Synthesis and Biological Activities of Novel Triazole Compounds Containing 1,3-Dioxolane Rings
Abstract
:Introduction

Results and Discussion
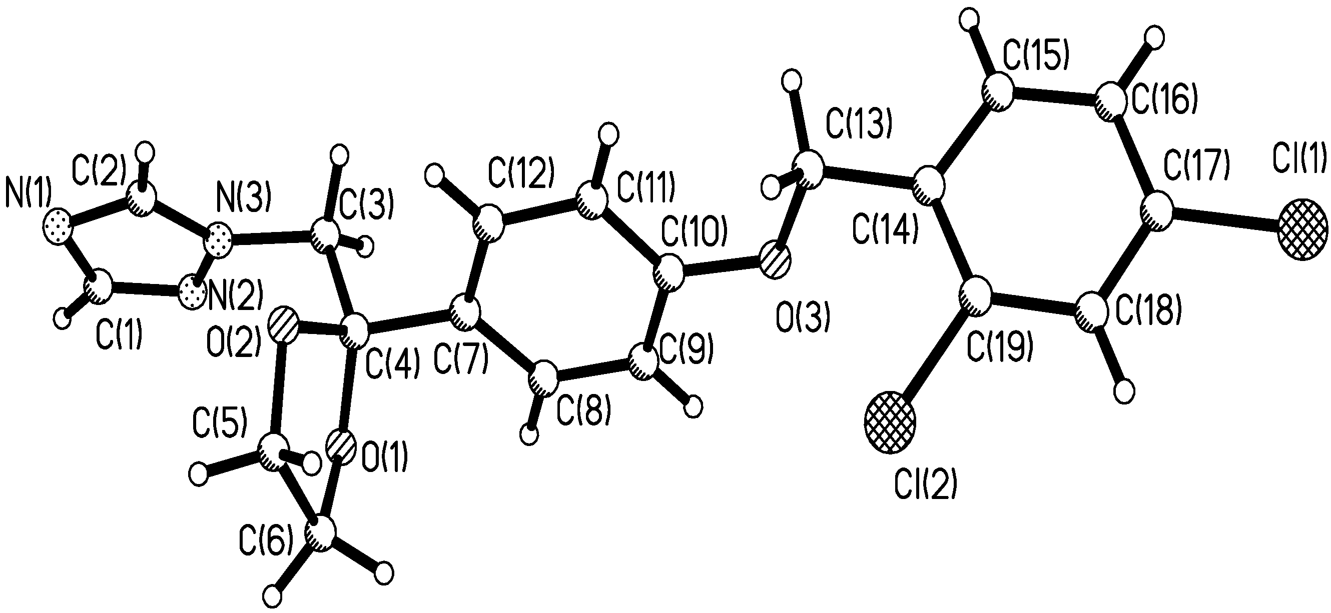
Characterization of the target compounds

Biological evaluation
| Compound No. | Fungicidal activities (50mg/L, inhibition %) | Plant-growth regulatory activities (%) at 10mg/L | |||||||
|---|---|---|---|---|---|---|---|---|---|
| Gibberella zeae | Alternaria solani | Phomaasparagi | Physalosporapircola | Cercosporaarachidicola | Wheat coleoptile elongation | Cucumber Cotyledon rooting | Rape hypocotyls inhibition | Cucumber cotyledongrowth | |
| 3a | 50.0 | 71.0 | 90.9 | 77.8 | 43.8 | -22.5 | 61.2 | -29.7 | -6.3 |
| 3b | 40.0 | 67.7 | 88.9 | 71.4 | 43.8 | -20.2 | 53.2 | -24.9 | 0 |
| 3c | 5.0 | 25.8 | 11.8 | 28.9 | 28.6 | -5.4 | 2.1 | -19.7 | 3.1 |
| 3d | 25.0 | 38.7 | 41.2 | 57.8 | 28.6 | -3.1 | -8.6 | -16.3 | -1.6 |
| 3e | 20.0 | 41.9 | 17.6 | 40.0 | 14.3 | -13.2 | 69.3 | -24.5 | 1.6 |
| 3f | 26.9 | 0 | 0 | 44.6 | 22.2 | -7.4 | -39.7 | -24.9 | 3.1 |
| 3g | 7.7 | 19.0 | 7.7 | 24.6 | 0 | -6.2 | 50.5 | -7.1 | -1.6 |
| 3h | 23.1 | 0 | 0 | 35.4 | 0 | -5.4 | 37.0 | -2.8 | -1.6 |
| 3i | 50.0 | 80.6 | 87.8 | 84.1 | 59.1 | -10.9 | 66.6 | -20.2 | 4.7 |
| 3j | 45.0 | 64.5 | 87.8 | 84.1 | 92.0 | -13.2 | 53.2 | -38.8 | 3.1 |
| 5a | 0 | 0 | 0 | 35.4 | 0 | -3.9 | 31.7 | -19.3 | 6.3 |
| 5b | 42.3 | 38.7 | 30.8 | 73.0 | 33.3 | -3.9 | 31.7 | -10.2 | 7.8 |
| 5c | 7.7 | 0 | 0 | 30.8 | 0 | -10.1 | 69.3 | -8.9 | 9.4 |
| Ref. | 99.0 | 100 | 100 | 99.9 | 100 | -7.6 | 62.6 | -12.8 | 8.6 |
Conclusions
Experimental
General
Preparation of intermediates 1.
Preparation of intermediates 2 and 4.
| Intermediate No. | R1 | R2 | mp / °C |
|---|---|---|---|
| 2a | Ph | H | 110~112 |
| 2b | Ph | CH3 | 76~78 |
| 2c | t-Bu-Ph | H | 79~81 |
| 2d | t-Bu-Ph | CH3 | 96~98 |
| 2e | p-Cl-Ph | H | 106~108 |
| 2f | p-Cl-Ph | CH3 | 88~90 |
| 2g | 2,4-Cl2-Ph | H | 92~94 |
| 2h | 2,4-Cl2-Ph | CH3 | 83~85 |
| 2i | o-Cl-Ph | H | 141~143 |
| 2j | o-Cl-Ph | CH3 | 67~69 |
| 4a | p-Cl-Ph | — | 77~79 |
| 4b | 2,4-Cl2-Ph | — | 89~91 |
| 4c | o-Cl-Ph | — | 97~99 |
General procedure for the synthesis of compounds 3a~3j and 5a~5c (with the preparation of 3a given as an example).
Acknowledgements
References and Notes
- Elbe, H. L.; Buechcl, K. H.; Luerssen, K. Ger Pat. 3144670, 1983.
- Anderson, N.H. Proceedings of 5th International Congress of Pesticide Chemistry (IUPAC), Kyoto, Japan; 1982; p. 345.
- Shi, Y. N.; Fang, J. X.; Xu, L. Z. Chem. J. Chin. Univ. 1992, 13, 1084.
- Skoets, C.; Kraehmer, H.; Baumert, D. Ger Pat. 3340 989, 1986.
- Xu, L. Z.; Jiao, K.; Zhang, S. S.; Kuang, S. P. Bull. Kor. Chem. Soc. 2002, 23, 1699.
- Cai, Y. J. Pesticides 1985, 5, 38.
- Zhao, G. F.; Yang, H. Z. Chin. Chem. Bull. 1995, 6, 34.
- Richard, M. J. Recent Advances in the Chemistry of Insect Control II; Royal Society of Chemistry: Cambridge, UK, 1990; p. 206. [Google Scholar]
- Duan, J. C; Tang, H. X. Henan Chem. Ind. 2002, 6, 8.
- 10. CCDC 250980 contains the supplementary crystallographic data for this compound. These data can be obtained free of charge via www.ccdc.cam.ac.uk/conts/retrieving.html (or from the CCDC, 12 Union Road, Cambridge CB2 1EZ, UK; fax: +44 1223 336033; e-mail: deposit@ccdc.cam.ac.uk).
- Li, Y. C.; Yue, M. X.; Dong, J. H.; Yu, W. Q.; Han, Y. F.; Li, B. W.; Li, S, Z. Acta Agric. Boreall-Sin. 1999, 14, 79.
- Zhao, Z. R. Acta Scient. Nat. Univ. Nank. 1990, 4, 75.
- Zhao, Z. R.; Huang, G. Q. Acta Bot. Sin. 1990, 32, 815.
- Zheng, Q. L.; Zhang, Z. X.; Tang, C.C.; Zhao, Z. R. Acta Scient. Nat. Univ. Nank. 1995, 28, 46.
- Fang, J.X.; Zhong, J.; Li, Z. M.; Liu, W. Appl. Organomet. Chem. 2003, 17, 1.
- Licke, F. F.; Burckhalter, J. H. J. Am. Chem. Soc. 1942, 64, 453.
- Chen, X. F.; Kong, H. Q. Pesticides 1981, 6, 16.
- Sample Availability: Available from the authors.
© 2004 by MDPI (http://www.mdpi.org). Reproduction is permitted for noncommercial purposes.
Share and Cite
Xu, L.-Z.; Zhang, S.-S.; Niu, S.-Y.; Qin, Y.-Q.; Li, X.-M.; Jiao, K. Synthesis and Biological Activities of Novel Triazole Compounds Containing 1,3-Dioxolane Rings. Molecules 2004, 9, 913-921. https://doi.org/10.3390/91100913
Xu L-Z, Zhang S-S, Niu S-Y, Qin Y-Q, Li X-M, Jiao K. Synthesis and Biological Activities of Novel Triazole Compounds Containing 1,3-Dioxolane Rings. Molecules. 2004; 9(11):913-921. https://doi.org/10.3390/91100913
Chicago/Turabian StyleXu, Liang-Zhong, Shu-Sheng Zhang, Shu-Yan Niu, Yong-Qi Qin, Xue-Mei Li, and Kui Jiao. 2004. "Synthesis and Biological Activities of Novel Triazole Compounds Containing 1,3-Dioxolane Rings" Molecules 9, no. 11: 913-921. https://doi.org/10.3390/91100913
APA StyleXu, L.-Z., Zhang, S.-S., Niu, S.-Y., Qin, Y.-Q., Li, X.-M., & Jiao, K. (2004). Synthesis and Biological Activities of Novel Triazole Compounds Containing 1,3-Dioxolane Rings. Molecules, 9(11), 913-921. https://doi.org/10.3390/91100913
