatial variability of surface soil saturated hydraulic conductivity in a small karst catchment of southwest China. Environ. Earth Sci. 2015, 74, 6847–6858. [Google Scholar] [CrossRef]
- Grinand, C.; Arrouays, D.; Laroche, B.; Martin, M.P. Extrapolating regional soil landscapes from an existing soil map: Sampling intensity, validation procedures, and integration of spatial context. Geoderma 2008, 143, 180–190. [Google Scholar] [CrossRef]
- Campling, P.; Gobin, A.; Feyen, J. Logistic modeling to spatially predict the probability of soil drainage classes. Soil Sci. Soc. Am. J. 2002, 66, 1390–1401. [Google Scholar] [CrossRef]
- McKenzie, N.J.; Ryan, P.J. Spatial prediction of soil properties using environmental correlation. Geoderma 1999, 89, 67–94. [Google Scholar] [CrossRef]
- Zhu, A.X. Mapping soil landscape as spatial continua: The neural network approach. Water Resour. Res. 2000, 36, 663–677. [Google Scholar] [CrossRef]
- Park, S.J.; Vlek, L.G. Prediction of three-dimensional soil spatial variability: A comparison of three environmental correlation techniques. Geoderma 2002, 109, 117–140. [Google Scholar] [CrossRef]
- Liu, S.; An, N.; Yang, J.; Dong, S.; Wang, C.; Yin, Y. Prediction of soil organic matter variability associated with different land use types in mountainous landscape in southwestern Yunnan province, China. Catena 2015, 133, 137–144. [Google Scholar] [CrossRef]
- Oueslati, I.; Allamano, P.; Bonifacio, E.; Claps, P. Vegetation and Topographic Control on Spatial Variability of Soil Organic Carbon. Pedosphere 2013, 23, 48–58. [Google Scholar] [CrossRef]
- Berry, S.L.; Farquhar, G.D.; Roderick, M.L. Co-evolution of climate, soil and vegetation. In Encyclopedia of Hydrological Sciences; Anderson, M., Ed.; John Wiley: Indianapolis, IN, USA, 2005; Volume 1. [Google Scholar]
- Berndtsson, R.; Larson, M. Spatial variability of infiltration in a semi-arid environment. J. Hydrol. 1987, 90, 117–133. [Google Scholar] [CrossRef]
- Bruce, R.R.; Langdale, G.W.; West, L.T.; Miller, W.P. Soil surface modification by biomass inputs affecting rainfall infiltration. Soil Sci. Soc. Am. J. 1992, 56, 1614–1619. [Google Scholar] [CrossRef]
- Stroosnijder, L. Modelling the effect of grazing on infiltration, runoff and primary production in the Sahel. Ecol. Model. 1996, 92, 79–88. [Google Scholar] [CrossRef]
- Weltz, L.; Frasier, G.; Weltz, M. Hydrologic responses of shortgrass prairie ecosystems. J. Range Manag. 2000, 53, 403–409. [Google Scholar] [CrossRef]
- Wainwright, J.; Parsons, A.J.; Schlesinger, W.H.; Abrahams, A.D. Hydrology-vegetation interactions in areas of discontinuous flow on a semi-arid bajada, Southern New Mexico. J. Arid Environ. 2002, 51, 319–338. [Google Scholar] [CrossRef]
- Rietkerk, M.; Ouedraogo, T.; Kumar, L.; Sanou, S.; Van Langevelde, F.; Kiema, A.; Van de Koppel, J.; Van Andel, J.; Hearne, J.; Skidmore, A.K.; De Ridder, N.; Stroosnijder, L.; Prins, H.H.T. Fine-scale spatial distribution of plants and resources on a sandy soil in the Sahel. Plant Soil 2002, 239, 69–77. [Google Scholar] [CrossRef]
- Kelishadi, H.; Mosaddeghi, M.R.; Hajabbasi, M.A.; Ayoubi, S. Nearsaturated soil hydraulic properties as influenced by land use management systems in Koohrang region of central Zagros, Iran. Geoderma 2014, 213, 426–434. [Google Scholar] [CrossRef]
- Lamotte, M.; Bruand, A.; Dabas, M.; Donfack, P.; Gabalda, G.; Hesse, A.; Humbel, F.X.; Robain, H. Distribution of hardpan in soil cover of arid zones—Data from a geoelectrical survey in northern Cameroon. Comptes Rendus de l'Academie des Sci. Serie II 1994, 318, 961–968. (In French) [Google Scholar]
- Pracilio, G.; Smettem, K.R.J.; Bennett, D.; Harper, R.J.; Adams, M.L. Site assessment of a woody crop where a shallow hardpan soil layer constrained plant growth. Plant Soil 2006, 288, 113–125. [Google Scholar] [CrossRef]
- Yamada, K. Establishment of carbon fixation system by afforestation of arid land. In Final Report of Heisei 10th Adoption Project—Resource Circulation and Energy Minimized System Engineering; Japan Science Technology Agency, Ed.; CREST, JST: Tokyo, Japan, 2004; pp. 355–455. (In Japanese) [Google Scholar]
- Kojima, T.; Asaka, N.; Ishida, J.; Hamano, H.; Yamada, K. Development of a model for large scale water balance in arid land. J. Arid Land Stud. 2004, 14, 223–226. [Google Scholar]
- Kojima, T.; Yokohagi, O.; Suganuma, H.; Ito, T.; Suzuki, S. Site selection and environmental effect evaluation of large scale plantation using arid area runoff model. J. Arid Land Stud. 2015, 25, 101–104. [Google Scholar]
- Tabuchi, H.; Tanaka, N.; Koyanagi, S.; Kurosawa, K.; Hamano, H.; Suganuma, H.; Kojima, T. Runoff Model Validation for Large-Scale Afforestation in Arid Land. Int. J. Global Environ. Issues 2012, 12, 282–292. [Google Scholar] [CrossRef]
- Yasuda, H.; Abe, Y.; Yamada, K. Periodic fluctuation of the annual rainfall time series at Sturt Meadows, the Western Australia. J. Arid Land Stud. 2001, 11, 71–74. (In Japanese) [Google Scholar]
- Vreeswyk, A.M.E. An Inventory and Condition Survey of the North-eastern Goldfields, Western Australia; Technical Bulletin No. 87; Department of Agriculture: Perth, Australia, 1994; pp. 98–117. [Google Scholar]
- Bettenary, E.; Churchward, H.M. Morphology and stratigraphic relationships of the Wiluna hardpan in arid Western Australia. J. Geol. Soc. Aust. 1974, 21, 73–80. [Google Scholar] [CrossRef]
- Teakle, L.J.H. Red and brown hardpan soils of Western Australia. J. Aust. Inst. Agric. Sci. 1950, 16, 15–17. [Google Scholar]
- Suganuma, H.; Abe, Y.; Taniguchi, M.; Tanouchi, H.; Utsugi, H.; Kojima, T.; Yamada, K. Stand biomass estimation method by canopy coverage for application to remote sensing in an arid area of Western Australia. For. Ecol. Manag. 2006, 222, 75–87. [Google Scholar] [CrossRef]
- National Land and Water Resources Audit. Australia’s Native Vegetation—A Summary of the National Land and Water Resources Audit’s Australian Native Vegetation Assessment 2001; Goanna Print: Canberra, Australia, 2002; Volume 27. [Google Scholar]
- Suganuma, H.; Abe, Y.; Taniguchi, M.; Yamada, K. Evaluation of the stand biomass estimation method by digitized aerial photographs in an arid area of Western Australia. J. Jpn. Soc. Photogramm. Remote Sens. 2006, 45, 12–23. (In Japanese) [Google Scholar] [CrossRef]
- Abe, Y.; Taniguchi, M.; Suganuma, H.; Saito, M.; Kojima, T.; Egashira, Y.; Yamamoto, Y.; Yamada, K. Comparative analysis between biomass and topographic features in an arid land, Western Australia. J. Chem. Eng. Jpn. 2003, 36, 376–382. [Google Scholar] [CrossRef]
- Kostiakov, A.N. On the dynamics of the coefficient of water-percolation in soils and on the necessity for studying it from a dynamic point of view for purpose of amelioration. Trans. Int. Congr. Soil Sci. 1932, 6, 17–21. [Google Scholar]
- Philip, J.R. The theory of infiltration. Sorptivity and algebraic infiltration. Soil Sci. 1957, 84, 257–264. [Google Scholar] [CrossRef]
- Taniguchi, M.; Abe, Y.; Saito, M.; Owada, M.; Yamada, K. Biomass estimation of representative plant communities in arid area of southwestern Australia. Jpn. J. For. Environ. 2002, 44, 21–29. (In Japanese) [Google Scholar]
- Taniguchi, M.; Abe, Y.; Suganuma, H.; Saito, M.; Yamada, K. Estimation of biomass using Landsat in arid area, Western Australia. J. Arid Land Stud. 2002, 12, 55–66. (In Japanese) [Google Scholar]
- Willmott, C.J. Some comments on the evaluation of model performance. Bull. Am. Meteorol. Soc. 1982, 63, 1309–1313. [Google Scholar] [CrossRef]
- Hingston, F.J.; Galbraith, J.H.; Dimmock, G.M. Application of the process-based model BIOMASS to Eucalyptus globulus subsp. globulus plantations on exfarmland in south western Australia I. Water use by trees and assessing risk of losses due to drought. For. Ecol. Manag. 1998, 106, 141–156. [Google Scholar] [CrossRef]
- McIvor, J.G.; Williams, J.; Gardener, C.J. Pasture management influences runoff and soil movement in the semi-arid tropics. Aust. J. Exp. Agric. 1995, 35, 55–65. [Google Scholar] [CrossRef]
- Loch, R.J. Effects of vegetation cover on runoff and erosion under simulated rain and overland flow on a rehabilitated site on the Meandu Mine, Tarong, Queensland. Aust. J. Soil Res. 2000, 38, 299–312. [Google Scholar] [CrossRef]
- Verboom, W.H.; Pate, J.S. Bioengineering of soil profiles in semiarid ecosystems: The “phytotarium” concept. A review. Plant Soil 2006, 289, 71–102. [Google Scholar] [CrossRef]
- Snyman, H.A.; Fouché, H.J. Production and water-use efficiency of semi-arid grasslands of South Africa as affected by veld condition and rainfall. Water South Afr. 1991, 17, 263–268. [Google Scholar]
- Palmer, A.R.; Van Staden, J.M. Predicting the distribution of plant communities using annual rainfall and elevation: An example from southern Africa. J. Veg. Sci. 1992, 3, 261–266. [Google Scholar] [CrossRef]
- Smit, G.N.; Rethman, N.F.G. The influence of tree thinning on the soil water in a semi-arid savanna of southern Africa. J. Arid Environ. 2000, 44, 41–59. [Google Scholar] [CrossRef]
- Free, G.R.; Browning, G.M.; Musgrave, G.W. Relative Infiltration and Related Physical Characteristics of Certain Soils; Technical Bulletins No 729; United States Department of Agriculture, Economic Research Service: Washington, DC, USA, 1940; pp. 7–9. [Google Scholar]
- Rao, K.P.C.; Steenhuis, T.S.; Cogle, A.L.; Srinivasan, S.T.; Yule, D.F.; Smith, G.D. Rainfall infiltration and runoff from an Alfisol in semi-arid tropical India. I. No-till Systems. Soil Tillage Res. 1998, 48, 51–59. [Google Scholar] [CrossRef]







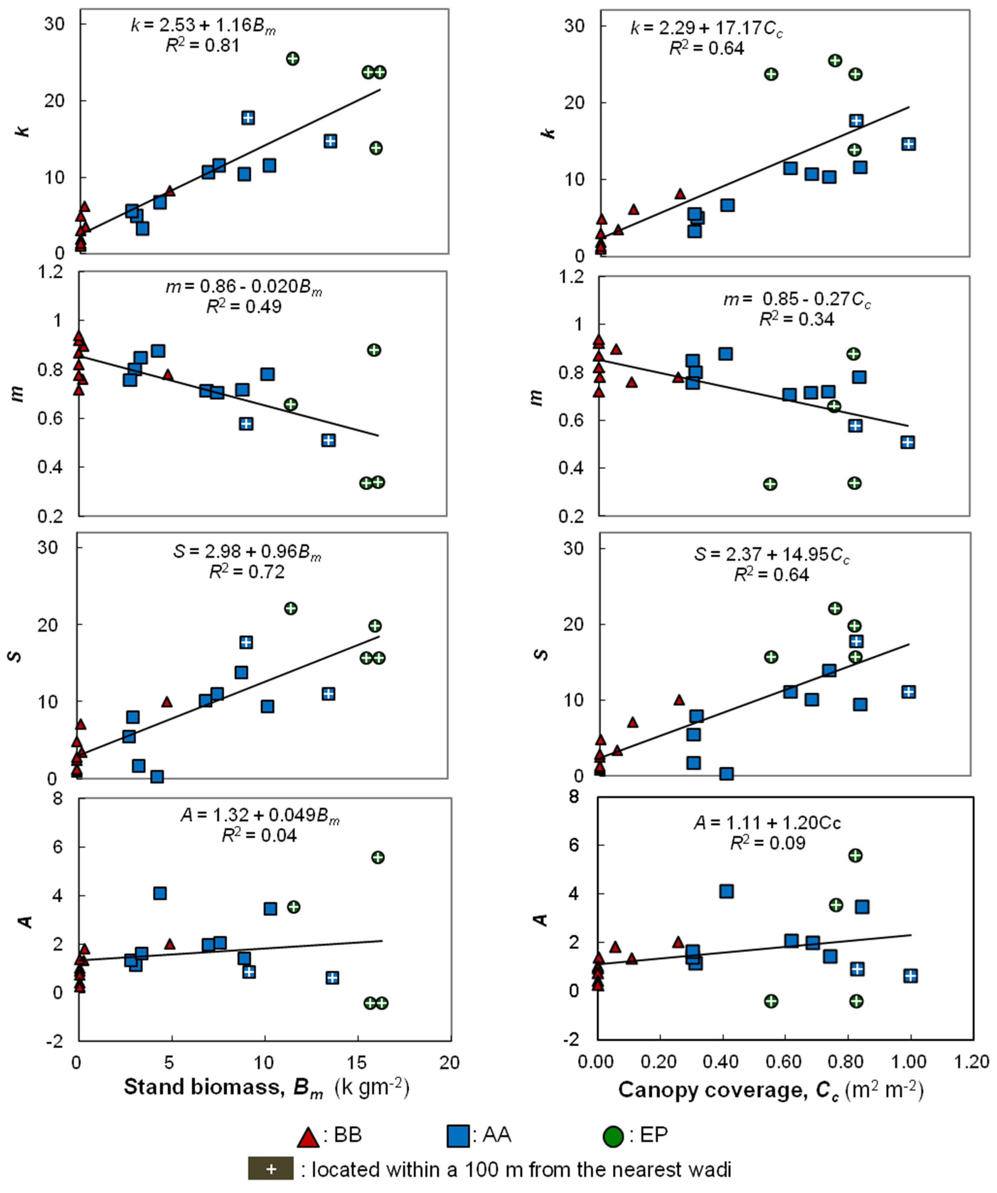
| Vegetation Data (x) | Infiltration Parameters (y) | Regression Parameters | Statistical Measures | |||||||||
|---|---|---|---|---|---|---|---|---|---|---|---|---|
| R2 | a | b | n | p | M_o | M_p | SD_o | SD_p | MBE | RMSE | ||
| Stand Biomass (Bm, kg·m−1) | k | 0.81 | 2.53 | 1.16 | 23 | <0.001 | 9.34 | 9.31 | 7.53 | 6.72 | 0.021 | 3.28 |
| m | 0.49 | 0.86 | −0.02 | 23 | <0.001 | 0.74 | 0.74 | 0.16 | 0.11 | 0.048 | 0.11 | |
| S | 0.72 | 2.89 | 0.96 | 23 | <0.001 | 8.51 | 8.51 | 6.57 | 5.56 | −0.001 | 3.41 | |
| A | 0.04 | 1.32 | 0.049 | 23 | 0.360 | 1.60 | 1.61 | 1.43 | 0.28 | −0.0038 | 1.37 | |
| I5 | 0.67 | 12.51 | 2.51 | 23 | <0.001 | 27.43 | 27.20 | 18.04 | 14.54 | 3.50 | 9.83 | |
| I10 | 0.59 | 21.83 | 3.64 | 23 | <0.001 | 43.12 | 43.13 | 27.43 | 21.09 | −0.0039 | 17.19 | |
| I30 | 0.38 | 55.39 | 6.68 | 23 | 0.002 | 94.46 | 94.47 | 62.80 | 38.70 | −0.010 | 48.38 | |
| I60 | 0.29 | 101.77 | 10.29 | 23 | 0.008 | 161.92 | 161.98 | 109.41 | 59.62 | −0.055 | 89.76 | |
| k _ew | 0.83 | 2.69 | 0.95 | 17 | <0.001 | 5.62 | 5.62 | 3.68 | 3.34 | 0.0039 | 1.49 | |
| m _ew | 0.27 | 0.84 | −0.011 | 17 | 0.032 | 0.78 | 0.81 | 0.079 | 0.039 | −0.030 | 0.051 | |
| S _ew | 0.58 | 2.69 | 0.91 | 17 | <0.001 | 5.50 | 5.50 | 4.24 | 3.20 | 0.0083 | 2.68 | |
| A _ew | 0.40 | 1.05 | 0.17 | 17 | 0.007 | 1.59 | 1.57 | 0.98 | 0.59 | 0.017 | 0.74 | |
| I60 _ew | 0.71 | 84.34 | 17.5 | 17 | <0.001 | 138.27 | 138.31 | 73.00 | 61.54 | −0.031 | 38.06 | |
| Canopy coverage (Cc, m2·m−2) | k | 0.64 | 2.29 | 17.17 | 23 | <0.001 | 9.34 | 9.34 | 7.53 | 6.02 | −0.0044 | 4.41 |
| m | 0.34 | 0.85 | −0.27 | 23 | 0.004 | 0.74 | 0.74 | 0.16 | 0.095 | 0.133 | 0.13 | |
| S | 0.64 | 2.37 | 14.95 | 23 | <0.001 | 8.51 | 8.51 | 6.57 | 5.25 | −0.0055 | 3.86 | |
| A | 0.09 | 1.11 | 1.20 | 23 | 0.164 | 1.60 | 1.60 | 1.43 | 0.42 | −0.0007 | 1.33 | |
| I5 | 0.67 | 10.19 | 41.36 | 23 | <0.001 | 27.43 | 27.18 | 18.04 | 14.52 | 10.27 | 10.04 | |
| I10 | 0.62 | 17.72 | 61.86 | 23 | <0.001 | 43.12 | 43.13 | 27.43 | 21.72 | −0.0081 | 16.43 | |
| I30 | 0.42 | 46.4 | 117.00 | 23 | <0.001 | 94.46 | 94.96 | 62.80 | 41.07 | 0.0017 | 46.46 | |
| I60 | 0.36 | 85.44 | 186.26 | 23 | 0.002 | 161.92 | 161.95 | 109.41 | 65.38 | −0.033 | 85.81 | |
| k _ew | 0.81 | 2.52 | 11.33 | 17 | <0.001 | 5.62 | 5.62 | 3.68 | 3.33 | 0.0043 | 1.52 | |
| m _ew | 0.28 | 0.84 | −0.14 | 17 | 0.029 | 0.78 | 0.80 | 0.079 | 0.041 | −0.026 | 0.05 | |
| S _ew | 0.58 | 2.59 | 10.64 | 17 | <0.001 | 5.50 | 5.50 | 4.24 | 3.12 | 0.0041 | 2.78 | |
| A _ew | 0.40 | 1.02 | 2.10 | 17 | 0.007 | 1.59 | 1.59 | 0.98 | 0.61 | −0.0030 | 0.066 | |
| I60 _ew | 0.69 | 81.56 | 207.4 | 17 | <0.001 | 138.27 | 138.29 | 73.00 | 60.89 | −0.017 | 39.02 | |
© 2016 by the authors; licensee MDPI, Basel, Switzerland. This article is an open access article distributed under the terms and conditions of the Creative Commons by Attribution (CC-BY) license (http://creativecommons.org/licenses/by/4.0/).
Share and Cite
Saito, T.; Yasuda, H.; Suganuma, H.; Inosako, K.; Abe, Y.; Kojima, T. Predicting Soil Infiltration and Horizon Thickness for a Large-Scale Water Balance Model in an Arid Environment. Water 2016, 8, 96. https://doi.org/10.3390/w8030096
Saito T, Yasuda H, Suganuma H, Inosako K, Abe Y, Kojima T. Predicting Soil Infiltration and Horizon Thickness for a Large-Scale Water Balance Model in an Arid Environment. Water. 2016; 8(3):96. https://doi.org/10.3390/w8030096
Chicago/Turabian StyleSaito, Tadaomi, Hiroshi Yasuda, Hideki Suganuma, Koji Inosako, Yukuo Abe, and Toshinori Kojima. 2016. "Predicting Soil Infiltration and Horizon Thickness for a Large-Scale Water Balance Model in an Arid Environment" Water 8, no. 3: 96. https://doi.org/10.3390/w8030096
APA StyleSaito, T., Yasuda, H., Suganuma, H., Inosako, K., Abe, Y., & Kojima, T. (2016). Predicting Soil Infiltration and Horizon Thickness for a Large-Scale Water Balance Model in an Arid Environment. Water, 8(3), 96. https://doi.org/10.3390/w8030096
