Next Article in Journal
Membrane Thickness Dependence of Nanopore Formation with a Focused Helium Ion Beam
Previous Article in Journal
Wayside Bearing Fault Diagnosis Based on a Data-Driven Doppler Effect Eliminator and Transient Model Analysis
Article Menu

Export Article

Open AccessArticle
Sensors 2014, 14(5), 8126-8149; doi:10.3390/s140508126

Evaluation of Candidate Measures for Home-Based Screening of Sleep Disordered Breathing in Taiwanese Bus Drivers

1
Department of Physical Medicine and Rehabilitation, Chung-Shan Medical University Hospital, Chung-Shan Medical University, Taichung 40201, Taiwan
2
Center of Sleep Medicine, Chung-Shan Medical University Hospital, Chung-Shan Medical University, Taichung 40245, Taiwan
3
Institute of Medicine, Chung Shan Medical University, Taichung 40201, Taiwan
4
Department of Medical Image and Radiological Science, Chung-Shan Medical University, Taichung 40201, Taiwan
5
Department of Medical Informatics, Chung Shan Medical University, Taichung 40201, Taiwan
6
PhD Program of Mechanical and Aeronautical Engineering, Feng Chia University, Taichung 40724, Taiwan
7
Department of Photonics and Communication Engineering, Asia University, Taichung 41354, Taiwan
8
Institute of Labor Policy and Occupational Safety and Health, Ministry of Labor Affairs, Executive Yuan, Taipei 22143, Taiwan
9
Department of Public Health, College of Public Health, China Medical University, Taichung 40402, Taiwan
10
School of Rehabilitation Medicine, Shanghai University of TCM, Shanghai 201203, China
11
Department of Physical Therapy, Graduate Institute of Rehabilitation Science, China Medical University, Taichung 40202, Taiwan
12
Department of Healthcare Administration, Asia University, Taichung 41354, Taiwan
These authors contributed equally to this work.
*
Authors to whom correspondence should be addressed.
Received: 15 September 2013 / Revised: 19 April 2014 / Accepted: 25 April 2014 / Published: 5 May 2014
(This article belongs to the Section Physical Sensors)
View Full-Text   |   Download PDF [657 KB, uploaded 21 June 2014]   |  

Abstract

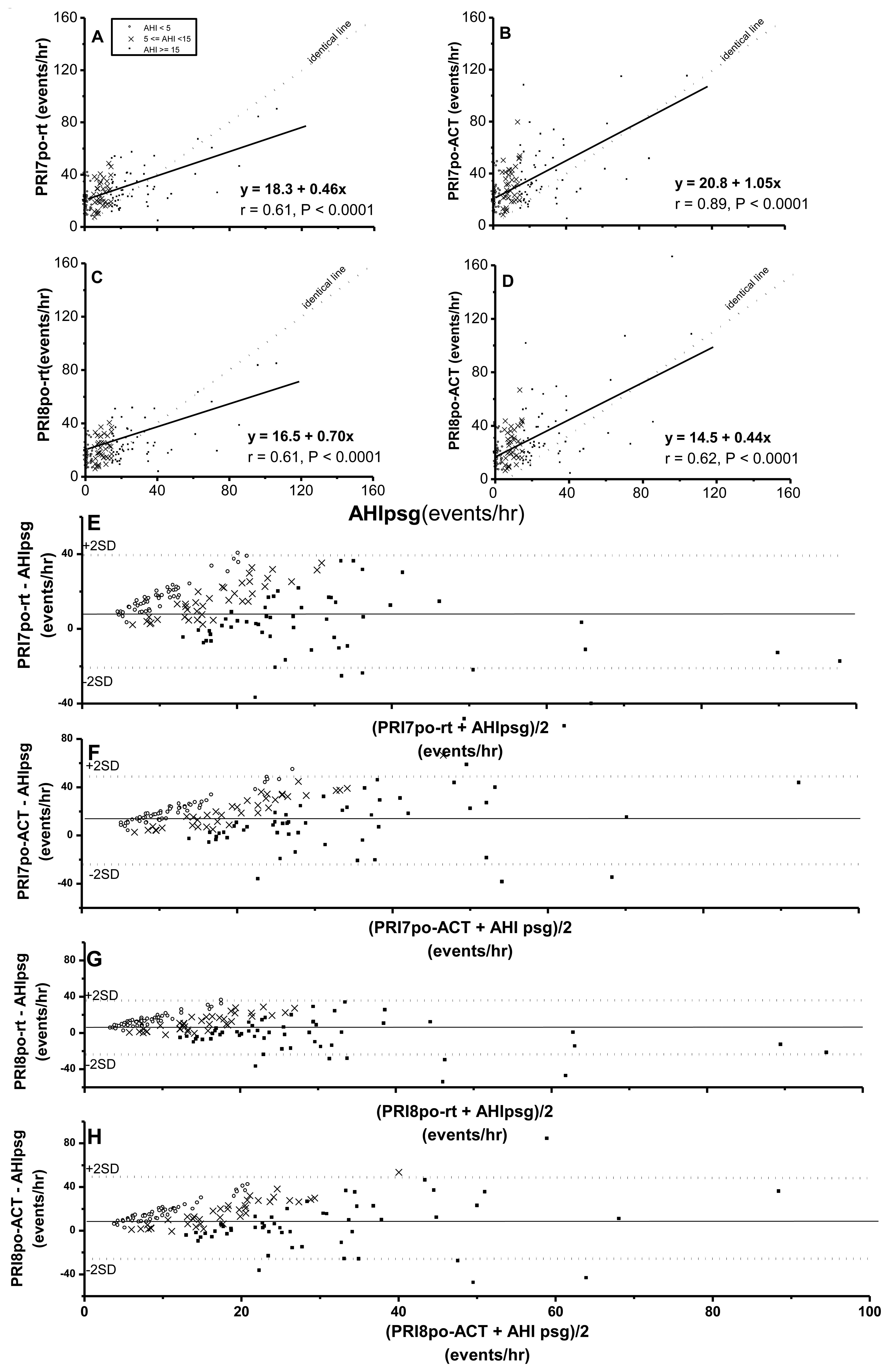
Background: Sleepiness-at-the-wheel has been identified as a major cause of highway accidents. The aim of our study is identifying the candidate measures for home-based screening of sleep disordered breathing in Taiwanese bus drivers, instead of polysomnography. Methods: Overnight polysomnography accompanied with simultaneous measurements of alternative screening devices (pulse oximetry, ApneaLink, and Actigraphy), heart rate variability, wake-up systolic blood pressure and questionnaires were completed by 151 eligible participants who were long-haul bus drivers with a duty period of more than 12 h a day and duty shifting. Results: 63.6% of professional bus drivers were diagnosed as having sleep disordered breathing and had a higher body mass index, neck circumference, systolic blood pressure, arousal index and desaturation index than those professional bus drivers without evidence of sleep disordered breathing. Simple home-based candidate measures: (1) Pulse oximetry, oxygen-desaturation indices by ≥3% and 4% (r = 0.87~0.92); (2) Pulse oximetry, pulse-rising indices by ≥7% and 8% from a baseline (r = 0.61~0.89); and (3) ApneaLink airflow detection, apnea-hypopnea indices (r = 0.70~0.70), based on recording-time or Actigraphy-corrected total sleep time were all significantly correlated with, and had high agreement with, corresponding polysomnographic apnea-hypopnea indices [(1) 94.5%~96.6%, (2) 93.8%~97.2%, (3) 91.1%~91.3%, respectively]. Conversely, no validities of SDB screening were found in the multi-variables apnea prediction questionnaire, Epworth Sleepiness Scale, night-sleep heart rate variability, wake-up systolic blood pressure and anthropometric variables. Conclusions: The indices of pulse oximetry and apnea flow detection are eligible criteria for home-based screening of sleep disordered breathing, specifically for professional drivers. View Full-Text
Keywords: diagnostic techniques and procedures; polysomnography; oximetry; obstructive sleep apnea diagnostic techniques and procedures; polysomnography; oximetry; obstructive sleep apnea
This is an open access article distributed under the Creative Commons Attribution License (CC BY 3.0).

Scifeed alert for new publications

Never miss any articles matching your research from any publisher
  • Get alerts for new papers matching your research
  • Find out the new papers from selected authors
  • Updated daily for 49'000+ journals and 6000+ publishers
  • Define your Scifeed now

SciFeed Share & Cite This Article

MDPI and ACS Style

Ting, H.; Huang, R.-J.; Lai, C.-H.; Chang, S.-W.; Chung, A.-H.; Kuo, T.-Y.; Chang, C.-H.; Shih, T.-S.; Lee, S.-D. Evaluation of Candidate Measures for Home-Based Screening of Sleep Disordered Breathing in Taiwanese Bus Drivers. Sensors 2014, 14, 8126-8149.

Show more citation formats Show less citations formats

Related Articles

Article Metrics

Article Access Statistics

1

Comments

[Return to top]
Sensors EISSN 1424-8220 Published by MDPI AG, Basel, Switzerland RSS E-Mail Table of Contents Alert
Back to Top