Development of a Molecularly Imprinted Biomimetic Electrode
Abstract
:1. Introduction
2. Methods and Materials
2.1 Chemicals
2.2 Preparation of Electrodes
2.3 Electrochemical Cells
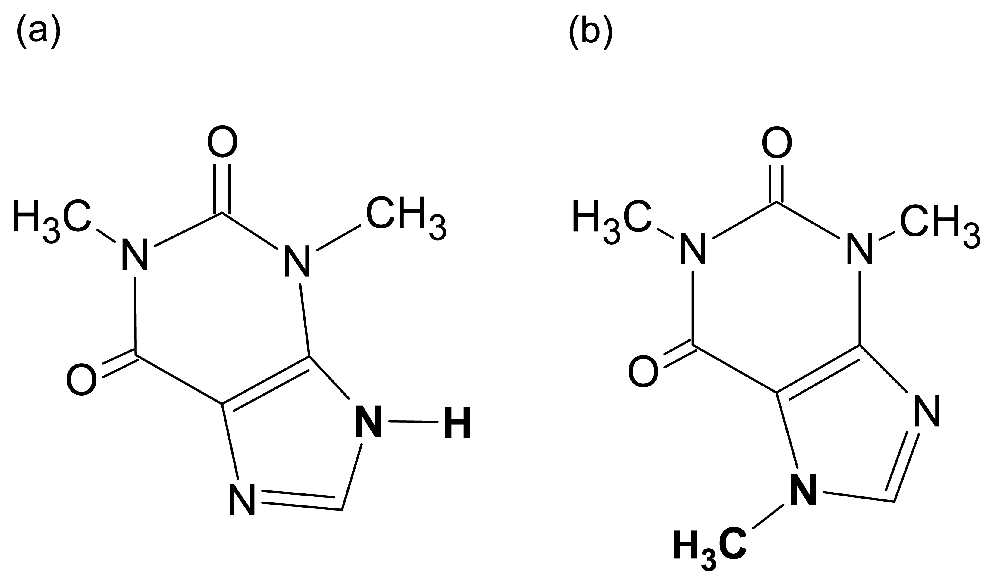
2.4 Preparation of the Theophylline Imprinted Biomimetic Sensor
2.5 Extraction of Template
2.6 Baseline Measurement
2.7 Rebinding and Measurement of Theophylline Analyte
2.8 Selectivity Evaluation
2.9 Light Absorbance Measurements
2.10 Statistical Analysis
2.10.1 Determination of Peak currents on Cyclic Voltammograms
2.10.2 Evaluation of Blank and MIP Sensors
2.11 Surface Characterization
3 Results and Discussion
3.1 Theory of Detection
3.2 Confirmation of Imprinted Polymer
3.3 Characterization of Surface
3.4 Sensitivity and Selectivity Testing
3.4.1 Background Measurement
3.4.2 Sensitivity of MIP-ITO Sensor
3.4.3 Selectivity of MIP-ITO Sensor
5. Conclusions
References
- Haupt, K.; Mosbach, K. Plastic antibodies: developments and applications. Trends in Biotechnology 1998, 16, 468–475. [Google Scholar]
- Kindschy, L.M.; Alocilja, E.C. A Review of Molecularly Imprinted Polymers for Biosensor Development for Food and Agricultural Applications. Transactions of the ASAE 2004, 47, 1375–1382. [Google Scholar]
- Piletsky, S.A.; Turner, A.P.F. Electrochemical sensors based on molecularly imprinted polymers. Electroanalysis 2002, 14, 317–323. [Google Scholar]
- Ramström, O.; Skudar, K.; Haines, J.; Patel, P.; Brüggemann, O. Food analyses using molecularly imprinted polymers. Journal of Agricultural and Food Chemistry 2001, 49, 2105–2114. [Google Scholar]
- Takeuchi, T.; Haginaka, J. Separation and sensing based on molecular recognition using molecularly imprinted polymers. Journal of Chromatography B: Biomedical Sciences and Applications 1999, 728, 1–20. [Google Scholar]
- Hong, J.-M.; Anderson, P.E.; Qian, J.; Martin, C.R. Selectively-permeable ultrathin film composite membranes based on molecularly-imprinted polymer. Chem. Mater. 1998, 10, 1029–1033. [Google Scholar]
- Lai, E.P.C.; Fafara, A.; VanderNoot, V.A.; Kono, M.; Polsky, B. Surface plasmon resonance sensors using molecularly imprinted polymers for sorbent assay of theophylline, caffeine, and xanthine. Canadian Journal of Chemistry 1998, 76, 265–273. [Google Scholar]
- Kindschy, L.M.; Alocilja, E.C. A molecularly imprinted polymer on indium tin oxide and silicon. Biosensors and Bioelectronics 2005, 20, 2163–2167. [Google Scholar]
- Yoshimi, Y.; Ohdaira, R.; Iiyama, C.; Sakai, K. “Gate effect” of thin layer of molecularly-imprinted poly(methacrylic acid-co-ethyleneglycol dimethacrylate). Sensors and Actuators B: Chemical 2001, 73, 49–53. [Google Scholar]
- Sigma-Aldrich. Sigma Biochemicals & Reagents for LifeScience Research, 2004-2005 ed.; 2004; p. 1531. [Google Scholar]
- Pine Instrument Company Survey of three voltammetric methods.
- Blanco-López, M.C.; Lobo-Castañón, M.J.; Miranda-Ordieres, A.J.; Tuñón-Blanco, P. Voltammetric sensor for vanillylmandelic acid based on molecularly imprinted polymer-modified electrodes. Biosensors and Bioelectronics 2003, 18, 353–362. [Google Scholar]
- Blanco-López, M.C.; Lobo-Castañón, M.J.; Miranda-Ordieres, A.J.; Tuñón-Blanco, P. Voltammetric response of diclofenac-molecularly imprinted film modified carbon electrodes. Anal Bioanal Chem 2003, 377, 257–261. [Google Scholar]
- Piletsky, S.A.; Piletskaya, E.V.; Yano, K.; Kugimiya, A.; Elgersma, A.V. A biomimetic receptor system for sialic acid based on molecular imprinting. Analytical Letters 1996, 29, 157–170. [Google Scholar]
- National Jewish Medical and Research Center Theophylline: Questions and answers, 2005.
- Amarasiri Fernando, S.; Wilson, G.S. Studies of the ‘hook’ effect in the one-step sandwich immunoassay. Journal of Immunological Methods 1992, 151, 47–66. [Google Scholar]
- Rodbard, D.; Feldman, Y.; Jaffe, M.L.; Miles, L.E.M. Kinetics of two-site immunoradiometric (‘sandwich’) assays--II : Studies on the nature of the -high-dose hook effect. Molecular Immunology 1978, 15, 77–82. [Google Scholar]








| Counter-Analyte Concentration | B-ITO | MIP-ITO | P-Value | 
|---|---|---|---|
| 1 mM Caf | 1.403 ± 0.350 | 1.130 ± 0.265 | 0.343 | 
| 2 mM Caf | 1.172 ± 0.217 | 1.065 ± 0.236 | 0.595 | 
| 3 mM Caf | 1.250 ± 0.452 | 1.473 ± 0.721 | 0.681 | 
| 4 mM Caf | 1.169 ± 0.111 | 0.970 ± 0.092 | 0.075 | 
| Counter-Analyte Concentration | B-ITO | MIP-ITO | P-Value | 
|---|---|---|---|
| 1 mM Caf | 1.516 ± 0.530 | 1.068 ± 0.134 | 0.229 | 
| 2 mM Caf | 1.139 ± 0.190 | 1.028 ± 0.098 | 0.419 | 
| 3 mM Caf | 1.525 ± 0.861 | 2.020 ± 1.62 | 0.672 | 
| 4 mM Caf | 1.329 ± 0.502 | 1.025 ± 0.575 | 0.419 | 
© 2007 by MDPI ( http://www.mdpi.org). Reproduction is permitted for noncommercial purposes.
Share and Cite
Kindschy, L.M.; Alocilja, E.C. Development of a Molecularly Imprinted Biomimetic Electrode. Sensors 2007, 7, 1630-1642. https://doi.org/10.3390/s7081630
Kindschy LM, Alocilja EC. Development of a Molecularly Imprinted Biomimetic Electrode. Sensors. 2007; 7(8):1630-1642. https://doi.org/10.3390/s7081630
Chicago/Turabian StyleKindschy, Lisa M., and Evangelyn C. Alocilja. 2007. "Development of a Molecularly Imprinted Biomimetic Electrode" Sensors 7, no. 8: 1630-1642. https://doi.org/10.3390/s7081630
APA StyleKindschy, L. M., & Alocilja, E. C. (2007). Development of a Molecularly Imprinted Biomimetic Electrode. Sensors, 7(8), 1630-1642. https://doi.org/10.3390/s7081630
 
        
 
       